Binary and Millisecond Pulsars
- 42 Citations
- 353 Downloads
Abstract
We review the main properties, demographics and applications of binary and millisecond radio pulsars. Our knowledge of these exciting objects has greatly increased in recent years, mainly due to successful surveys which have brought the known pulsar population to over 1700. There are now 80 binary and millisecond pulsars associated with the disk of our Galaxy, and a further 103 pulsars in 24 of the Galactic globular clusters. Recent highlights have been the discovery of the first ever double pulsar system and a recent flurry of discoveries in globular clusters, in particular Terzan 5.
1 Introduction and Overview
Venn diagram showing the numbers and locations of the various types of radio pulsars known as of January 2005. The large and small Magellanic clouds are denoted by LMC and SMC.
Pulsar research has proceeded at a rapid pace since the first two versions of this article [179, 180]. Surveys mostly with the Parkes radio telescope [259], but also at Green Bank [232], Arecibo [228] and the Giant Metre Wave Radio Telescope [231] have more than doubled the number of pulsars known back in 1997. The most exciting new results and discoveries from these searches are discussed in this updated review.
We begin in Section 2 with an overview of the pulsar phenomenon, the key observed population properties, the origin and evolution of pulsars and the main search strategies. In Section 3, we review present understanding in pulsar demography, discussing selection effects and their correction techniques. This leads to empirical estimates of the total number of normal and millisecond pulsars (see Section 3.3) and relativistic binaries (see Section 3.4) in the Galaxy and has implications for the detection of gravitational radiation from coalescing neutron star binaries which these systems are the progenitors of. Our review of pulsar timing in Section 4 covers the basic techniques (see Section 4.2), timing stability (see Section 4.3), binary pulsars (see Section 4.4), and using pulsars as sensitive detectors of long-period gravitational waves (see Section 4.5). We conclude with a brief outlook to the future in Section 5. Up-to-date tables of parameters of binary and millisecond pulsars are included in Appendix A.
2 Pulsar Phenomenology
Many of the basic observational facts about radio pulsars were established shortly after their discovery [119] in 1967. Although there are still many open questions, the basic model has long been established beyond all reasonable doubt, i.e. pulsars are rapidly rotating, highly magnetised neutron stars formed during the supernova explosions of massive (≳ 5–10 M⊙) stars. In the following, we discuss the observational properties that are most relevant to this review.
2.1 The lighthouse model
gif-Movie (861 KB) Still from a GIF movie showing the rotating neutron star (or “lighthouse”) model for pulsar emission. Animation designed by Michael Kramer. (For video see appendix)
Neutron stars are essentially large celestial flywheels with moments of inertia ∼ 1038 kg m2. The rotating neutron star model [242, 105] predicts a gradual slowdown and hence an increase in the pulse period as the outgoing radiation carries away rotational kinetic energy. This model became universally accepted when a period increase of 36.5 ns per day was measured for the pulsar in the Crab nebula [270], which implied that a rotating neutron star with a large magnetic field must be the dominant energy supply for the nebula [106].
2.2 Pulse periods and slowdown rates
The present public-domain catalogue [208], available on-line [13], contains up-to-date parameters for over 1500 pulsars. Most of these are “normal” with pulse periods P ∼ 0.5 s which increase secularly at rates Ṗ ∼ 10−15 s/s. A growing fraction are “millisecond pulsars”, with 1.5 ms ≲ P ≲≲ 30 ms and Ṗ ≲ 10−19 s/s. For many years, the most rapidly rotating neutron star known was the original millisecond pulsar B1937+21 [19], with P = 1.5578 ms. However, one of the recent discoveries in the globular cluster Terzan 5 appears to be rotating even more rapidly, with P = 1.4 ms [233]. Confirmation of this exciting result should be published in due course. While the hunt for “sub-millisecond pulsars” continues, and most neutron star equations of state allow shorter periods, it has been suggested [36, 60] that the lack of pulsars with P < 1.5 ms is caused by gravitational wave emission from R-mode instabilities [7].
The P−Ṗ diagram showing the current sample of radio pulsars. Binary pulsars are highlighted by open circles. Theoretical models [64] do not predict radio emission outside the dark blue region. Figure provided by Michael Kramer.
Lines of constant B and τc are drawn on Figure 3, from which we infer typical values of 1012 G and 107 yr for the normal pulsars and 108 G and 109 yr for the millisecond pulsars. For the rate of loss of kinetic energy, sometimes called the spin-down luminosity, we have \(\dot E \propto \dot P/{P^3}\). The lines of constant \({\dot E}\) shown on Figure 3 show that the most energetic objects are the very young normal pulsars and the most rapidly spinning millisecond pulsars.
2.3 Pulse profiles
Pulsars are weak radio sources. Measured intensities, usually quoted in the literature for a radio frequency of 400 MHz, vary between 0.1 mJy and 5 Jy (1 Jy ≡ 10−26 W m−2 Hz−1). As a result, even with a large radio telescope, the coherent addition of many hundreds or even thousands of pulses is usually required in order to produce a detectable “integrated profile”. Remarkably, although the individual pulses vary dramatically, the integrated profile at any particular observing frequency is very stable and can be thought of as a fingerprint of the neutron star’s emission beam. Profile stability is of key importance in pulsar timing measurements discussed in Section 4.
Phenomenological models for pulse shape morphology produced by different line-of-sight cuts of the beam. Figure designed by Michael Kramer.
2.4 Interstellar dispersion and the pulsar distance scale
The sky distribution of pulsars in Galactic coordinates. The plane of the Galaxy is the central horizontal line. The Galactic centre is the midpoint of this line. Millisecond pulsars are indicated in red. Binary pulsars are highlighted by the open circles. The more isotropic distribution of the millisecond and binary pulsars reflects the differences in detecting them out to large distances cf. the normal population (see Section3).
In practice, the electron density model is calibrated from the 100 or so pulsars with independent distance estimates and measurements of scattering for lines of sight towards various Galactic and extragalactic sources [310, 335]. The most recent model of this kind [73, 74] provides distance estimates with an average uncertainty of ∼ 30%.
2.5 Pulsars in binary systems
As can be inferred from Figure 1, only 4% of all known pulsars in the Galactic disk are members of binary systems. Timing measurements (see Section 4) place useful constraints on the masses of the companions which, supplemented by observations at other wavelengths, tell us a great deal about their nature. The present sample of orbiting companions are either white dwarfs, main sequence stars or other neutron stars. Two notable hybrid systems are the “planet pulsars” B1257+12 and B1620−26. PSR B1257+12 is a 6.2-ms pulsar accompanied by at least three terrestrial-mass bodies [346, 244, 345] while B1620−26, an 11-ms pulsar in the globular cluster M4, is part of a triple system with a 1–2 MJupiter planet [317, 17, 315, 284] orbiting a neutron star-white dwarf stellar binary system. The current limits from pulsar timing favour a roughly 45-yr low-eccentricity (e ∼ 0.16) orbit with semi-major axis ∼ 25 AU. Despite several tentative claims over the years, no other convincing cases for planetary companions to pulsars exist. Orbiting companions are much more common around millisecond pulsars (∼ 80% of the observed sample) than around the normal pulsars (≲ 1%). Binary systems below the line have low-mass companions (≲ 0.7 M⊙ — predominantly white dwarfs) and essentially circular orbits: 10−5 ≲ e ≲ 0.01. Binary pulsars with high-mass companions (≳ 1 M⊙ — massive white dwarfs, other neutron stars or main sequence stars) tend to have more eccentric orbits, 0.15 ≳ e ≳ 0.9.
2.6 Evolution of normal and millisecond pulsars
Cartoon showing various evolutionary scenarios involving binary pulsars.
For those few binaries that remain bound, and in which the companion is sufficiently massive to evolve into a giant and overflow its Roche lobe, the old spun-down neutron star can gain a new lease of life as a pulsar by accreting matter and angular momentum at the expense of the orbital angular momentum of the binary system [2]. The term “recycled pulsar” is often used to describe such objects. During this accretion phase, the X-rays produced by the liberation of gravitational energy of the infalling matter onto the neutron star mean that such a system is expected to be visible as an X-ray binary. Two classes of X-ray binaries relevant to binary and millisecond pulsars exist: neutron stars with high-mass or low-mass companions. Detailed reviews of the X-ray binary population, including systems likely to contain black holes, can be found elsewhere [33].
In a high-mass X-ray binary, the companion is massive enough that it might also explode as a supernova, producing a second neutron star. If the binary system is lucky enough to survive the explosion, the result is a double neutron star binary. At least five and probably eight such systems are now known, the original example being PSR B1913+16 [129] — a 59-ms radio pulsar which orbits its companion every 7.75 hr [312, 313]. In this formation scenario, PSR B1913+16 is an example of the older, first-born, neutron star that has subsequently accreted matter from its companion.
For many years, no clear example was known where the second-born neutron star was observed as a pulsar. The discovery of the double pulsar J0737-3039 [44, 198], where a 22.7-ms recycled pulsar “A” orbits a 2.77-s normal pulsar “B” every 2.4 hr, has now provided a dramatic confirmation of this evolutionary model in which we identify A and B as the first and second-born neutron stars respectively. Just how many more observable double pulsar systems exist in our Galaxy is not clear. Although the population of double neutron star systems in general is reasonably well understood (see Section 3.4.1), given that the lifetime of the second born pulsar is less than one tenth that of the recycled pulsar, and that its radio beam is likely to be much smaller (see Section 3.2.3), the prospects of ever finding more than a few 0737-like systems are rather low.
The companion in a low-mass X-ray binary evolves and transfers matter onto the neutron star on a much longer time-scale, spinning it up to periods as short as a few ms [2]. Tidal forces during the accretion process serve to circularize the orbit. At the end of the spin-up phase, the secondary sheds its outer layers to become a white dwarf in orbit around a rapidly spinning millisecond pulsar. This model has gained strong support in recent years from the discoveries of quasi-periodic kHz oscillations in a number of low-mass X-ray binaries [338], as well as Doppler-shifted 2.49-ms X-ray pulsations from the transient X-ray burster SAX J1808.4-3658 [340, 59]. Six other “X-ray millisecond pulsars” are now known with spin rates and orbital periods ranging between 185–600 Hz and 40 min–4.3 hr respectively [339, 220, 144]. Despite intensive searches [43], no radio pulsations have so far been detected in these binaries. This could be a result of free-free absorption of any radio waves by the thick accretion disk, or perhaps quenching the accelerating potential in the neutron star magnetosphere by infalling matter. More sensitive radio observations are ultimately required to place stringent limits on the physical processes responsible for the lack of emission.
Numerous examples of these systems in their post X-ray phase are now seen as the millisecond pulsar-white dwarf binary systems. Presently, 20 of these systems have compelling optical identifications of the white dwarf companion, and upper limits or tentative detections have been found in about 30 others [330]. Comparisons between the cooling ages of the white dwarfs and the millisecond pulsars confirm the age of these systems and suggest that the accretion rate during the spin-up phase was well below the Eddington limit [114].
Eccentricity versus orbital period for a sample of 21 low-mass binary pulsars which are not in globular clusters, with the triangles denoting three recently discovered systems [294]. The solid line shows the median of the predicted relationship between orbital period and eccentricity [249]. Dashed lines show 95% the confidence limit about this relationship. The dotted line shows Pb ∝ e2. Figure provided by Ingrid Stairs [294] using an adaptation of the orbital period-eccentricity relationship tabulated by Fernando Camilo.
Companion mass versus orbital period for binary pulsars showing the whole sample where, in the absence of mass determinations, statistical arguments based on a random distribution of orbital inclination angles (see Section4.4) have been used to constrain the masses as shown (Panel a), and only those with well determined companion masses (Panel b). The dashed lines show the uncertainties in the predicted relation [307]. This relationship indicates that as these systems finished a period of stable mass transfer due to Roche-lobe overflow, the size and hence period of the orbit was determined by the mass of the evolved secondary star. Figure provided by Marten van Kerkwijk [330].
- 1.
The spin period of the radio pulsar is generally longer (9–200 ms).
- 2.
The mass of the white dwarf is larger (typically ≳ 0.5 M⊙).
- 3.
The orbit, while still essentially circular, is often significantly more eccentric (e ≳ 10−3).
- 4.
They do not necessarily follow the mass-period or eccentricity-period relationships.
2.7 Isolated recycled pulsars
Parameters for the 15 isolated millisecond pulsars currently known in the Galactic disk. Two of the pulsars (J0609+2130 and J2235+1506) are thought to be the descendants of high-mass binary systems. Listed are the spin period P, the base-10 logarithms of the characteristic age τcand surface magnetic field strength B (see Section2.2), the distance d derived from the Cordes & Lasio electron density model [73, 74] or independently (when available), and the transverse speed vtinferred from d and a proper motion measurement (when available). Key publications for each pulsar are referenced to the bibliography.
PSR | P | log τc | log B | d | vt | Refs. |
|---|---|---|---|---|---|---|
[ms] | [log(yr)] | [log(G)] | [kpc] | [km/s] | ||
J0030+0451 | 4.865 | 9.9 | 8.3 | 0.23 | < 65 | [177] |
J0609+2130 | 55.698 | 9.6 | 9.56 | 1.20 | ? | |
J0711−6830 | 5.491 | 10.4 | 8.2 | 1.04 | 139 | |
J1024−0719 | 5.162 | 9.7 | 8.5 | 0.35 | 45 | |
J1629−6902 | 6.000 | 10.0 | 8.4 | 1.36 | ? | [91] |
J1721−2457 | 3.497 | 10.0 | 8.2 | 1.56 | ? | [91] |
J1730−2304 | 8.123 | 9.9 | 8.6 | 0.51 | 53 | |
J1744−1134 | 4.075 | 9.9 | 8.3 | 0.17 | 20 | |
J1801−1417 | 3.625 | 10.0 | 8.1 | 1.80 | ? | [94] |
J1843−1113 | 1.846 | 9.5 | 8.1 | 1.97 | ? | [123] |
B1937+21 | 1.558 | 8.4 | 8.6 | 9.65 | 22 | |
J1944+0907 | 5.185 | 9.7 | 8.5 | 1.8 | ? | [217] |
J2124−3358 | 4.931 | 9.9 | 8.4 | 0.25 | 67 | |
J2235+1506 | 59.767 | 10.0 | 9.4 | 1.15 | 98 | [55] |
J2322+2057 | 4.808 | 10.2 | 8.2 | 0.78 | 89 |
There are two further “anomalous” isolated pulsars with periods in the range 55–60 ms [55, 188]. When placed on the P− Ṗ diagram, these objects populate the region occupied by the double neutron star binaries. The most natural explanation for their existence, therefore, is that they are “failed double neutron star binaries” which disrupted during the supernova explosion of the secondary [55]. A simple calculation [188], however, suggests that for every double neutron star we should see of order ten such isolated objects. Although some other examples of such pulsars are known [150, 91, 42], exactly why so few are observed is currently not clear.
2.8 Pulsar velocities
Pulsars have long been known to have space velocities at least an order of magnitude larger than those of their main sequence progenitors, which have typical values between 10 and 50 km s−1. The first direct evidence for large velocities came from optical observations of the Crab pulsar [321], showing that the neutron star has a velocity in excess of 100 km s−1. Proper motions for 233 pulsars have subsequently been measured largely by radio timing and interferometric techniques [194, 24, 96, 115, 122]. These data imply a broad velocity spectrum ranging from 0 to over 1000 km s−1 [201].
gif-Movie (213 KB) Still from a GIF movie showing a simulation following the motion of 100 pulsars in a model gravitational potential of our Galaxy for 200 Myr. The view is edge-on, i.e. the horizontal axis represents the Galactic plane (30 kpc across) while the vertical axis represents ±10 kpc from the plane. This snapshot shows the initial configuration of young neutron stars. (For video see appendix)
The distribution of pulsar velocities remains an issue of contention. For example, Monte Carlo simulations by Arzoumanian et al. [8] strongly favour a bimodal distribution with low and high velocity peaks. On the other hand, a recent study [122] found the mean birth velocity of normal pulsars to be consistent with a Maxwellian distribution with a mean of ∼ 400 km s−1. Regardless of the form of the distribution, however, we can say that the mean velocity of young pulsars is significantly larger than the 80–140 km s−1 range for millisecond and binary pulsars [178, 70, 205]. The main reasons for the lower velocities are the fact that the kick must have been small to avoid disruption, and the surviving neutron star has to pull the companion along with it, thus slowing the system down.
2.9 Current and future binary and millisecond pulsar search strategies
2.9.1 All-sky searches
The oldest radio pulsars form a relaxed population of stars oscillating in the Galactic gravitational potential [113]. The scale height for such a population is at least 500 pc, about 10 times that of the massive stars which populate the Galactic plane. Since the typical ages of millisecond pulsars are several Gyr or more, we expect, from our vantage point in the Galaxy, to be in the middle of an essentially isotropic population of nearby sources. All-sky searches for millisecond pulsars at high Galactic latitudes have been very effective in probing this population. Much of the initial interest and excitement in this area began with the discovery of two recycled pulsars at high latitudes with the 305-m Arecibo telescope: the double neutron star binary B1534+12 [343] and the “planets pulsar” B1257+12 [346]. Surveys carried out at Arecibo, Parkes, Jodrell Bank and Green Bank (using the 140 ft telescope) by others in the 1990s (summarised in three review papers [47, 50, 51]) have found many other millisecond and recycled pulsars in this way.
2.9.2 Searches close to the plane of our Galaxy
Young pulsars are most likely to be found near to their places of birth, before they have had time for their velocity to move them away, and hence they lie close to the Galactic plane (see Figure 6). This was the target region of the main Parkes multibeam survey and has already resulted in the discovery of over 700 new pulsars [210, 221, 163, 123, 94], almost half the number currently known! Such a large haul inevitably results in a number of interesting individual objects such as PSR J1141-6545, a young pulsar in a relativistic 4.8-hr orbit around a white dwarf [154, 241, 25, 127], PSR J1740-3052, a young pulsar orbiting an ∼ 11 M⊙ star (probably a main sequence B-star [295, 296]), PSR 1638-4715, a young pulsar in a ∼ 5 yr-eccentric orbit (e ∼ 0.9) around around a 10–20 M⊙ companion [193], several intermediate-mass binary pulsars [54], and two double neutron star binaries [199, 93]. Although the main survey has now been completed, extensions of the survey region, and re-analyses of existing data [94] will ensure further discoveries in the near future.
2.9.3 Searches at intermediate Galactic latitudes
To probe more deeply into the population of millisecond and recycled pulsars than possible at high Galactic latitudes, the Parkes multibeam system was also used to survey intermediate latitudes [92, 90]. Among the 69 new pulsars found in the survey, 8 are relatively distant recycled objects. Two of the new recycled pulsars from this survey [90] are mildly relativistic neutron star-white dwarf binaries. An analysis of the full results from this survey should significantly improve our knowledge on the Galaxy-wide population and birth-rate of millisecond pulsars. Arecibo surveys at intermediate latitudes also continue to find new pulsars, such as the long-period binaries J2016+1948 and J0407+1607 [234, 190], and the likely double neutron star system J1829+2456 [62].
2.9.4 Targeted searches of globular clusters
Globular clusters have long been known to be breeding grounds for millisecond and binary pulsars [58]. The main reason for this is the high stellar density and consequently high rate of stellar interaction in globular clusters relative to most of the rest of the Galaxy. As a result, low-mass X-ray binaries are almost 10 times more abundant in clusters than in the Galactic disk. In addition, exchange interactions between binary and multiple systems in the cluster can result in the formation of exotic binary systems [283]. To date, searches have revealed 103 pulsars in 24 globular clusters (see Table 5 and [230, 58]). Early highlights include the double neutron star binary in M15 [257] and a low-mass binary system with a 95-min orbital period in 47 Tucanae [53], one of 22 millisecond pulsars currently known in this cluster alone [53, 183].
On-going surveys of clusters continue to yield new surprises [264, 77] including the discovery of the most eccentric binary pulsar so far — J0514-4002 is a 4.99 ms pulsar in a highly eccentric (e = 0.89) binary system in the globular cluster NGC 1851 [100]. The latest sensation, however, is the discovery [266, 233] of 28 millisecond pulsars in Terzan 5 with the Green Bank Telescope [232]. This brings the total known in this cluster to 26. The spin periods and orbital parameters of the new pulsars reveal that, as a population, they are significantly different to the pulsars of 47 Tucanae which have periods in the range 2–8 ms [183]. The spin periods of the new pulsars span a much broader range (1.67–80 ms) including the second and third shortest spin periods of all pulsars currently known. The binary pulsars include two systems with eccentric orbits and likely white dwarf companions. No such systems are known in 47 Tucanae. The difference between the two pulsar populations may reflect the different evolutionary states and physical conditions of the two clusters. In particular, the central stellar density of Terzan 5 is about twice that of 47 Tucanae, suggesting that the increased rate of stellar interactions might disrupt the recycling process for the neutron stars in some binary systems and induce larger eccentricities in others.
2.9.5 Current and future surveys
Motivated by the successes at Parkes, a multibeam receiver has recently been installed at the Arecibo telescope [227]. A preliminary survey using this instrument began in 2004 and has so far discovered 10 pulsars [229]. The main virtue of this survey is the shorter integration times employed and resulting higher sensitivity to accelerated systems than the Parkes survey. Depending on the stamina of the observers, up to 1000 pulsars could be found in this survey over the next decade. Other surveys with the Green Bank Telescope [232] and with the Giant Metre Wave Radio Telescope [231] are also expected to make major contributions.
All surveys that have so far been conducted, or will be carried out in the next few years, are likely to be surpassed by the Square Kilometre Array [132] — the next generation radio telescope, planned to come online around 2020. Simulations suggest [162] that at least 104 pulsars, including 103 millisecond pulsars, could be detected in our Galaxy.
2.10 Going further
In this brief review of pulsar astronomy, we have only skimmed the surface of many topics which are covered more thoroughly elsewhere. Two recent textbooks, Pulsar Astronomy [200] and Handbook of Pulsar Astronomy [185], cover the literature and techniques and provide excellent further reading. The morphological properties of pulsars have recently been comprehensively discussed in two recent reviews [286, 280]. Those wishing to approach the subject from a more theoretical viewpoint are advised to read The Theory of Neutron Star Magnetospheres [218] and The Physics of the Pulsar Magnetosphere [32]. Our summary of evolutionary aspects serves merely as a primer to the vast body of literature available. Further insights can be found from more detailed reviews [33, 251, 292].
Pulsar resources available on the Internet are continually becoming more extensive and useful. A good starting point for pulsar-surfers is the Handbook of Pulsar Astronomy website [186], as well as the pages maintained at Arecibo [226], Berkeley [325], Bonn [215], Cagliari [324], Jodrell Bank [326], Princeton [258], Swinburne [305], UBC [323] and Sydney [259].
3 Pulsar Statistics and Demography
Left panel: The current sample of all known radio pulsars projected onto the Galactic plane. The Galactic centre is at the origin and the Sun is at (0, 8.5) kpc. Note the spiral-arm structure seen in the distribution which is now required by the electron density model [73, 74]. Right panel: Cumulative number of pulsars as a function of projected distance from the Sun. The solid line shows the observed sample while the dotted line shows a model population free from selection effects.
The extent to which the pulsar sample is incomplete can be seen from the cumulative number of pulsars as a function of the projected distance from the Sun. In Figure 11 the observed distribution is compared to the expected distribution for a simple model population with no selection effects. The observed number distribution becomes strongly deficient beyond a few kpc.
3.1 Selection effects in pulsar searches
3.1.1 The inverse square law and survey thresholds
3.1.2 Interstellar pulse dispersion and multipath scattering
It follows from Equation (3) that the sensitivity decreases as W/(P − W) and hence W increases. Also note that if W ≳ P, the pulsed signal is smeared into the background emission and is no longer detectable, regardless of how luminous the source may be. The detected pulse width W may be broader than the intrinsic value largely as a result of pulse dispersion and multipath scattering by free electrons in the interstellar medium. The dispersive smearing scales as Δν/ν3, where ν is the observing frequency. This can largely be removed by dividing the pass-band into a number of channels and applying successively longer time delays to higher frequency channels before summing over all channels to produce a sharp profile. This process is known as incoherent dedispersion.
Left panel: Pulse scattering caused by irregularities in the interstellar medium. The different path lengths and travel times of the scattered rays result in a “scattering tail” in the observed pulse profile which lowers its signal-to-noise ratio. Right panel: A simulation showing the percentage of Galactic pulsars that are likely to be undetectable due to scattering as a function of observing frequency. Low-frequency (≲ 1 GHz) surveys clearly miss a large percentage of the population due to this effect.
Dispersion and scattering are most severe for distant pulsars in the inner Galaxy where the number of free electrons along the line of sight becomes large. The strong frequency dependence of both effects means that they are considerably less of a problem for surveys at observing frequencies ≳ 1400 MHz [67, 139] compared to the 400-MHz search frequency used in early surveys. An added bonus for such observations is the reduction in Tsky, since the spectral index of the non-thermal Galactic emission is about −2.8 [169]. Pulsars themselves have typical spectral indices of −1.6 [191], so that flux densities are roughly an order of magnitude lower at 1400 MHz compared to 400 MHz. Fortunately, this can be at least partially compensated for by the use of larger receiver bandwidths at higher radio frequencies. For example, the 1370-MHz system at Parkes has a bandwidth of 288 MHz [199] compared to the 430-MHz system, where nominally 32 MHz is available [211].
3.1.3 Orbital acceleration
Standard pulsar searches use Fourier techniques [185] to search for a-priori unknown periodic signals and usually assume that the apparent pulse period remains constant throughout the observation. For searches with integration times much greater than a few minutes, this assumption is only valid for solitary pulsars or binary systems with orbital periods longer than about a day. For shorter-period binary systems, the Doppler-shifting of the period results in a spreading of the signal power over a number of frequency bins in the Fourier domain, leading to a reduction in S/N [136]. An observer will perceive the frequency of a pulsar to shift by an amount aT/(Pc), where a is the (assumed constant) line-of-sight acceleration during the observation of length T, P is the (constant) pulsar period in its rest frame and c is the speed of light. Given that the width of a frequency bin in the Fourier domain is 1/T, we see that the signal will drift into more than one spectral bin if aT2/(Pc) > 1. Survey sensitivities to rapidly-spinning pulsars in tight orbits are therefore significantly compromised when the integration times are large.
Left panel: A 22.5-min Arecibo observation of the binary pulsar B1913+16. The assumption that the pulsar has a constant period during this time is clearly inappropriate given the quadratic drifting in phase of the pulse during the observation (linear grey scale plot). Right panel: The same observation after applying an acceleration search. This shows the effective recovery of the pulse shape and a significant improvement in the signal-to-noise ratio.
It is clearly desirable to employ a technique to recover the loss in sensitivity due to Doppler smearing. One such technique, the so-called “acceleration search” [219], assumes the pulsar has a constant acceleration during the observation. Each time series can then be re-sampled to refer it to the frame of an inertial observer using the Doppler formula to relate a time interval τ in the pulsar frame to that in the observed frame at time t, as τ(t) ∝ (1 + at/c). Searching over a range of accelerations is desirable to find the time series for which the trial acceleration most closely matches the true value. In the ideal case, a time series is produced with a signal of constant period for which full sensitivity is recovered (see right panel of Figure 13). This technique was first used to find PSR B2127+11C [5], a double neutron star binary in M15 which has parameters similar to B1913+16. More recently, its application to 47 Tucanae [53] resulted in the discovery of nine binary millisecond pulsars, including one in a 96-min orbit around a low-mass (0.15 M⊙) companion. This is currently the shortest binary period for any known radio pulsar.
Dynamic power spectra showing two recent pulsar discoveries in the globular cluster M62 showing fluctuation frequency as a function of time. Figure provided by Adam Chandler.
This technique has been used by various groups where spectra are inspected visually [206]. Much of the human intervention can be removed using a hierarchical scheme for selecting significant events [63]. This approach was recently applied to a search of the globular cluster M62 resulting in the discovery of three new pulsars. One of the new discoveries — M62F, a faint 2.3-ms pulsar in a 4.8-hr orbit — was detectable only using the dynamic power spectrum technique.
For the shortest orbital periods, the assumption of a constant acceleration during the observation clearly breaks down. In this case, a particularly efficient algorithm has been developed [262, 143, 263] which is optimised to finding binaries with periods so short that many orbits can take place during an observation. This “phase modulation” technique exploits the fact that the Fourier components are modulated by the orbit to create a family of periodic sidebands around the nominal spin frequency of the pulsar. While this technique has so far not resulted in any new discoveries, the existence of short period binaries in 47 Tucanae [53], Terzan 5 [266] and the 11-min X-ray binary X1820-303 in NGC 6624 [301], suggests that there may be more ultra-compact binary pulsars that await discovery.
3.2 Correcting the observed pulsar sample
In the following, we review common techniques to account for the various selection effects and form a less biased picture of the true pulsar population.
3.2.1 Scale factor determination
3.2.2 The small-number bias
For small samples of observationally-selected objects, the detected sources are likely to be those with larger-than-average luminosities. The sum of the scale factors (5), therefore, will tend to underestimate the true size of the population. This “small-number bias” was first pointed out [145, 151] for the sample of double neutron star binaries where we know of only four systems relevant for calculations of the merging rate (see Section 3.4.1). Only when Nobs ≳ 10 does the sum of the scale factors become a good indicator of the true population size.
Small-number bias of the scale factor estimates derived from a synthetic population of sources where the true number of sources is known. Left panel: An edge-on view of a model Galactic source population. Right panel: The thick line shows Ng, the true number of objects in the model Galaxy, plotted against Nobserved, the number detected by a flux-limited survey. The thin solid line shows Nest, the median sum of the scale factors, as a function of Nobsfrom a large number of Monte Carlo trials. Dashed lines show 25 and 75% percentiles of the Nestdistribution.
3.2.3 The beaming correction
When most of these beaming models were originally proposed, the sample of millisecond pulsars was ≲ 5 and hence their predictions about the beaming fractions of short-period pulsars relied largely on extrapolations from the normal pulsars. An analysis of a large sample of millisecond pulsar profiles [165] suggests that their beaming fraction lies between 50 and 100%. The large beaming fraction and narrow pulses often observed strongly suggests a fan beam model for millisecond pulsars [218].
3.3 The population of normal and millisecond pulsars
3.3.1 Luminosity distributions and local number estimates
Based on a number of all-sky surveys carried out in the 1990s, the scale factor approach has been used to derive the characteristics of the true normal and millisecond pulsar populations and is based on the sample of pulsars within 1.5 kpc of the Sun [205]. Within this region, the selection effects are well understood and easier to quantify than in the rest of the Galaxy. These calculations should therefore give a reliable local pulsar population estimate.
Left panel: The corrected luminosity distribution (solid histogram with error bars) for normal pulsars. The corrected distribution before the beaming model has been applied is shown by the dot-dashed line. Right panel: The corresponding distribution for millisecond pulsars. In both cases, the observed distribution is shown by the dashed line and the thick solid line is a power law with a slope of −1. The difference between the observed and corrected distributions highlights the severe under-sampling of low-luminosity pulsars.
3.3.2 Galactic population and birth-rates
Integrating the local surface densities of pulsars over the whole Galaxy requires a knowledge of the presently rather uncertain Galactocentric radial distribution [137, 181]. One approach is to assume that pulsars have a radial distribution similar to that of other stellar populations and to scale the local number density with this distribution in order to estimate the total Galactic population. The corresponding local-to-Galactic scaling is 1000 ± 250 kpc2 [268]. This implies a population of ∼ 160, 000 active normal pulsars and ∼ 40,000 millisecond pulsars in the Galaxy.
Based on these estimates, we are in a position to deduce the corresponding rate of formation or birth-rate required to sustain the observed population. From the P−Ṗ diagram in Figure 3, we infer a typical lifetime for normal pulsars of ∼ 107 yr, corresponding to a Galactic birth rate of ∼ 1 per 60 yr — consistent with the rate of supernovae [328]. As noted in Section 2.2, the millisecond pulsars are much older, with ages close to that of the Universe τu (we assume here τu = 13.8 Gyr [347]). Taking the maximum age of the millisecond pulsars to be τu, we infer a mean birth rate of at least 1 per 345, 000 yr. This is consistent, within the uncertainties, with the birth-rate of low-mass X-ray binaries [189].
3.4 The population of relativistic binaries
The relativistic binary merging plane. Top: Orbital eccentricity versus period for eccentric binary systems involving neutron stars. Bottom: Orbital period distribution for the massive white dwarf-pulsar binaries.
In addition to testing general relativity through observations of these systems (see Section 4.4), estimates of their Galactic population and merger rate are of great interest as one of the prime sources for current gravitational wave detectors such as GEO600 [112], LIGO [46], VIRGO [131] and TAMA [225]. In the following, we review recent empirical determination of the population sizes and merging rates of binaries where at least one component is visible as a radio pulsar.
3.4.1 Double neutron star binaries
Known and likely DNS binaries. Listed are the pulse period P, orbital period Pb, orbital eccentricity e, characteristic age τc, and expected binary coalescence time-scale τGdue to gravitational wave emission calculated from Equation (7). To distinguish between definite and candidate DNS systems, we also list whether the masses of both components have been determined via the measurement of two or more post Keplerian parameters as described in Section4.4.
J0737−3039 | J1518+4904 | B1534+12 | J1756−2251 | |
|---|---|---|---|---|
P [ms] | 22.7/2770 | 40.9 | 37.9 | 28.5 |
Pb [d] | 0.102 | 8.6 | 0.4 | 0.32 |
e | 0.088 | 0.25 | 0.27 | 0.18 |
τc [108 yr] | 2.1/0.5 | 200 | 2.5 | 4.4 |
τg [108 yr] | 0.87 | 24000 | 27 | 169 |
Masses measured? | Yes | No | Yes | Yes |
J1811−1736 | J1829+2456 | B1913+16 | B2127+11C | |
P [ms] | 104.2 | 41.0 | 59.0 | 30.5 |
Pb [d] | 18.8 | 1.18 | 0.3 | 0.3 |
e | 0.83 | 0.14 | 0.62 | 0.68 |
τc [108 yr] | 9.2 | 130 | 1.1 | 0.97 |
τg [108 yr] | 10000 | 600 | 3.0 | 2.2 |
Masses measured? | No | No | Yes | Yes |
Despite the uncertainties in identifying DNS binaries, for the purposes of determining the Galactic merger rate, the systems2 for which τg is less than τu (i.e. PSRs J0737-3039, B1534+12, J1756-2251, B1913+16 and B2127+11C) are primarily of interest. Of these PSR B2127+11C is in the process of being ejected from the globular cluster M15 [257, 252] and is thought to make only a negligible contribution to the merger rate [248]. The general approach with the remaining systems is to derive scale factors for each object, construct the probability density function of their total population (as outlined in Section 3.2.1) and then divide these by a reasonable estimate for the lifetime. It is generally accepted [151] that the observable lifetimes for these systems are determined by the timescale on which the current orbital period is reduced by a factor of two [9]. Below this point, the orbital smearing selection effect discussed in Section 3.1.3 will render the binary undetectable by current surveys.
The current best empirical estimates of the coalescence rates of relativistic binaries involving neutron stars. The individual contributions from each known binary system are shown as dashed lines, while the solid line shows the total probability density function on a logarithmic and (inset) linear scale. The left panel shows DNS binaries [147, 148], while the right panel shows the equivalent results for NS-WD binaries [157].
Although the double pulsar system J0737-3039 will not be important for ground-based detectors until its final coalescence in another 85 Myr, it may be a useful calibration source for the future space-based detector LISA [224]. Recent calculations [146] show that a 1-yr observation with LISA would detect (albeit with S/N ∼ 2) the continuous emission at a frequency of 0.2 mHz based on the current orbital parameters. Although there is the prospect of using LISA to detect similar systems systems through their continuous emission, current calculations [146] suggest that significant (S/N > 5) detections are not likely. Despite these limitations, it is likely that LISA observations will be able to place independent constraints on the Galactic DNS binary population after several years of operation.
3.4.2 White dwarf-neutron star binaries
Although the population of white dwarf-neutron star (WDNS) binaries in general is substantial, the fraction which will merge due to gravitational wave emission is small. Like the DNS binaries, the observed WDNS sample suffers from small-number statistics. From Figure 18, we note that only three WDNS systems are currently known that will merge within τu, PSRs J0751+1807 [192], J1757-5322 [90] and J1141-6545 [154]. Applying the same techniques as used for the DNS population, the merging rate contributions of the three systems can be calculated [157] and are shown in Figure 19. The combined Galactic coalescence rate is \(4_{- 3}^{+ 5}\) Myr−1 (at 68% confidence interval). Although the orbital frequencies of these objects at coalescence are too low to be detected by LIGO, they do fall within the band planned for LISA [224]. Unfortunately, an extrapolation of the Galactic event rate out to distances at which such events would be detectable by LISA does not suggest that these systems will be a major source of detection [157]. Similar conclusions were reached by considering the statistics of low-mass X-ray binaries [69].
3.5 Going further
Studies of pulsar population statistics represent a large proportion of the pulsar literature. Good starting points for further reading can be found in other review articles [218, 33]. Our coverage of compact object coalescence rates has concentrated on empirical methods. An alternative approach is to undertake a full-blown Monte Carlo simulation of the most likely evolutionary scenarios described in Section 2.6. In this approach, a population of primordial binaries is synthesized with a number of underlying distribution functions: primary mass, binary mass ratio, orbital period distribution etc. The evolution of both stars is then followed to give a predicted sample of binary systems of all the various types. Although selection effects are not always taken into account in this approach, the final census is usually normalized to the star formation rate.
Numerous population syntheses (most often to populations of binaries where one or both members are NSs) can be found in the literature [86, 272, 322, 254, 173, 27]. A group in Moscow has made a web interface to their code [302]. Although extremely instructive, the uncertain assumptions about initial conditions, the physics of mass transfer and the kicks applied to the compact object at birth result in a wide range of predicted event rates which are currently broader than the empirical methods [148, 157, 149]. Ultimately, the detection statistics from the gravitational wave detectors could provide far tighter constraints on the DNS merging rate than the pulsar surveys from which these predictions are made.
4 Principles and Applications of Pulsar Timing
It became clear soon after their discovery that pulsars are excellent celestial clocks. The period of the first pulsar [119] was found to be stable to one part in 107 over a few months. Following the discovery of the millisecond pulsar B1937+21 [19] it was demonstrated that its period could be measured to one part in 1013 or better [84]. This unrivaled stability leads to a host of applications including uses as time keepers, probes of relativistic gravity and natural gravitational wave detectors.
4.1 Observing basics
Schematic showing the main stages involved in pulsar timing observations.
During the observation, the data regularly receive a time stamp, usually based on a caesium time standard or hydrogen maser at the observatory plus a signal from the Global Positioning System of satellites (GPS; see [83]). The TOA is defined as the arrival time of some fiducial point on the integrated profile with respect to either the start or the midpoint of the observation. Since the profile has a stable form at any given observing frequency (see Section 2.3), the TOA can be accurately determined by cross-correlation of the observed profile with a high S/N “template” profile obtained from the addition of many observations at the particular observing frequency.
One of the main problems of employing large bandwidths is pulse dispersion. As discussed in Section 2.4, pulses emitted at lower radio frequencies travel slower and arrive later than those emitted at higher frequencies. This process has the effect of “stretching” the pulse across a finite receiver bandwidth, increasing W and therefore increasing ϕTOA. For normal pulsars, dispersion can largely be compensated for by the incoherent de-dispersion process outlined in Section 3.1.
The short periods of millisecond pulsars offer the ultimate in timing precision. In order to fully exploit this, a better method of dispersion removal is required. Technical difficulties in building devices with very narrow channel bandwidths require another dispersion removal technique. In the process of coherent de-dispersion [110, 185] the incoming signals are de-dispersed over the whole bandwidth using a filter which has the inverse transfer function to that of the interstellar medium. The signal processing can be done on-line either using finite impulse response filter devices [16] or completely in software [290, 297]. Off-line data reduction, while disk-space limited, allows for more flexible analysis schemes [21].
A 120 µs window centred on a coherently-dedispersed giant pulse from the Crab pulsar showing high-intensity nanosecond bursts. Figure provided by Tim Hankins [111].
4.2 The timing model
Timing model residuals for PSR B1133+16. Panel a: Residuals obtained from the best-fitting model which includes period, period derivative, position and proper motion. Panel b: Residuals obtained when the period derivative term is set to zero. Panel c: Residuals showing the effect of a 1-arcmin position error. Panel d: Residuals obtained neglecting the proper motion. The lines in Panels b−d show the expected behaviour in the timing residuals for each effect. Data provided by Andrew Lyne.
From Equation (10), an error in the assumed Ω0 results in a linear slope with time. A parabolic trend results from an error in \({{\dot \Omega}_0}\) (see Panel b of Figure 22). Additional effects will arise if the assumed position of the pulsar (the unit vector ŝ in Equation (9)) used in the barycentric time calculation is incorrect. A position error results in an annual sinusoid (see Panel c of Figure 22). A proper motion produces an annual sinusoid of linearly increasing magnitude (see Panel d of Figure 22).
After a number of iterations, and with the benefit of a modicum of experience, it is possible to identify and account for each of these various effects to produce a “timing solution” which is phase coherent over the whole data span. The resulting model parameters provide spin and astrometric information with a precision which improves as the length of the data span increases. Timing observations of the original millisecond pulsar B1937+21, spanning almost 9 years (exactly 165,711,423,279 rotations!), measure a period of 1.5578064688197945 ± 0.0000000000000004 ms [155, 152] defined at midnight UT on December 5 1988! Astrometric measurements are no less impressive, with position errors of ∼ 20 μarcsec being presently possible [333].
4.3 Timing stability
Such “timing noise” is most prominent in the youngest of the normal pulsars [213, 72] and present at a lower level in the much older millisecond pulsars [155, 11]. While the physical processes of this phenomenon are not well understood, it seems likely that it may be connected to superfluid processes and temperature changes in the interior of the neutron star [3], or to processes in the magnetosphere [66, 65].
The relative dearth of timing noise for the older pulsars is a very important finding. It implies that, presently, the measurement precision depends primarily on the particular hardware constraints of the observing system. Consequently, a large effort in hardware development is presently being made to improve the precision of these observations using, in particular, coherent dedispersion outlined in Section 4.1. Much progress in this area has been made by groups at Princeton [258], Berkeley [325], Jodrell Bank [326], UBC [323], Swinburne [305] and ATNF [12]. From high quality observations spanning over a decade [274, 275, 155], these groups have demonstrated that the timing stability of millisecond pulsars over such time-scales is comparable to terrestrial atomic clocks.
The fractional stability of three millisecond pulsars compared to an atomic clock. Both PSRs B1855+09 and B1937+21 are comparable, or just slightly worse than, the atomic clock behaviour over timescales of a few years [214]. More recent timing of the millisecond pulsar J0437-4715 [126] indicates that it is more stable than the atomic clock.
4.4 Timing binary pulsars
The key point in the PK definitions is that, given the precisely measured Keplerian parameters, the only two unknowns are the masses of the pulsar and its companion, mp and mc. Hence, from a measurement of just two PK parameters (e.g., \({\dot \omega}\) and γ) one can solve for the two masses and, using Equation (11), find the orbital inclination angle i. If three (or more) PK parameters are measured, the system is “overdetermined” and can be used to test GR (or, more generally, any other theory of gravity) by comparing the third PK parameter with the predicted value based on the masses determined from the other two.
Orbital decay in the binary pulsar B1913+16 system demonstrated as an increasing orbital phase shift for periastron passages with time. The GR prediction due entirely to the emission of gravitational radiation is shown by the parabola. Figure provided by Joel Weisberg [336].
More recently, five PK parameters have been measured for PSRs B1534+12 [298] and J0737-3039A [161]. For PSR B1534+12, the test of GR comes from measurements of \({\dot \omega}\), γ and s, where the agreement between theory and observation is within 0.7% [298]. This test will improve in the future as the timing baseline extends and a more significant measurement of r can be made. Although a significant measurement of exists, it is known to be contaminated by kinematic effects which depend on the assumed distance to the pulsar [293]. Assuming GR to be correct, the observed and theoretical values can be reconciled to provide a “relativistic measurement” of the distance d = 1.04 ± 0.03 kpc [288]. Prospects for independent parallax measurements of the distance to this pulsar using radio interferometry await more sensitive telescopes [289].
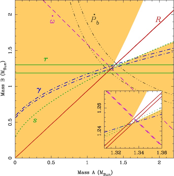
‘Mass-mass’ diagram showing the observational constraints on the masses of the neutron stars in the double pulsar system J0737-3039. Inset is an enlarged view of the small square encompassing the intersection of the tightest constraints. Figure provided by Michael Kramer [161].
Less than two years after its discovery, the double pulsar system has already surpassed the three decades of monitoring PSR B1913+16 and over a decade of timing PSR B1534+12 as a precision test of GR. On-going precision timing measurements of the double pulsar system should soon provide even more stringent and new tests of GR. Crucial to these measurements will be the timing of the 2.7-s pulsar B, where the observed profile is significantly affected by A’s relativistic wind [198, 216]. A careful decoupling of these profile variations is required to accurately measure TOAs for this pulsar and determine the extent to which the theory-independent mass ratio R can be measured.
The relativistic effects observed in the double pulsar system are so large that corrections to higher post-Newtonian order may soon need to be considered. For example, \({\dot \omega}\) may be measured precisely enough to require terms of second post-Newtonian order to be included in the computations [81]. In addition, in contrast to Newtonian physics, GR predicts that the spins of the neutron stars affect their orbital motion via spin-orbit coupling. This effect would most clearly be visible as a contribution to the observed \({\dot \omega}\) in a secular [26] and periodic fashion [337]. For the J0737-3039 system, the expected contribution is about an order of magnitude larger than for PSR B1913+16 [198]. As the exact value depends on the pulsars’ moment of inertia, a potential measurement of this effect allows the moment of inertia of a neutron star to be determined for the first time [81]. Such a measurement would be invaluable for studies of the neutron star equation of state and our understanding of matter at extreme pressure and densities [168].
Distribution of neutron star masses as inferred from timing observations of binary pulsars [292]. The vertical dotted line shows the canonical neutron star mass of 1.4 M⊙. Figure provided by Ingrid Stairs.
PK parameters have now been measured for a number of other binary pulsars which provide interesting constraints on neutron star masses [318, 292]. Figure 28 shows the distribution taken from a recent compilation [292]. While the young pulsars and the double neutron star binaries are consistent with, or just below, the canonical 1.4 M⊙, we note that the millisecond pulsars in binary systems have, on average, significantly larger masses. This provides strong support for their formation through an extended period of accretion in the past, as discussed in Section 2.6.
4.5 Pulsar timing and gravitational wave detection
We have seen in the previous Section 4.4 how pulsar timing can be used to provide indirect evidence for the existence of gravitational waves from coalescing stellar-mass binaries. In this final section, we look at how pulsar timing might soon be used to detect gravitational radiation directly. The idea to use pulsars as natural gravitational wave detectors was first explored in the late 1970s [277, 85]. The basic concept is to treat the solar system barycentre and a distant pulsar as opposite ends of an imaginary arm in space. The pulsar acts as the reference clock at one end of the arm sending out regular signals which are monitored by an observer on the Earth over some time-scale T. The effect of a passing gravitational wave would be to perturb the local spacetime metric and cause a change in the observed rotational frequency of the pulsar. For regular pulsar timing observations with typical TOA uncertainties of ϵTOA, this “detector” would be sensitive to waves with dimensionless amplitudes h ≳ ϵTOA/T and frequencies f ∼ 1/T [31, 39].
4.5.1 Probing the gravitational wave background
Many cosmological models predict that the Universe is presently filled with a low-frequency stochastic gravitational wave background (GWB) produced during the big bang era [243]. A significant component [260, 134] is the gravitational radiation from massive black hole mergers. In the ideal case, the change in the observed frequency caused by the GWB should be detectable in the set of timing residuals after the application of an appropriate model for the rotational, astrometric and, where necessary, binary parameters of the pulsar. As discussed in Section 4.2, all other effects being negligible, the rms scatter of these residuals σ would be due to the measurement uncertainties and intrinsic timing noise from the neutron star.
This technique was first applied [273] to a set of TOAs for PSR B1237+25 obtained from regular observations over a period of 11 years as part of the JPL pulsar timing programme [89]. This pulsar was chosen on the basis of its relatively low level of timing activity by comparison with the youngest pulsars, whose residuals are ultimately plagued by timing noise (see Section 4.3). By ascribing the rms scatter in the residuals (σ = 240 ms) to the GWB, the limit ρg/ρc ≲ 4 × 10−3h−2 for a centre frequency f = 7 nHz.
For binary pulsars, the orbital period provides an additional clock for measuring the effects of gravitational waves. In this case, the range of frequencies is not limited by the time span of the observations, allowing the detection of waves with periods as large as the light travel time to the binary system [31]. The most stringent results presently available are based on the B1855+09 limit Ωgh2 < 2.7 × 10−4 in the frequency range 10−11 < f < 4.4 × 10−9 Hz [160].
4.5.2 Constraints on massive black hole binaries
In addition to probing the GWB, pulsar timing is beginning to place interesting constraints on the existence of massive black hole binaries. Arecibo data for PSRs B1937+21 and J1713+0747 already make the existence of an equal-mass black hole binary in Sagittarius A* unlikely [176]. More recently, timing data from B1855+09 have been used to virtually rule out the existence of a proposed supermassive black hole as the explanation for the periodic motion seen at the centre of the radio galaxy 3C66B [304].
Top panel: Observed timing residuals for PSR B1855+09. Bottom panel: Simulated timing residuals induced from a putative black hole binary in 3C66B. Figure provided by Rick Jenet [135].
4.5.3 A millisecond pulsar timing array
Summary of the gravitational wave spectrum showing the location in phase space of the pulsar timing array (PTA) and its extension with the Square Kilometre Array (SKA). Figure updated by Michael Kramer [162] from an original design by Richard Battye.
A number of long-term timing projects are now underway to make a large-scale pulsar timing array a reality. At Arecibo and Green Bank, regular timing of a dozen or more millisecond pulsars are now carried out using on-line data acquisition systems by groups at Berkeley [325], Princeton [258] and UBC [323]. A similar system is also being commissioned at Jodrell Bank [142]. The Berkeley group have installed identical sets of data taking equipment at Effelsberg and Nancay which has enabled these telescopes to make regular high-quality millisecond pulsar timing observations [174, 68]. In the southern hemisphere, a high-precision timing program at Parkes [333] has been in existence since the discovery bright nearby millisecond pusar J0437-4715 [138]. Since February 2004, weekly Parkes observations of ∼20 millisecond pulsars are already achieving a limit of Ωgh2 < 10−4, with the ultimate goal being to reach a limits of Ωgh2 < 10−10 before 2010 [121].
Looking further ahead, the increase in sensitivity provided by the Square Kilometre Array [132, 162] should further improve the limits of the spectrum probed by pulsar timing. As Figure 30 shows, the SKA could provide up to two orders of magnitude improvement over current capabilities.
4.6 Going further
For further details on the techniques and prospects of pulsar timing, a number of excellent reviews are available [18, 308, 28, 291, 185]. Two audio files and slides from lectures at the centennial meeting of the American Physical Society are also available on-line [15, 341]. The tests of general relativity discussed in Section 4.4, along with further effects, are reviewed elsewhere in this journal by Will [342] and Stairs [291]. Further discussions on the realities of using pulsars as gravity wave detectors can be found in other review articles [271, 14, 121].
5 Summary and Future Prospects
The main aim of this article was to review some of the many astrophysical applications provided by the present sample of binary and millisecond radio pulsars. The topics covered here, along with the bibliography and associated tables of observational parameters, should be useful to those wishing to delve deeper into the vast body of literature that exists.
Through an understanding of the Galactic population of radio pulsars summarised in Section 3 it is possible to predict the detection statistics of terrestrial gravitational wave detectors to nearby rapidly spinning neutron stars (see Section 3.3), as well as coalescing relativistic binaries at cosmic distances (see Section 3.4). Continued improvements in gravitational wave detector sensitivities should result in a number of interesting developments and contributions in this area. These developments and contributions might include the detection of presently known radio pulsars, as well as a population of coalescing binary systems which have not yet been detected as radio pulsars.
The phenomenal timing stability of radio pulsars leads naturally to a large number of applications, including their use as laboratories for relativistic gravity (see Section 4.4) and as natural detectors of gravitational radiation (see Section 4.5). Long-term timing experiments of the present sample of millisecond and binary pulsars currently underway appear to have tremendous potential in these areas and perhaps detect the gravitational wave background (if it exists) within the next decade.
A pulsar-black hole binary system: Following the wide variety of science possible from the new double pulsar J0737-3039 (see Sections 2.6, 3.4.1 and 4.4), a radio pulsar with a blackhole companion would without doubt be a fantastic gravitational laboratory. Excellent places to look for such systems are globular clusters and the Galactic centre [247].
A sub-millisecond pulsar: With the new discoveries in Terzan 5, it now appears that the original millisecond pulsar, B1937+21 is no longer the most rapidly rotating neutron star known [233]. Do neutron stars with kHz spin rates exist? Searches now have sensitivity to such objects [41] and a discovery of even one would constrain the equation of state of matter at high densities. As mentioned in Section 2.2, the R-mode instability may prevent neutron stars from reaching such high spin rates [36, 60, 7].
Footnotes
- 1.
Pulsar astronomers usually define the luminosity L = Sd2, where S is the mean flux density at 400 MHz (a standard observing frequency) and d is the distance derived from the DM (see Section 2.4). Since this ignores any assumptions about beaming or geometrical factors, it is sometimes referred to as a “pseudoluminosity” [8].
- 2.
The likely DNS binary J1756-2251 [93] has a merger time of 1.7 Gyr and will make a small contribution to the rate. It has so far not been incorporated into the latest calculations.
- 3.
It is likely, however, that a more detailed statistical analysis of the data are required to confirm or refute this result [82].
Acknowledgements
Many thanks to Maura McLaughlin, Michael Kramer and Ingrid Stairs who read and provided very useful comments on this revised review, as well as Paul Ray and Matthew Bailes for spotting errors in the previous version. I am indebted to a number of colleagues who, as noted in many of the figure captions, kindly gave permission to use their figures in this article. Frequent use was made of NASA’s magnificent Astrophysics Data System [116], the arXiv e-Print service [75] and of course Google during the literature searches. The Royal Society supports my research through their University Research Fellowship scheme. Finally, I’d like to thank the Living Reviews editors for their support and patience during the completion of this long-overdue update.
Supplementary material
gif-Movie (861 KB) Still from a GIF movie showing the rotating neutron star (or “lighthouse”) model for pulsar emission. Animation designed by Michael Kramer.
gif-Movie (213 KB) Still from a GIF movie showing a simulation following the motion of 100 pulsars in a model gravitational potential of our Galaxy for 200 Myr. The view is edge-on, i.e. the horizontal axis represents the Galactic plane (30 kpc across) while the vertical axis represents ±10 kpc from the plane. This snapshot shows the initial configuration of young neutron stars.
References
- [1]Allan, D.W., “The Allan Variance”, personal homepage, Allan’s Time Interval Metrology Enterprises, (1999). URL (cited on 7 December 2000): http://www.allanstime.com/AllanVariance/.
- [2]Alpar, M.A., Cheng, A.F., Ruderman, M.A., and Shaham, J., “A new class of radio pulsars”, Nature, 300, 728–730, (1982).ADSCrossRefGoogle Scholar
- [3]Alpar, M.A., Nandkumar, R., and Pines, D., “Vortex Creep and the Internal Temperature of Neutron Stars: Timing Noise of Pulsars”, Astrophys. J., 311, 197–213, (1986).ADSCrossRefGoogle Scholar
- [4]Anderson, S.B., A study of recycled pulsars in globular clusters, Ph.D. Thesis, (California Institute of Technology, Pasadena, U.S.A., 1992).Google Scholar
- [5]Anderson, S.B., Gorham, P.W., Kulkarni, S.R., Prince, T.A., and Wolszczan, A., “Discovery of two radio pulsars in the globular cluster M15”, Nature, 346, 42–44, (1990).ADSCrossRefGoogle Scholar
- [6]Anderson, S.B., Wolszczan, A., Kulkarni, S.R., and Prince, T.A., “Observations of Two Millisecond Pulsars in the Globular Cluster NGC 5904”, Astrophys. J., 482, 870–873, (1997).ADSCrossRefGoogle Scholar
- [7]Andersson, N., Jones, D.I., Kokkotas, K., and Stergioulas, N., “r-Mode runaway and rapidly rotating neutron stars”, Astrophys. J. Lett., 534, L75–L78, (2000).ADSCrossRefGoogle Scholar
- [8]Arzoumanian, Z., Chernoff, D. F., and Cordes, J. M., “The Velocity Distribution of Isolated Radio Pulsars”, Astrophys. J., 568, 289–301, (2002).ADSCrossRefGoogle Scholar
- [9]Arzoumanian, Z., Cordes, J.M., and Wasserman, I., “Pulsar Spin Evolution, Kinematics, and the Birthrate of Neutron Star Binaries”, Astrophys. J., 520, 696–705, (1999).ADSCrossRefGoogle Scholar
- [10]Arzoumanian, Z., Fruchter, A.S., and Taylor, J.H., “Orbital Variability in the Eclipsing Pulsar Binary PSR B1957+20”, Astrophys. J. Lett., 426, L85–L88, (1994).ADSCrossRefGoogle Scholar
- [11]Arzoumanian, Z., Nice, D.J., Taylor, J.H., and Thorsett, S.E., “Timing Behavior of 96 Radio Pulsars”, Astrophys. J., 422, 671–680, (1994).ADSCrossRefGoogle Scholar
- [12]Australia Telescope National Facility, “ATNF Pulsar Group”, project homepage, (2005). URL (cited on 22 January 2005): http://www.atnf.csiro.au/research/pulsar.
- [13]Australia Telescope National Facility, “The Pulsar Catalogue”, web interface to database, (2005). URL (cited on 17 January 2005): http://www.atnf.csiro.au/research/pulsar/psrcat.
- [14]Backer, D.C., “Timing of Millisecond Pulsars”, in van Paradijs, J., van del Heuvel, E.P.J., and Kuulkers, E., eds., Compact Stars in Binaries (IAU Symposium 165), Proceedings of the 165th Symposium of the International Astronomical Union, held in the Hague, The Netherlands, August 15–19, 1994, 197–211, (Kluwer, Dordrecht, Netherlands; Boston, U.S.A., 1996).CrossRefGoogle Scholar
- [15]Backer, D.C., “Pulsars — Nature’s Best Clocks”, lecture notes, American Physical Society, (1999). URL (cited on 8 December 2000): http://www.apscenttalks.org/pres_masterpage.cfm?nameID=65.Google Scholar
- [16]Backer, D.C., Dexter, M.R., Zepka, A.F., Ng, D., Werthimer, D.J., Ray, P.S., and Foster, R.S., “A Programmable 36 MHz Digital Filter Bank for Radio Science”, Publ. Astron. Soc. Pac., 109, 61–68, (1997).ADSCrossRefGoogle Scholar
- [17]Backer, D.C., Foster, R.F., and Sallmen, S., “A second companion of the millisecond pulsar 1620–26”, Nature, 365, 817–819, (1993).ADSCrossRefGoogle Scholar
- [18]Backer, D.C., and Hellings, R.W., “Pulsar Timing and General Relativity”, Annu. Rev. Astron. Astrophys., 24, 537–575, (1986).ADSCrossRefGoogle Scholar
- [19]Backer, D.C., Kulkarni, S.R., Heiles, C., Davis, M.M., and Goss, W.M., “A millisecond pulsar”, Nature, 300, 615–618, (1982).ADSCrossRefGoogle Scholar
- [20]Bailes, M., “The Origin of pulsar velocities and the velocity-magnetic moment correlation.”, Astrophys. J., 342, 917–927, (1989).ADSCrossRefGoogle Scholar
- [21]Bailes, M., “Precision timing at the Parkes 64-m radio telescope”, in Bailes, M., Nice, D.J., and Thorsett, S.E., eds., Radio Pulsars, Proceedings of meeting held at Mediterranean Agonomic Institute of Chania, Crete, Greece, 26–29 August 2002, vol. 302 of ASP Conference Series, 57–64, (Astronomical Society of the Pacific, San Fransisco, U.S.A., 2003).Google Scholar
- [22]Bailes, M., Harrison, P.A., Lorimer, D.R., Johnston, S., Lyne, A.G., Manchester, R.N., D’Amico, N., Nicastro, L., Tauris, T.M., and Robinson, C., “Discovery of Three Galactic Binary Millisecond Pulsars”, Astrophys. J. Lett., 425, L41–L44, (1994).ADSCrossRefGoogle Scholar
- [23]Bailes, M., Johnston, S., Bell, J.F., Lorimer, D.R., Stappers, B.W., Manchester, R.N., Lyne, A.G., D’Amico, N., and Gaensler, B.M., “Discovery of four isolated millisecond pulsars”, Astrophys. J., 481, 386–391, (1997).ADSCrossRefGoogle Scholar
- [24]Bailes, M., Manchester, R.N., Kesteven, M.J., Norris, R.P., and Reynolds, J.E., “The proper motion of six southern radio pulsars”, Mon. Not. R. Astron. Soc., 247, 322–326, (1990).ADSGoogle Scholar
- [25]Bailes, M., Ord, S.M., Knight, H.S., and Hotan, A.W., “Self-Consistency of Relativistic Observables with General Relativity in the White Dwarf-Neutron Star Binary PSR J1141-6545”, Astrophys. J. Lett., 595, L49–L52, (2003).ADSCrossRefGoogle Scholar
- [26]Barker, B.M., and O’Connell, R.F., “Gravitational two-body problem with arbitrary masses, spins, and quadrupole moments”, Phys. Rev. D, 12, 329–335, (1975).ADSCrossRefGoogle Scholar
- [27]Belczynski, K., Kalogera, V.M., and Bulik, T., “A Comprehensive Study of Binary Compact Objects as Gravitational Wave Sources: Evolutionary Channels, Rates, and Physical Properties”, Astrophys. J., 572, 407–431, (2002).ADSCrossRefGoogle Scholar
- [28]Bell, J.F., “Radio Pulsar Timing”, Adv. Space Res., 21, 131–147, (1998).ADSCrossRefGoogle Scholar
- [29]Bell, J.F., Bailes, M., Manchester, R.N., Lyne, A.G., Camilo, F., and Sandhu, J.S., “Timing measurements and their implications for four binary millisecond pulsars”, Mon. Not. R. Astron. Soc., 286, 463–469, (1997).ADSCrossRefGoogle Scholar
- [30]Bell, J.F., Bessell, M.S., Stappers, B.W., Bailes, M., and Kaspi, V.M., “PSR J0045-7319: A dual-line binary radio pulsar”, Astrophys. J. Lett., 447, L117–L119, (1995).ADSCrossRefGoogle Scholar
- [31]Bertotti, B., Carr, B.J., and Rees, M.J., “Limits from the timing of pulsars on the cosmic gravitational wave background”, Mon. Not. R. Astron. Soc., 203, 945–954, (1983).ADSCrossRefGoogle Scholar
- [32]Beskin, V.S., Gurevich, A.V., and Istomin, Y.N., Physics of the Pulsar Magnetosphere, (Cambridge University Press, Cambridge, U.K.; New York, U.S.A., 1993).MATHGoogle Scholar
- [33]Bhattacharya, D., and van den Heuvel, E.P.J., “Formation and evolution of binary and millisecond radio pulsars”, Phys. Rep., 203, 1–124, (1991).ADSCrossRefGoogle Scholar
- [34]Biggs, J.D., “Meridional compression of radio pulsar beams”, Mon. Not. R. Astron. Soc., 245, 514–521, (1990).ADSGoogle Scholar
- [35]Biggs, J.D., Bailes, M., Lyne, A.G., Goss, W.M., and Fruchter, A.S., “Two radio pulsars in the globular cluster NGC 6624”, Mon. Not. R. Astron. Soc., 267, 125–128, (1994).ADSCrossRefGoogle Scholar
- [36]Bildsten, L., “Gravitational radiation and rotation of accreting neutron stars”, Astrophys. J. Lett., 501, L89–L93, (1998).ADSCrossRefGoogle Scholar
- [37]Bisnovatyi-Kogan, G.S., and Komberg, B.V., “Pulsars and Close Binary Systems”, Sov. Astron., 18, 217–221, (1974).ADSGoogle Scholar
- [38]Blaauw, A., “On the origin of the O- and B-type stars with high velocities (the ‘Run-away’ stars), and related problems”, Bull. Astron. Inst. Neth., 15, 265–290, (1961).ADSGoogle Scholar
- [39]Blandford, R.D., Narayan, R., and Romani, R.W., “Arrival-time analysis for a millisecond pulsar”, J. Astrophys. Astron., 5, 369–388, (1984).ADSCrossRefGoogle Scholar
- [40]Boriakoff, V., Buccheri, R., and Fauci, F., “Discovery of a 6.1-ms binary pulsar, PSR 1953+29”, Nature, 304, 417–419, (1983).ADSCrossRefGoogle Scholar
- [41]Burderi, L., and D’Amico, N., “Probing the Equation of State of Ultradense Matter with a Submillisecond Pulsar Search Experiment”, Astrophys. J., 490, 343–352, (1997).ADSCrossRefGoogle Scholar
- [42]Burgay, M., The Parkes High-Latitude Pulsar Survey and the Discovery of the first Double Pulsar, Ph.D. Thesis, (Bologna University, Bologna, Italy, 2004).Google Scholar
- [43]Burgay, M., Burderi, L., Possenti, A., D’Amico, N., Manchester, R.N., Lyne, A.G., Camilo, F., and Campana, S., “A Search for Pulsars in Quiescent Soft X-Ray Transients. I.”, Astrophys. J., 589, 902–910, (2003).ADSCrossRefGoogle Scholar
- [44]Burgay, M., D’Amico, N., Possenti, A., Manchester, R.N., Lyne, A.G., Joshi, B.C., McLaughlin, M.A., Kramer, M., Sarkissian, J.M., Camilo, F., Kalogera, V., Kim, C., and Lorimer, D.R., “An increased estimate of the merger rate of double neutron stars from observations of a highly relativistic system”, Nature, 426, 531–533, (2003).ADSCrossRefGoogle Scholar
- [45]Caldwell, R.R., and Allen, B., “Cosmological constraints on cosmic-string gravitational radiation”, Phys. Rev. D, 45, 3447–3468, (1992).ADSCrossRefGoogle Scholar
- [46]Caltech/MIT, “Laser Interferometric Gravitational Wave Observatory”, project homepage, (2005). URL (cited on 29 January 2005): http://www.ligo.caltech.edu.
- [47]Camilo, F., “Millisecond Pulsar Searches”, in Alpar, A., Kiziloǧlu, Ü., and van Paradis J., eds., The Lives of the Neutron Stars, Proceedings of the NATO Advanced Study Institute, Kemer, Turkey, August 29–September 12, 1993, vol. 450 of NATO ASI Series, Series C, 243–257, (Kluwer, Dordrecht, Netherlands; Boston, U.S.A., 1995).CrossRefGoogle Scholar
- [48]Camilo, F., A Search for Millisecond Pulsars, Ph.D. Thesis, (Princeton University, Princeton, U.S.A., 1995).Google Scholar
- [49]Camilo, F., “Intermediate-Mass Binary Pulsars: a New Class of Objects?”, in Johnston, S., Walker, M.A., and Bailes, M., eds., Pulsars: Problems and Progress (IAU Colloquium 160), Proceedings of the 160th Colloquium of the IAU, held at the Research Centre for Theoretical Astrophysics, University of Sydney, Australia, 8–12 January 1996, vol. 105 of ASP Conference Series, 539–540, (Astronomical Society of the Pacific, San Francisco, U.S.A., 1996).Google Scholar
- [50]Camilo, F., “Present and future pulsar searches”, in Jackson, N., and Davis, R.J., eds., High-Sensitivity Radio Astronomy, Proceedings of a meeting held at Jodrell Bank, University of Manchester, January 22–26, 1996, Cambridge Contemporary Astrophysics, 14–22, (Cambridge University Press, Cambridge, U.K.; New York, U.S.A., 1997).Google Scholar
- [51]Camilo, F., “Pulsar Searches in the Northern Hemisphere”, in Arzoumanian, Z., van der Hooft, F., and van den Heuvel, E.P.J., eds., Pulsar Timing, General Relativity, and the Internal Structure of Neutron Stars, Proceedings of the colloquium, Amsterdam, 24–27 September 1996, 115, (Royal Netherlands Academy of Arts and Sciences, Amsterdam, Netherlands, 1999).Google Scholar
- [52]Camilo, F., Foster, R.S., and Wolszczan, A., “High-precision timing of PSR J1713+0747: Shapiro delay”, Astrophys. J. Lett., 437, L39–L42, (1994).ADSCrossRefGoogle Scholar
- [53]Camilo, F., Lorimer, D.R., Freire, P.C.C., Lyne, A.G., and Manchester, R.N., “Observations of 20 Millisecond Pulsars in 47 Tucanae at 20 Centimeters”, Astrophys. J., 535, 975–990, (2000).ADSCrossRefGoogle Scholar
- [54]Camilo, F., Lyne, A.G., Manchester, R.N., Bell, J.F., Stairs, I.H., D’Amico, N., Kaspi, V.M., Possenti, A., Crawford, F., and McKay, N.P.F., “Discovery of Five Binary Radio Pulsars”, Astrophys. J. Lett., 548, L187–L191, (2001).ADSCrossRefGoogle Scholar
- [55]Camilo, F., Nice, D.J., and Taylor, J.H., “Discovery of two fast-rotating pulsars”, Astrophys. J. Lett., 412, L37–L40, (1993).ADSCrossRefGoogle Scholar
- [56]Camilo, F., Nice, D.J., and Taylor, J.H., “A search for millisecond pulsars at galactic latitudes −50° < b < −20°”, Astrophys. J., 461, 812–819, (1996).ADSCrossRefGoogle Scholar
- [57]Camilo, F., Nice, D.J., Taylor, J.H., and Shrauner, J.A., “Princeton-Arecibo Declination-Strip Survey for Millisecond Pulsars. I.”, Astrophys. J., 469, 819–827, (1996).ADSCrossRefGoogle Scholar
- [58]Camilo, F., and Rasio, F.A., “Radio Pulsars in Globular Clusters”, in Rasio, F.A., and Stairs, I.H., eds., Binary Radio Pulsars, Proceedings of meeting held at the Aspen Center for Physics, USA, 12 Janaury–16 January 2004, vol. 328 of ASP Conference Series, (Astronomical Society of the Pacific, San Francisco, U.S.A., 2005).Google Scholar
- [59]Chakrabarty, D., and Morgan, E.H., “The 2 hour orbit of a binary millisecond X-ray pulsar”, Nature, 394, 346–348, (1998).ADSCrossRefGoogle Scholar
- [60]Chakrabarty, D., Morgan, E.H., Muno, M.P., Galloway, D.K., Wijnands, R., van der Klis, M., and Markwardt, C.B., “Nuclear-powered millisecond pulsars and the maximum spin frequency of neutron stars”, Nature, 424, 42–44, (2003).ADSCrossRefGoogle Scholar
- [61]Champion, D.J., “Latest timing results for PSR J1829+2456”, personal communication.Google Scholar
- [62]Champion, D.J., Lorimer, D.R., McLaughlin, M.A., Arzoumanian, Z., Cordes, J.M., Weisberg, J., and Taylor, J.H., “PSR J1829+2456: a new relativistic binary system”, Mon. Not. R. Astron. Soc., 350, L61–L65, (2004).ADSCrossRefGoogle Scholar
- [63]Chandler, A.M., Pulsar Searches: From Radio to Gamma-Rays, Ph.D. Thesis, (California Institute of Technology, Pasadena, U.S.A., 2003).Google Scholar
- [64]Chen, K., and Ruderman, M., “Pulsar death rates and death valley”, Astrophys. J., 402, 264–270, (1993).ADSCrossRefGoogle Scholar
- [65]Cheng, K.S., “Could Glitches Inducing Magnetospheric Fluctuations Produce Low Frequency Timing Noise?”, Astrophys. J., 321, 805–812, (1987).ADSCrossRefGoogle Scholar
- [66]Cheng, K.S., “Outer Magnetospheric Fluctuations and Pulsar Timing Noise”, Astrophys. J., 321, 799–804, (1987).ADSCrossRefGoogle Scholar
- [67]Clifton, T.R., Lyne, A.G., Jones, A.W., McKenna, J., and Ashworth, M., “A high frequency survey of the Galactic plane for young and distant pulsars”, Mon. Not. R. Astron. Soc., 254, 177–184, (1992).ADSCrossRefGoogle Scholar
- [68]Cognard, I., and Backer, D.C., “A Microglitch in the Millisecond Pulsar PSR B1821-24 in M28”, Astrophys. J. Lett., 612, L125–L127, (2004).ADSCrossRefGoogle Scholar
- [69]Cooray, A., “Gravitational wave background of neutron star-white dwarf binaries”, Mon. Not. R. Astron. Soc., 354, 25–30, (2005).ADSCrossRefGoogle Scholar
- [70]Cordes, J.M., and Chernoff, D.F., “Neutron Star Population Dynamics. I. Millisecond Pulsars”, Astrophys. J., 482, 971–992, (1997).ADSCrossRefGoogle Scholar
- [71]Cordes, J.M., and Chernoff, D.F., “Neutron Star Population Dynamics. II. Three-dimensional Space Velocities of Young Pulsars”, Astrophys. J., 505, 315–338, (1998).ADSCrossRefGoogle Scholar
- [72]Cordes, J.M., and Helfand, D.J., “Pulsar timing III. Timing Noise of 50 Pulsars”, Astrophys. J. Lett., 239, 640–650, (1980).ADSCrossRefGoogle Scholar
- [73]Cordes, J.M., and Lazio, T.J.W., “NE2001. I. A New Model for the Galactic Distribution of Free Electrons and its Fluctuations”, (2002). URL (cited on 22 January 2005): http://arXiv.org/abs/astro-ph/0207156.
- [74]Cordes, J.M., and Lazio, T.J.W., “NE2001. II. Using Radio Propagation Data to Construct a Model for the Galactic Distribution of Free Electrons”, (2003). URL (cited on 22 January 2005): http://arXiv.org/abs/astro-ph/0301598.
- [75]Cornell University, “arXiv.org e-Print archive”, web interface to database, (2001). URL (cited on 19 March 2001): http://arXiv.org.
- [76]D’Amico, N., Bailes, M., Lyne, A.G., Manchester, R.N., Johnston, S., Fruchter, A.S., and Goss, W.M., “PSR B1802-07: A globular cluster pulsar in an eccentric binary system”, Mon. Not. R. Astron. Soc., 260, L7–L10, (1993).ADSGoogle Scholar
- [77]D’Amico, N., Lyne, A.G., Manchester, R.N., Possenti, A., and Camilo, F., “Discovery of Short-Period Binary Millisecond Pulsars in Four Globular Clusters”, Astrophys. J. Lett., 548, L171–L174, (2001).ADSCrossRefGoogle Scholar
- [78]D’Amico, N., Possenti, A., Fici, L., Manchester, R.N., Lyne, A.G., Camilo, F., and Sarkissian, J., “Timing of Millisecond Pulsars in NGC 6752: Evidence for a High Mass-to-Light Ratio in the Cluster Core”, Astrophys. J. Lett., 570, L89–L92, (2002).ADSCrossRefGoogle Scholar
- [79]D’Amico, N., Possenti, A., Manchester, R.N., Sarkissian, J., Lyne, A.G., and Camilo, F., “An Eclipsing Millisecond Pulsar with a Possible Main-Sequence Companion in NGC 6397”, Astrophys. J. Lett., 561, L89–L92, (2001).ADSCrossRefGoogle Scholar
- [80]Damour, T., and Deruelle, N., “General Relativistic Celestial Mechanics of Binary Systems. II. The Post-Newtonian Timing Formula”, Ann. Inst. Henri Poincare A, 44, 263–292, (1986).MathSciNetMATHGoogle Scholar
- [81]Damour, T., and Schäfer, G., “Higher-Order Relativistic Periastron Advances and Binary Pulsars”, Nuovo Cimento, 101, 127, (1988).CrossRefGoogle Scholar
- [82]Damour, T., and Vilenkin, A., “Gravitational radiation from cosmic (super)strings: Bursts, stochastic background, and observational windows”, Phys. Rev. D, 71, 063510–1–13, (2005). Related online version (cited on 30 January 2005): http://arXiv.org/abs/hep-th/0410222.ADSCrossRefGoogle Scholar
- [83]Dana, P.H., “The Global Positioning System”, project homepage, Department of Geography, University of Colorado at Boulder, (2000). URL (cited on 19 March 2001): http://www.colorado.edu/geography/gcraft/notes/gps/gps_f.html.Google Scholar
- [84]Davis, M.M., Taylor, J.H., Weisberg, J.M., and Backer, D.C., “High-precision timing observations of the millisecond pulsar PSR 1937+21”, Nature, 315, 547–550, (1985).ADSCrossRefGoogle Scholar
- [85]Detweiler, S.L., “Pulsar timing measurements and the search for gravitational waves”, Astrophys. J., 234, 1100–1104, (1979).ADSCrossRefGoogle Scholar
- [86]Dewey, R.J., and Cordes, J.M., “Monte Carlo Simulations of Radio Pulsars and their Progenitors”, Astrophys. J., 321, 780–798, (1987).ADSCrossRefGoogle Scholar
- [87]Dewey, R.J., Maguire, C.M., Rawley, L.A., Stokes, G.H., and Taylor, J.H., “Binary pulsar with a very small mass function”, Nature, 322, 712–714, (1986).ADSCrossRefGoogle Scholar
- [88]Dewey, R.J., Stokes, G.H., Segelstein, D.J., Taylor, J.H., and Weisberg, J.M., “The Period Distribution of Pulsars”, in Reynolds, S.P., and Stinebring, D.R., eds., Birth and Evolution of Neutron Stars: Issues Raised by Millisecond Pulsars, Proceedings of a workshop, held at the National Radio Astronomy Observatory, Green Bank, West Virginia, June 6–8, 1984, vol. 8 of NRAO Workshop, 234–240, (National Radio Astronomy Observatory, Green Bank, U.S.A., 1984).Google Scholar
- [89]Downs, G.S., and Reichley, P.E., “JPL pulsar timing observations. II. Geocentric arrival times”, Astrophys. J. Suppl. Ser., 53, 169–240, (1983).ADSCrossRefGoogle Scholar
- [90]Edwards, R., and Bailes, M., “Discovery of two relativistic neutron star-white dwarf binaries”, Astrophys. J. Lett., 547, L37–L40, (2001).ADSCrossRefGoogle Scholar
- [91]Edwards, R., and Bailes, M., “Recycled Pulsars Discovered at High Radio Frequency”, Astrophys. J., 553, 801–808, (2001).ADSCrossRefGoogle Scholar
- [92]Edwards, R.T., “Discovery of Eight Recycled Pulsars — The Swinburne Intermediate Latitude Pulsar Survey”, in Kramer, M., Wex, N., and Wielebinski, R., eds., Pulsar Astronomy: 2000 and Beyond (IAU Colloquium 177), Proceedings of the 177th Colloquium of the IAU, held at the Max-Planck-Institut für Radioastronomie, Bonn, Germany, 30 August — 3 September 1999, vol. 202 of ASP Conference Series, 33–34, (Astronomical Society of the Pacific, San Francisco, U.S.A., 2000).Google Scholar
- [93]Faulkner, A.J., Kramer, M., Lyne, A.G., Manchester, R.N., McLaughlin, M.A., Stairs, I.H., Hobbs, G.B., Possenti, A., Lorimer, D.R., D’Amico, N., Camilo, F., and Burgay, M., “PSR J1756-2251: A New Relativistic Double Neutron Star System”, Astrophys. J. Lett., 618, L119–L122, (2005).ADSCrossRefGoogle Scholar
- [94]Faulkner, A.J., Stairs, I.H., Kramer, M., Lyne, A.G., Hobbs, G.B., Possenti, A., Lorimer, D.R., Manchester, R.N., McLaughlin, M.A., D’Amico, N., Camilo, F., and Burgay, M., “The Parkes Multibeam Pulsar Survey — V. Finding binary and millisecond pulsars”, Mon. Not. R. Astron. Soc., 355, 147–158, (2004).ADSCrossRefGoogle Scholar
- [95]Flannery, B.P., and van den Heuvel, E.P.J., “On the origin of the binary pulsar PSR 1913+16”, Astron. Astrophys., 39, 61–67, (1975).ADSGoogle Scholar
- [96]Fomalont, E.B., Goss, W.M., Lyne, A.G., Manchester, R.N., and Justtanont, K., “Positions and Proper Motions of Pulsars”, Mon. Not. R. Astron. Soc., 258, 497–510, (1992).ADSCrossRefGoogle Scholar
- [97]Foster, R.S., and Backer, D.C., “Constructing a Pulsar Timing Array”, Astrophys. J., 361, 300–308, (1990).ADSCrossRefGoogle Scholar
- [98]Foster, R.S., Wolszczan, A., and Camilo, F., “A new binary millisecond pulsar”, Astrophys. J. Lett., 410, L91–L94, (1993).ADSCrossRefGoogle Scholar
- [99]Freire, P.C., Camilo, F., Kramer, M., Lorimer, D.R., Lyne, A.G., Manchester, R.N., and D’Amico, N., “Further results from the timing of the millisecond pulsars in 47 Tucanae”, Mon. Not. R. Astron. Soc., 340, 1359–1374, (2003).ADSCrossRefGoogle Scholar
- [100]Freire, P.C., Gupta, Y., Ransom, S.M., and Ishwara-Chandra, C.H., “Giant Metrewave Radio Telescope Discovery of a Millisecond Pulsar in a Very Eccentric Binary System”, Astrophys. J. Lett., 606, L53–L56, (2004).ADSCrossRefGoogle Scholar
- [101]Freire, P.C.C., Hessels, J.W.T., Nice, D.J., Ransom, S.M., Lorimer, D.R., and Stairs, I.H., “The Millisecond Pulsars in NGC 6760”, Astrophys. J., 621, 959–965, (2005).ADSCrossRefGoogle Scholar
- [102]Freire, P.C.C., Kramer, M., and Lyne, A.G., “Determination of the orbital parameters of binary pulsars”, Mon. Not. R. Astron. Soc., 322, 885, (2001). Related online version (cited on 19 March 2001): http://arXiv.org/abs/astro-ph/0010463.ADSCrossRefGoogle Scholar
- [103]Fruchter, A.S., Stinebring, D.R., and Taylor, J.H., “A millisecond pulsar in an eclipsing binary”, Nature, 333, 237–239, (1988).ADSCrossRefGoogle Scholar
- [104]Gil, J., and Melikidze, G.I., “On the Giant Nano-subpulses in the Crab Pulsar”, in Camilo, F., and Gaensler, B.M., eds., Young neutron stars and their environments, Proceedings of an IAU Symposium on 14–17 July 2003 in Sydney, Australia, vol. 218 of ASP Conference Series, 321, (Astronomical Society of the Pacific, San Francisco, U.S.A., 2004).Google Scholar
- [105]Gold, T., “Rotating neutron stars as the origin of the pulsating radio sources”, Nature, 218, 731–732, (1968).ADSCrossRefGoogle Scholar
- [106]Gold, T., “Rotating neutron stars and the nature of pulsars”, Nature, 221, 25–27, (1969).ADSCrossRefGoogle Scholar
- [107]Gould, D.M., and Lyne, A.G., “Multifrequency polarimetry of 300 radio pulsars”, Mon. Not. R. Astron. Soc., 301, 235–260, (1998).ADSCrossRefGoogle Scholar
- [108]Gunn, J.E., and Ostriker, J.P., “On the nature of pulsars. III. Analysis of observations”, Astrophys. J., 160, 979–1002, (1970).ADSCrossRefGoogle Scholar
- [109]Han, J.L., and Manchester, R.N., “The shape of radio pulsar beams”, Mon. Not. R. Astron. Soc., 320, L35–L40, (2001). Related online version (cited on 19 March 2001): http://arXiv.org/abs/astro-ph/0010538.ADSCrossRefGoogle Scholar
- [110]Hankins, T.H., “Microsecond Intensity Variation in the Radio Emission from CP 0950”, Astrophys. J., 169, 487–494, (1971).ADSCrossRefGoogle Scholar
- [111]Hankins, T.H., Kern, J.S., Weatherall, J.C., and Eilek, J.A., “Nanosecond radio bursts from strong plasma turbulence in the Crab pulsar”, Nature, 422, 141–143, (2003).ADSCrossRefGoogle Scholar
- [112]Hannover University, “GEO 600 home page”, project homepage, (2005). URL (cited on 29 January 2005): http://www.geo600.uni-hannover.de.
- [113]Hansen, B., and Phinney, E.S., “The pulsar kick velocity distribution”, Mon. Not. R. Astron. Soc., 291, 569–577, (1997).ADSCrossRefGoogle Scholar
- [114]Hansen, B., and Phinney, E.S., “Stellar forensics — II. Millisecond pulsar binaries”, Mon. Not. R. Astron. Soc., 294, 569–581, (1998).ADSCrossRefGoogle Scholar
- [115]Harrison, P.A., Lyne, A.G., and Anderson, B., “New Determinations of the Proper Motions of 44 Pulsars”, Mon. Not. R. Astron. Soc., 261, 113–124, (1993).ADSCrossRefGoogle Scholar
- [116]Harvard-Smithsonian Center for Astrophysics, “The NASA Astrophysics Data System”, web interface to database, (2001). URL (cited on 19 March 2001): http://adsabs.harvard.edu/.
- [117]Hellings, R.W., “Thoughts on Detecting a Gravitational Wave Background with Pulsar Data”, in Backer, D.C., ed., Impact of Pulsar Timing on Relativity and Cosmology, Proceedings of the workshop, held at Berkeley, June 7–9, 1990, k1, (Center for Particle Astrophysics, Berkeley, U.S.A., 1990).Google Scholar
- [118]Hellings, R.W., and Downs, G.S., “Upper limits on the isotropic gravitational radiation background from pulsar timing analysis”, Astrophys. J. Lett., 265, L39–L42, (1983).ADSCrossRefGoogle Scholar
- [119]Hewish, A., Bell, S.J., Pilkington, J.D.H., Scott, P.F., and Collins, R.A., “Observation of a rapidly pulsating radio source”, Nature, 217, 709–713, (1968).ADSCrossRefGoogle Scholar
- [120]Hills, J.G., “The effects of Sudden Mass loss and a random kick velocity produced in a supernova explosion on the Dynamics of a binary star of an Arbitrary orbital Eccentricity”, Astrophys. J., 267, 322–333, (1983).ADSCrossRefGoogle Scholar
- [121]Hobbs, G., “Pulsars and Gravitational Wave Detection”, (2005). URL (cited on 22 January 2005): http://arXiv.org/abs/astro-ph/0412153.
- [122]Hobbs, G., Lorimer, D.R., Lyne, A.G., and Kramer, M., “A statistical study of 233 pulsar proper motions”, Mon. Not. R. Astron. Soc., 360, 974–992, (2005).ADSCrossRefGoogle Scholar
- [123]Hobbs, G.B., Faulkner, A., Stairs, I.H., Camilo, F., Manchester, R.N., Lyne, A.G., Kramer, M., D’Amico, N., Kaspi, V.M., Possenti, A., McLaughlin, M.A., Lorimer, D.R., Burgay, M., Joshi, B.C., and Crawford, F., “The Parkes multibeam pulsar survey: IV. Discovery of 176 pulsars and parameters for 248 previously known pulsars”, Mon. Not. R. Astron. Soc., 352, 1439–1472, (2004).ADSCrossRefGoogle Scholar
- [124]Hobbs, G.B., Lyne, A.G., Kramer, M., Martin, C.E., and Jordan, C., “Long-Term Timing Observations of 374 Pulsars”, Mon. Not. R. Astron. Soc., 353, 1311–1344, (2004).ADSCrossRefGoogle Scholar
- [125]Hogan, C.J., and Rees, M.J., “Gravitational interactions of cosmic strings”, Nature, 311, 109–114, (1984).ADSCrossRefGoogle Scholar
- [126]Hotan, A.W., “Latest timing results for PSR J0437-4715”, personal communication.Google Scholar
- [127]Hotan, A.W., Bailes, M., and Ord, S.M., “Geodetic Precession in PSR J1141-6545”, Astrophys. J., 624, 906–913, (2005). Related online version (cited on 22 January 2005): http://arXiv.org/abs/astro-ph/0412152.ADSCrossRefGoogle Scholar
- [128]Hulse, R.A., “The discovery of the binary pulsar”, Rev. Mod. Phys., 66, 699–710, (1994).ADSCrossRefGoogle Scholar
- [129]Hulse, R.A., and Taylor, J.H., “Discovery of a pulsar in a binary system”, Astrophys. J. Lett., 195, L51–L53, (1975).ADSCrossRefGoogle Scholar
- [130]Hunt, G.C., “The rate of change of period of the pulsars”, Mon. Not. R. Astron. Soc., 153, 119–131, (1971).ADSCrossRefGoogle Scholar
- [131]INFN, “The Virgo Project”, project homepage, (2005). URL (cited on 29 January 2005): http://www.virgo.infn.it.
- [132]International SKA Project Office, “The Square Kilometre Array”, project homepage, (2005). URL (cited on 23 January 2005): http://www.skatelescope.org.
- [133]Jacoby, B.A., Bailes, M., van Kerkwijk, M.H., Ord, S., Hotan, A., Kulkarni, S.R., and Anderson, S.B., “PSR J1909-3744: A Binary Millisecond Pulsar with a Very Small Duty Cycle”, Astrophys. J. Lett., 599, L99–L102, (2003).ADSCrossRefGoogle Scholar
- [134]Jaffe, A.H., and Backer, D.C., “Gravitational Waves Probe the Coalescence Rate of Massive Black Hole Binaries”, Astrophys. J., 583, 616–631, (2003).ADSCrossRefGoogle Scholar
- [135]Jenet, F.A., Lommen, A.N., Larson, S.L., and Wen, L., “Constraining the properties fo supermassive black hole systems using pulsar timing: Application to 3C 66B”, Astrophys. J., 606, 799–803, (2004).ADSCrossRefGoogle Scholar
- [136]Johnston, H.M., and Kulkarni, S.R., “On the detectability of pulsars in close binary systems”, Astrophys. J., 368, 504–514, (1991).ADSCrossRefGoogle Scholar
- [137]Johnston, S., “Evidence for a deficit of pulsars in the inner Galaxy”, Mon. Not. R. Astron. Soc., 268, 595–601, (1994).ADSCrossRefGoogle Scholar
- [138]Johnston, S., Lorimer, D.R., Harrison, P.A., Bailes, M., Lyne, A.G., Bell, J.F., Kaspi, V.M., Manchester, R.N., D’Amico, N., Nicastro, L., and Shengzhen, J., “Discovery of a very bright, nearby binary millisecond pulsar”, Nature, 361, 613–615, (1993).ADSCrossRefGoogle Scholar
- [139]Johnston, S., Lyne, A.G., Manchester, R.N., Kniffen, D.A., D’Amico, N., Lim, J., and Ashworth, M., “A High Frequency Survey of the Southern Galactic Plane for Pulsars”, Mon. Not. R. Astron. Soc., 255, 401–411, (1992).ADSCrossRefGoogle Scholar
- [140]Johnston, S., Manchester, R.N., Lyne, A.G., Bailes, M., Kaspi, V.M., Qiao, G., and D’Amico, N., “PSR 1259-63: A binary radio pulsar with a Be star companion”, Astrophys. J. Lett., 387, L37–L41, (1992).ADSCrossRefGoogle Scholar
- [141]Jones, A.W., and Lyne, A.G., “Timing Observations of the Binary Pulsar PSR 0655+64”, Mon. Not. R. Astron. Soc., 232, 473, (1988).ADSCrossRefGoogle Scholar
- [142]Joshi, B.C., Lyne, A.G., Kramer, M., Lorimer, D.R., Jordan, C.A., Holloway, A.J., Ikin, T.S., and Stairs, I.H., “Coherent On-line Baseband Receiver for Astronomy”, in Bailes, M., Nice, D.J., and Thorsett, S.E., eds., Radio Pulsars, Proceedings of meeting held at Mediterranean Agonomic Institute of Chania, Crete, Greece, 26–29 August 2002, vol. 302 of ASP Conference Series, 321–322, (Astronomical Society of the Pacific, San Fransisco, U.S.A., 2003).Google Scholar
- [143]Jouteux, S., Ramachandran, R., Stappers, B.W., Jonker, P.G., and van der Klis, M., “Searching for pulsars in close circular binary systems”, Astron. Astrophys., 384, 532–544, (2002).ADSCrossRefGoogle Scholar
- [144]Kaaret, P., Morgan, E., and Vanderspek, R., “Orbital parameters of HETE J1900.1-2455”, Astron. Telegram, 2005(538), (June, 2005). URL (cited on 19 July 2005): http://www.astronomerstelegram.org/?read=538.
- [145]Kalogera, V., “Close Binaries with Two Compact Objects”, in Kramer, M., Wex, N., and Wielebinski, R., eds., Pulsar Astronomy: 2000 and Beyond (IAU Colloquium 177), Proceedings of the 177th Colloquium of the IAU, held at the Max-Planck-Institut für Radioastronomie, Bonn, Germany, 30 August–3 September 1999, ASP Conference Series, 579–584, (Astronomical Society of the Pacific, San Francisco, U.S.A., 2000).Google Scholar
- [146]Kalogera, V., “The Strongly Relativistic Double Pulsar and LISA”, lecture notes, Northwestern University, (2005). URL (cited on 19 July 2005): http://www.astro.northwestern.edu/Vicky/TALKS/LISA_0737.ppt. Invited talk at the 5th International LISA Symposium, ESTEC, Noordwijk, The Netherlands, July 12–15, 2004.Google Scholar
- [147]Kalogera, V., Kim, C., Lorimer, D.R., Burgay, M., D’Amico, N., Possenti, A., Manchester, R.N., Lyne, A.G., Joshi, B.C., McLaughlin, M.A., Kramer, M., Sarkissian, J.M., and Camilo, F., “The Cosmic Coalescence Rates for Double Neutron Star Binaries”, Astrophys. J. Lett., 601, L179–L182, (2004).ADSCrossRefGoogle Scholar
- [148]Kalogera, V., Kim, C., Lorimer, D.R., Burgay, M., D’Amico, N., Possenti, A., Manchester, R.N., Lyne, A.G., Joshi, B.C., McLaughlin, M.A., Kramer, M., Sarkissian, J.M., and Camilo, F., “Erratum: “The Cosmic Coalescence Rates for Double Neutron Star Binaries””, Astrophys. J. Lett., 614, L137–L138, (2004).ADSCrossRefGoogle Scholar
- [149]Kalogera, V., Kim, C., Lorimer, D.R., Ihm, M., and Belczynski, C., “The Galactic formation rate of eccentric neutron star white dwarf binaries”, in Rasio, F.A., and Stairs, I.H., eds., Binary Radio Pulsars, Proceedings of meeting held at the Aspen Center for Physics, USA, 12–16 January 2004, vol. 328 of ASP Conference Series, 261–267, (Astronomical Society of the Pacific, San Francisco, U.S.A., 2005).Google Scholar
- [150]Kalogera, V., and Lorimer, D. R., “An Upper Limit on the Coalescence Rate of Double Neutron-Star Binaries in the Galaxy”, Astrophys. J., 530, 890–895, (2000).ADSCrossRefGoogle Scholar
- [151]Kalogera, V., Narayan, R., Spergel, D.N., and Taylor, J.H., “The Coalescence Rate of Double Neutron Star Systems”, Astrophys. J., 556, 340–356, (2001). Related online version (cited on 19 March 2001): http://arXiv.org/abs/astro-ph/0012038.ADSCrossRefGoogle Scholar
- [152]Kaspi, V.M., Applications of Pulsar Timing, Ph.D. Thesis, (Princeton University, Princeton, U.S.A., 1994).Google Scholar
- [153]Kaspi, V.M., Johnston, S., Bell, J.F., Manchester, R.N., Bailes, M., Bessell, M., Lyne, A.G., and D’Amico, N., “A massive radio pulsar binary in the Small Magellanic Cloud”, Astrophys. J. Lett., 423, L43–L45, (1994).ADSCrossRefGoogle Scholar
- [154]Kaspi, V.M., Lyne, A.G., Manchester, R.N., Crawford, F., Camilo, F., Bell, J.F., D’Amico, N., Stairs, I.H., McKay, N.P.F., Morris, D.J., and Possenti, A., “Discovery of a young radio pulsar in a relativistic binary orbit”, Astrophys. J., 534, 321–327, (2000).ADSCrossRefGoogle Scholar
- [155]Kaspi, V.M., Taylor, J.H., and Ryba, M.F., “High-Precision Timing of Millisecond Pulsars. III. Long-Term Monitoring of PSRs B1855+09 and B1937+21”, Astrophys. J., 428, 713–728, (1994).ADSCrossRefGoogle Scholar
- [156]Kim, C., Kalogera, V., and Lorimer, D.R., “The Probability Distribution of Binary Pulsar Coalescence Rates. I. Double Neutron Star Systems in the Galactic Field”, Astrophys. J., 584, 985–995, (2003).ADSCrossRefGoogle Scholar
- [157]Kim, C., Kalogera, V., Lorimer, D.R., and White, T., “The Probability Distribution of Binary Pulsar Coalescence Rates. II. Neutron Star-White Dwarf Binaries”, Astrophys. J., 616, 1109–1117, (2004).ADSCrossRefGoogle Scholar
- [158]Kluzniak, W., Ruderman, M., Shaham, J., and Tavani, M., “Nature and evolution of the eclipsing millisecond binary pulsar PSR 1957+20”, Nature, 334, 225–227, (1988).ADSCrossRefGoogle Scholar
- [159]Kolonko, M., Gil, J., and Maciesiak, K., “On the pulse-width statistics in radio pulsars”, Astron. Astrophys., 428, 943–951, (2005).ADSCrossRefGoogle Scholar
- [160]Kopeikin, S.M., “Binary pulsars as detectors of ultralow-frequency gravitational waves”, Phys. Rev. D, 56, 4455–4469, (1997).ADSCrossRefGoogle Scholar
- [161]Kramer, M., “Latest timing results for PSR J0737-3039”, personal communication.Google Scholar
- [162]Kramer, M., Backer, D.C., Cordes, J.M., Lazio, T.J.W., Stappers, B.W., and Johnston, S., “Strong-field tests of gravity using pulsars and black holes”, New Astron. Rev., 48, 993–1002, (2004).ADSCrossRefGoogle Scholar
- [163]Kramer, M., Bell, J.F., Manchester, R.N., Lyne, A.G., Camilo, F., Stairs, I.H., D’Amico, N., Kaspi, V.M., Hobbs, G., Morris, D.J., Crawford, F., Possenti, A., Joshi, B.C., McLaughlin, M.A., Lorimer, D.R., and Faulkner, A.J., “The Parkes Multibeam Pulsar Survey — III. Young pulsars and the discovery and timing of 200 pulsars”, Mon. Not. R. Astron. Soc., 342, 1299–1324, (2003).ADSCrossRefGoogle Scholar
- [164]Kramer, M., Xilouris, K.M., Camilo, F., Nice, D.J., Backer, D.C., Lorimer, D.R., Doroshenko, O.V., Lange, C., and Sallmen, S., “Profile Instabilities of the Millisecond Pulsar J1022+1001”, Astrophys. J., 520, 324–334, (1999).ADSCrossRefGoogle Scholar
- [165]Kramer, M., Xilouris, K.M., Lorimer, D.R., Doroshenko, O.V., Jessner, A., Wielebinski, R., Wolszczan, A., and Camilo, F., “The characteristics of millisecond pulsar emission: I. Spectra, pulse shapes and the beaming fraction”, Astrophys. J., 501, 270–285, (1998).ADSCrossRefGoogle Scholar
- [166]Kulkarni, S.R., Anderson, S.B., Prince, T.A., and Wolszczan, A., “Old pulsars in the low-density globular clusters M13 and M53”, Nature, 349, 47–49, (1991).ADSCrossRefGoogle Scholar
- [167]Lange, C., Camilo, F., Wex, N., Kramer, M., Backer, D.C., Lyne, A.G., and Doroshenko, O.V., “Precision timing measurements of PSR J1012+5307”, Mon. Not. R. Astron. Soc., 326, 274–282, (2001).ADSCrossRefGoogle Scholar
- [168]Lattimer, J.M., and Prakash, M., “The Physics of Neutron Stars”, Science, 304, 536–542, (2004).ADSCrossRefGoogle Scholar
- [169]Lawson, K.D., Mayer, C.J., Osborne, J.L., and Parkinson, M.L., “Variations in the Spectral Index of the Galactic Radio Continuum Emission in the Northern Hemisphere”, Mon. Not. R. Astron. Soc., 225, 307–327, (1987).ADSCrossRefGoogle Scholar
- [170]Levinson, A., and Eichler, D., “Can neutron stars ablate their companions?”, Astrophys. J., 379, 359–365, (1991).ADSCrossRefGoogle Scholar
- [171]Lewandowski, W., Wolszczan, A., Feiler, G., Konacki, M., and Soltysinski, T., “Arecibo timing and single-pulse observations of eighteen pulsars”, Astrophys. J., 600, 905–913, (2004).ADSCrossRefGoogle Scholar
- [172]Li, X., “Formation of Mildly Recycled Low-Mass Binary Pulsars from Intermediate-Mass X-Ray Binaries”, Astrophys. J., 564, 930–934, (2002).ADSCrossRefGoogle Scholar
- [173]Lipunov, V.M., Postnov, K.A., and Prokhorov, M.E., “The Scenario Machine: Binary Star Population Synthesis”, Astrophys. Space Phys. Rev., 9, 1–178, (1996). Related online version (cited on 24 October 2005): http://xray.sai.msu.ru/∼mystery/articles/review/.Google Scholar
- [174]Lüohmer, O., Kramer, M., Driebe, T., Jessner, A., Mitra, D., and Lyne, A.G., “The parallax, mass and age of the PSR J2145-0750 binary system”, Astron. Astrophys., 426, 631–640, (2004).ADSCrossRefGoogle Scholar
- [175]Lommen, A.N., “New Limits on Gravitational Radiation using Pulsars”, in Becker, W., Lesch, H., and Truemper, J., eds., Neutron Stars, Pulsars and Supernova Remnants, Proceedings of 270. WE-Heraeus Seminar 21–25 January 2002, Physikzentrum Bad Honnef, Germany, vol. 278 of MPE-Report, 114–125, (Max Planck Institute for Extraterrestrial Physics, Garching, Germany, 2002). Related online version (cited on 24 January 2005): ftp://ftp.xray.mpe.mpg.de/people/web/MPE_Report_278.pdf.Google Scholar
- [176]Lommen, A.N., and Backer, D.C., “Using pulsars to detect massive black hole binaries via gravitational radiation: Sagittarius A* and nearby galaxies”, Astrophys. J., 562, 297–302, (2001).ADSCrossRefGoogle Scholar
- [177]Lommen, A.N., Zepka, A.F., Backer, D.C., McLaughlin, M.A., Cordes, J.M., Arzoumanian, Z., and Xilouris, K.M., “New Pulsars from an Arecibo Drift Scan Search”, Astrophys. J., 545, 1007–1014, (2001).ADSCrossRefGoogle Scholar
- [178]Lorimer, D.R., “Pulsar statistics — II. The local low-mass binary pulsar population”, Mon. Not. R. Astron. Soc., 274, 300–304, (1995).ADSCrossRefGoogle Scholar
- [179]Lorimer, D.R., “Binary and Millisecond Pulsars”, Living Rev. Relativity, 1, lrr-1998-10, (1998). URL (cited on 19 March 2001): http://www.livingreviews.org/lrr-1998-10.
- [180]Lorimer, D.R., “Binary and Millisecond Pulsars”, Living Rev. Relativity, 4, lrr-2001-5, (2001). URL (cited on 22 January 2005): http://www.livingreviews.org/lrr-2001-5.
- [181]Lorimer, D.R., “The Galactic Population and Birth Rate of Radio Pulsars”, in Camilo, F., and Gaensler, B.M., eds., Young neutron stars and their environments, Proceedings of an IAU Symposium on 14–17 July 2003 in Sydney, Australia, vol. 218 of ASP Conference Series, 105, (Astronomical Society of the Pacific, San Francisco, U.S.A., 2004).Google Scholar
- [182]Lorimer, D.R., Bailes, M., Dewey, R.J., and Harrison, P.A., “Pulsar statistics: the birthrate and initial spin periods of radio pulsars”, Mon. Not. R. Astron. Soc., 263, 403–415, (1993).ADSCrossRefGoogle Scholar
- [183]Lorimer, D.R., Camilo, F., Freire, P.C.C., Kramer, M., Lyne, A.G., Manchester, R.N., and D’Amico, N., “Millisecond radio pulsars in 47 Tucanae”, in Bailes, M., Nice, D.J., and Thorsett, S.E., eds., Radio Pulsars, Proceedings of meeting held at Mediterranean Agonomic Institute of Chania, Crete, Greece, 26–29 August 2002, vol. 302 of ASP Conference Series, 363–366, (Astronomical Society of the Pacific, San Fransisco, U.S.A., 2003).Google Scholar
- [184]Lorimer, D.R., and Freire, P.C.C., “Long-period binaries and the strong equivalence principle”, in Rasio, F.A., and Stairs, I.H., eds., Binary Radio Pulsars, Proceedings of meeting held at the Aspen Center for Physics, USA, 12–16 January 2004, vol. 328 of ASP Conference Series, 19–24, (Astronomical Society of the Pacific, San Francisco, U.S.A., 2005).Google Scholar
- [185]Lorimer, D.R., and Kramer, M., Handbook of Pulsar Astronomy, vol. 4 of Cambridge Observing Handbooks for Research Astronomers, (Cambridge University Press, Cambridge, U.K.; New York, U.S.A, 2005), 1st edition.Google Scholar
- [186]Lorimer, D.R., and Kramer, M., Handbook of Pulsar Astronomy, vol. 4 of Cambridge Observing Handbooks for Research Astronomers, (Cambridge University Press, Cambridge, U.K.; New York, U.S.A., 2005). Related online version (cited on 18 January 2005): http://www.jb.man.ac.uk/pulsarhandbook.Google Scholar
- [187]Lorimer, D.R., Lyne, A.G., Bailes, M., Manchester, R.N., D’Amico, N., Stappers, B.W., Johnston, S., and Camilo, F., “Discovery of four binary millisecond pulsars”, Mon. Not. R. Astron. Soc., 283, 1383–1387, (1996).ADSCrossRefGoogle Scholar
- [188]Lorimer, D.R., McLaughlin, M.A., Arzoumanian, Z., Xilouris, K.M., Cordes, J.M., Lommen, A.N., Fruchter, A.S., Chandler, A.M., and Backer, D.C., “PSR J0609+2130: a disrupted binary pulsar?”, Mon. Not. R. Astron. Soc., 347, L21–L25, (2004).ADSCrossRefGoogle Scholar
- [189]Lorimer, D.R., Nicastro, L., Lyne, A.G., Bailes, M., Manchester, R.N., Johnston, S., Bell, J.F., D’Amico, N., and Harrison, P.A., “Four new millisecond pulsars in the Galactic disk”, Astrophys. J., 439, 933–938, (1995).ADSCrossRefGoogle Scholar
- [190]Lorimer, D.R., Xilouris, K.M., Fruchter, A.S., Stairs, I.H., Camilo, F., McLaughlin, M.A., Vazquez, A.M., Eder, J.E., Roberts, M.S.E., Hessels, J.W.T., and Ransom, S.M., “Discovery of 10 pulsars in an Arecibo drift-scan survey”, Mon. Not. R. Astron. Soc., 359, 1524–1530, (2005). Related online version (cited on 19 July 2005): http://arXiv.org/abs/astro-ph/0504019.ADSCrossRefGoogle Scholar
- [191]Lorimer, D.R., Yates, J.A., Lyne, A.G., and Gould, D.M., “Multifrequency Flux density measurements of 280 pulsars”, Mon. Not. R. Astron. Soc., 273, 411–421, (1995).ADSCrossRefGoogle Scholar
- [192]Lundgren, S.C., Zepka, A.F., and Cordes, J.M., “A millisecond pulsar in a six hour orbit: PSR J0751+1807”, Astrophys. J., 453, 419–423, (1995).ADSCrossRefGoogle Scholar
- [193]Lyne, A.G., “Binary Pulsar Discoveries in the Parkes Multibeam Survey”, in Rasio, F.A., and Stairs, I.H., eds., Binary Radio Pulsars, Proceedings of meeting held at the Aspen Center for Physics, USA, 12 Janaury–16 January 2004, vol. 328 of ASP Conference Series, 37–41, (Astronomical Society of the Pacific, San Francisco, U.S.A., 2005).Google Scholar
- [194]Lyne, A.G., Anderson, B., and Salter, M.J., “The Proper Motions of 26 Pulsars”, Mon. Not. R. Astron. Soc., 201, 503–520, (1982).ADSCrossRefGoogle Scholar
- [195]Lyne, A.G., and Bailes, M., “The mass of the PSR 2303+46 system”, Mon. Not. R. Astron. Soc., 246, 15P–17P, (1990).ADSGoogle Scholar
- [196]Lyne, A.G., Biggs, J.D., Harrison, P.A., and Bailes, M., “A long-period globular-cluster pulsar in an eclipsing binary system”, Nature, 361, 47–49, (1993).ADSCrossRefGoogle Scholar
- [197]Lyne, A.G., Brinklow, A., Middleditch, J., Kulkarni, S.R., Backer, D.C., and Clifton, T.R., “The discovery of a millisecond pulsar in the globular cluster M28”, Nature, 328, 399–401, (1987).ADSCrossRefGoogle Scholar
- [198]Lyne, A.G., Burgay, M., Kramer, M., Possenti, A., Manchester, R.N., Camilo, F., McLaughlin, M., Lorimer, D.R., Joshi, B.C., Reynolds, J.E., and Freire, P.C.C., “A Double-Pulsar System: A Rare Laboratory for Relativistic Gravity and Plasma Physics”, Science, 303, 1153–1157, (2004).ADSCrossRefGoogle Scholar
- [199]Lyne, A.G., Camilo, F., Manchester, R.N., Bell, J.F., Kaspi, V.M., D’Amico, N., McKay, N.P.F., Crawford, F., Morris, D.J., Sheppard, D.C., and Stairs, I.H., “The Parkes multibeam survey: PSR J1811-1736 — a pulsar in a highly eccentric binary system”, Mon. Not. R. Astron. Soc., 312, 698–702, (2000).ADSCrossRefGoogle Scholar
- [200]Lyne, A.G., and Graham-Smith, F., Pulsar Astronomy, Cambridge Astrophysics Series, (Cambridge University Press, Cambridge, U.K.; New York, U.S.A, 2006), 3rd edition. in press.Google Scholar
- [201]Lyne, A.G., and Lorimer, D.R., “High birth velocities of radio pulsars”, Nature, 369, 127–129, (1994).ADSCrossRefGoogle Scholar
- [202]Lyne, A.G., and Manchester, R.N., “The shape of pulsar radio beams”, Mon. Not. R. Astron. Soc., 234, 477–508, (1988).ADSCrossRefGoogle Scholar
- [203]Lyne, A.G., Manchester, R.N., and D’Amico, N., “PSR B1745-20 and young pulsars in globular clusters”, Astrophys. J. Lett., 460, L41–L44, (1996).ADSCrossRefGoogle Scholar
- [204]Lyne, A.G., Manchester, R.N., D’Amico, N., Staveley-Smith, L., Johnston, S., Lim, J., Fruchter, A.S., Goss, W.M., and Frail, D.A., “An eclipsing millisecond pulsar in the globular cluster Terzan 5”, Nature, 347, 650–652, (1990).ADSCrossRefGoogle Scholar
- [205]Lyne, A.G., Manchester, R.N., Lorimer, D.R., Bailes, M., D’Amico, N., Tauris, T.M., Johnston, S., Bell, J.F., and Nicastro, L., “The Parkes Southern Pulsar Survey — II. Final Results and Population Analysis”, Mon. Not. R. Astron. Soc., 295, 743–755, (1998).ADSCrossRefGoogle Scholar
- [206]Lyne, A.G., Mankelow, S.H., Bell, J.F., and Manchester, R.N., “Radio pulsars in Terzan 5”, Mon. Not. R. Astron. Soc., 316, 491–493, (2000).ADSCrossRefGoogle Scholar
- [207]Lyne, A.G., and McKenna, J., “PSR 1820-11: a binary pulsar in a wide and highly eccentric orbit”, Nature, 340, 367–369, (1989).ADSCrossRefGoogle Scholar
- [208]Manchester, R.N., Hobbs, G.B., Teoh, A., and Hobbs, M., “The ATNF Pulsar Catalogue”, (2004). URL (cited on 22 January 2005): http://arXiv.org/abs/astro-ph/0412641.
- [209]Manchester, R.N., and Lyne, A.G., “Pulsar Interpulses — two poles or one?”, Mon. Not. R. Astron. Soc., 181, 761–767, (1977).ADSCrossRefGoogle Scholar
- [210]Manchester, R.N., Lyne, A.G., Camilo, F., Bell, J.F., Kaspi, V.M., D’Amico, N., McKay, N.P.F., Crawford, F., Stairs, I.H., Possenti, A., Morris, D.J., and Sheppard, D.C., “The Parkes multi-beam pulsar survey — I. Observing and data analysis systems, discovery and timing of 100 pulsars”, Mon. Not. R. Astron. Soc., 328, 17–35, (2001).ADSCrossRefGoogle Scholar
- [211]Manchester, R.N., Lyne, A.G., D’Amico, N., Bailes, M., Johnston, S., Lorimer, D.R., Harrison, P.A., Nicastro, L., and Bell, J.F., “The Parkes Southern Pulsar Survey I. Observing and data analysis systems and initial results”, Mon. Not. R. Astron. Soc., 279, 1235–1250, (1996).ADSCrossRefGoogle Scholar
- [212]Manchester, R.N., Newton, L.M., Cooke, D.J., and Lyne, A.G., “Detection of a pulsar in a long-period binary system”, Astrophys. J. Lett., 236, L25–L27, (1980).ADSCrossRefGoogle Scholar
- [213]Manchester, R.N., and Taylor, J.H., “Period irregularities in pulsars”, Astrophys. J. Lett., 191, L63–L65, (1974).ADSCrossRefGoogle Scholar
- [214]Matsakis, D.N., Taylor, J.H., Eubanks, T.M., and Marshall, T., “A statistic for describing pulsar and clock stabilities”, Astron. Astrophys., 326, 924–928, (1997).ADSGoogle Scholar
- [215]Max Planck Institute for Radio Astronomy, “MPIfR Pulsar Group”, project homepage, (1999). URL (cited on 20 March 2001): http://www.mpifr-bonn.mpg.de/div/pulsar/.
- [216]McLaughlin, M.A., Kramer, M., Lyne, A.G., Lorimer, D.R., Stairs, I.H., Possenti, A., Manchester, R.N., Freire, P.C.C., Joshi, B.C., Burgay, M., Camilo, F., and D’Amico, N., “The double pulsar system J0737-3039: Modulation of the radio emission from B by the radiation from A”, Astrophys. J. Lett., 613, L57–L60, (2004).ADSCrossRefGoogle Scholar
- [217]McLaughlin, M.A., Lorimer, D.R., Champion, D.J., Arzoumanian, Z., Backer, D.C., Cordes, J.M., Fruchter, A.S., Lommen, A.N., and Xilouris, K.M., “New Binary and Millisecond Pulsars from Arecibo Drift-Scan Searches”, in Rasio, F.A., and Stairs, I.H., eds., Binary Radio Pulsars, Proceedings of meeting held at the Aspen Center for Physics, USA, 12 Janaury–16 January 2004, vol. 328 of ASP Conference Series, 43–49, (Astronomical Society of the Pacific, San Francisco, U.S.A., 2005).Google Scholar
- [218]Michel, F.C., Theory of Neutron Star Magnetospheres, Theoretical Astrophysics, (University of Chicago Press, Chicago, U.S.A., 1991).Google Scholar
- [219]Middleditch, J., and Kristian, J., “A search for young, luminous optical pulsars in extra-galactic supernova remnants”, Astrophys. J., 279, 157–161, (1984).ADSCrossRefGoogle Scholar
- [220]Morgan, E., Kaaret, P., and Vanderspek, R., “HETE J1900.1-2455 is a millisecond pulsar”, Astron. Telegram, 2005(523), (June, 2005). URL (cited on 19 July 2005): http://www.astronomerstelegram.org/?read=523.
- [221]Morris, D.J., Hobbs, G., Lyne, A.G., Stairs, I.H., Camilo, F., Manchester, R.N., Possenti, A., Bell, J.F., Kaspi, V.M., D’Amico, N., McKay, N.P.F., Crawford, F., and Kramer, M., “The Parkes Multibeam Pulsar Survey — II. Discovery and timing of 120 pulsars”, Mon. Not. R. Astron. Soc., 335, 275–290, (2002).ADSCrossRefGoogle Scholar
- [222]Narayan, R., “The birthrate and initial spin period of single radio pulsars”, Astrophys. J., 319, 162–179, (1987).ADSCrossRefGoogle Scholar
- [223]Narayan, R., and Vivekanand, M., “Evidence for evolving elongated Pulsar Beams”, Astron. Astrophys., 122, 45–53, (1983).ADSGoogle Scholar
- [224]NASA/ESA, “Laser Interferometer Space Antenna”, project homepage, (2005). URL (cited on 24 January 2005): http://lisa.jpl.nasa.gov.
- [225]National Astronomical Observatory, “TAMA project”, project homepage, (2005). URL (cited on 29 January 2005): http://tamago.mtk.nao.ac.jp.
- [226]National Astronomy and Ionosphere Center, “Pulsars at the Arecibo Observatory”, project homepage, (1999). URL (cited on 7 December 2000): http://www.naic.edu/∼pulsar.
- [227]National Astronomy and Ionosphere Center, “Arecibo L-band feed array”, project homepage, (2005). URL (cited on 23 January 2005): http://alfa.naic.edu.
- [228]National Astronomy and Ionosphere Center, “The Arecibo Observatory”, project homepage, (2005). URL (cited on 29 January 2005): http://www.naic.edu.
- [229]National Astronomy and Ionosphere Center, “Preliminary PALFA survey”, project homepage, (2005). URL (cited on 23 January 2005): http://www.naic.edu/∼palfa.
- [230]National Astronomy and Ionospheric Center, “Pulsars in globular clusters”, web interface to database, (2005). URL (cited on 18 January 2005): http://www.naic.edu/∼pfreire/GCpsr.html.
- [231]National Centre for Radio Astonomy, “The Giant Metre Wave Radio Telescope”, project homepage, (2005). URL (cited on 23 January 2005): http://www.gmrt.ncra.tifr.res.in
- [232]National Radio Astronomy Observatory, “The Green Bank Telescope”, project homepage, (2005). URL (cited on 23 January 2005): http://www.gb.nrao.edu.
- [233]National Radio Astronomy Observatory, “Scott Ransom’s home page”, personal homepage, (2005). URL (cited on 7 November 2005): http://www.cv.nrao.edu/∼sransom.
- [234]Navarro, J., Anderson, S.B., and Freire, P.C.C., “The Arecibo 430 MHz Intermediate Galactic Latitude Survey: Discovery of Nine Radio Pulsars”, Astrophys. J., 594, 943–951, (2003).ADSCrossRefGoogle Scholar
- [235]Navarro, J., de Bruyn, A.G., Frail, D.A., Kulkarni, S.R., and Lyne, A.G., “A very luminous binary millisecond pulsar”, Astrophys. J. Lett., 455, L55–L58, (1995).ADSCrossRefGoogle Scholar
- [236]Nicastro, L., Lyne, A.G., Lorimer, D.R., Harrison, P.A., Bailes, M., and Skidmore, B.D., “PSR J1012+5307: a 5.26-ms pulsar in a 14.5-h binary system”, Mon. Not. R. Astron. Soc., 273, L68–L70, (1995).ADSCrossRefGoogle Scholar
- [237]Nice, D.J., Sayer, R.W., and Taylor, J.H., “PSR J 1518+4904: A Mildly Relativistic Binary Pulsar System”, Astrophys. J. Lett., 466, L87–L90, (1996).ADSCrossRefGoogle Scholar
- [238]Nice, D.J., Sayer, R.W., and Taylor, J.H., “Timing Observations of the J1518+4904 Double Neutron Star System”, in Arzoumanian, Z., van derHooft, F., and van den Heuvel, E.P.J., eds., Pulsar Timing, General Relativity, and the Internal Structure of Neutron Stars, Proceedings of the colloquium, Amsterdam, 24–27 September 1996, 79–83, (Royal Netherlands Academy of Arts and Sciences, Amsterdam, Netherlands, 1999).Google Scholar
- [239]Nice, D.J., Splaver, E.M., and Stairs, I.H., “On the Mass and Inclination of the PSR J2019+2425 Binary System”, Astrophys. J., 549, 516–521, (2001).ADSCrossRefGoogle Scholar
- [240]Nice, D.J., and Taylor, J.H., “PSRs J2019+2425 and J2322+2057 and the Proper Motions of Millisecond Pulsars”, Astrophys. J., 441, 429–435, (1995).ADSCrossRefGoogle Scholar
- [241]Ord, S.M., Bailes, M., and van Straten, W., “The Scintillation Velocity of the Relativistic Binary Pulsar PSR J1141-6545”, Astrophys. J. Lett., 574, L75–L78, (2002).ADSCrossRefGoogle Scholar
- [242]Pacini, F., “Rotating neutron stars, pulsars, and supernova remnants”, Nature, 219, 145–146, (1968).ADSCrossRefGoogle Scholar
- [243]Peebles, P.J.E., Principles of Physical Cosmology, Princeton Series in Physics, (Princeton University Press, Princeton, U.S.A., 1993).Google Scholar
- [244]Penn State University, “Pulsar Planets”, personal homepage, (2001). URL (cited on 19 March 2001): http://www.astro.psu.edu/users/alex/pulsar_planets.htm.
- [245]Peters, P.C., “Gravitational Radiation and the Motion of Two Point Masses”, Phys. Rev., 136, B1224–B1232, (1964).ADSMATHCrossRefGoogle Scholar
- [246]Peters, P.C., and Mathews, J., “Gravitational Radiation from Point Masses in a Keplerian Orbit”, Phys. Rev., 131, 435–440, (1963).ADSMathSciNetMATHCrossRefGoogle Scholar
- [247]Pfahl, E., and Loeb, A., “Probing the Spacetime Around Sgr A* with Radio Pulsars”, Astrophys. J., 615, 253–258, (2004).ADSCrossRefGoogle Scholar
- [248]Phinney, E.S., “The rate of neutron star binary mergers in the universe: Minimal predictions for gravity wave detectors”, Astrophys. J. Lett., 380, L17–L21, (1991).ADSCrossRefGoogle Scholar
- [249]Phinney, E.S., “Pulsars as Probes of Newtonian Dynamical Systems”, Philos. Trans. R. Soc. London, 341, 39–75, (1992).ADSCrossRefGoogle Scholar
- [250]Phinney, E.S., and Blandford, R.D., “Analysis of the Pulsar P−Ṗ distribution”, Mon. Not. R. Astron. Soc., 194, 137–148, (1981).ADSCrossRefGoogle Scholar
- [251]Phinney, E.S., and Kulkarni, S.R., “Binary and millisecond pulsars”, Annu. Rev. Astron. Astrophys., 32, 591–639, (1994).ADSCrossRefGoogle Scholar
- [252]Phinney, E.S., and Sigurdsson, S., “Ejection of pulsars and binaries to the outskirts of globular clusters”, Nature, 349, 220–223, (1991).ADSCrossRefGoogle Scholar
- [253]Phinney, E.S., and Verbunt, F., “Binary pulsars before spin-up and PSR 1820-11”, Mon. Not. R. Astron. Soc., 248, 21P–23P, (1991).ADSCrossRefGoogle Scholar
- [254]Portegies Zwart, S.F., and Verbunt, F., “Population synthesis of high-mass binaries”, Astron. Astrophys., 309, 179, (1996).ADSGoogle Scholar
- [255]Possenti, A., D’Amico, N., Conongiu, A., Manchester, R.N., Sarkissian, J.M., Camilo, F., and Lyne, A.G., “A dozen new pulsars from the Parkes globular cluster search”, in Rasio, F.A., and Stairs, I.H., eds., Binary Radio Pulsars, Proceedings of meeting held at the Aspen Center for Physics, USA, 12–16 January 2004, vol. 328 of ASP Conference Series, 189–194, (Astronomical Society of the Pacific, San Francisco, U.S.A., 2005).Google Scholar
- [256]Possenti, A., D’Amico, N., Manchester, R.N., Camilo, F., Lyne, A.G., Sarkissian, J., and Corongiu, A., “Three Binary Millisecond Pulsars in NGC 6266”, Astrophys. J., 599, 475–484, (2003).ADSCrossRefGoogle Scholar
- [257]Prince, T.A., Anderson, S.B., Kulkarni, S.R., and Wolszczan, A., “Timing observations of the 8 hour binary pulsar 2127+11C in the globular cluster M15”, Astrophys. J. Lett., 374, L41–L44, (1991).ADSCrossRefGoogle Scholar
- [258]Princeton University, “Princeton Pulsar Group”, project homepage, (1995). URL (cited on 20 March 2001): http://pulsar.princeton.edu/.
- [259]Pulsar Group of the Australia Telescope National Facility (ATNF), “Parkes Multibeam Pulsar Survey”, project homepage, (2000). URL (cited on 2 December 2000): http://www.atnf.csiro.au/research/pulsar/pmsurv/.
- [260]Rajagopal, M., and Romani, R.W., “Ultra-low-frequency gravitatational radiation from massive black hole binaries”, Astrophys. J., 446, 543–549, (1995).ADSCrossRefGoogle Scholar
- [261]Rankin, J.M., “Toward an empirical theory of pulsar emission. I. Morphological taxonomy”, Astrophys. J., 274, 333–358, (1983).ADSCrossRefGoogle Scholar
- [262]Ransom, S.M., New search techniques for binary pulsars, Ph.D. Thesis, (Harvard University, Harvard, U.S.A., 2001).Google Scholar
- [263]Ransom, S.M., Cordes, J.M., and Eikenberry, S.S., “A New Search Technique for Short Orbital Period Binary Pulsars”, Astrophys. J. Lett., 589, 911–920, (2003).ADSCrossRefGoogle Scholar
- [264]Ransom, S.M., Greenhill, L., Herrnstein, J.R., Manchester, R.N., Camilo, F., Eikenberry, S.S., and Lyne, A.G., “A Binary Millisecond Pulsar in Globular Cluster NGC 6544”, Astrophys. J. Lett., 546, L25–L28, (2001).ADSCrossRefGoogle Scholar
- [265]Ransom, S.M., Hessels, J.H., Stairs, I.H., Kaspi, V.M., and Backer, D.C., “A 20-cm survey for pulsars in globular clusters using the GBT and Arecibo”, in Rasio, F.A., and Stairs, I.H., eds., Binary Radio Pulsars, Proceedings of meeting held at the Aspen Center for Physics, USA, 12–16 January 2004, vol. 328 of ASP Conference Series, 199–205, (Astronomical Society of the Pacific, San Francisco, U.S.A., 2005).Google Scholar
- [266]Ransom, S.M., Hessels, J.W.T., Stairs, I.H., Freire, P.C.C., Kaspi, V.M., Camilo, F., and Kaplan, D.L., “Twenty-One Millisecond Pulsars in Terzan 5 Using the Green Bank Telescope”, Science, 307(5711), 892–896, (2005).ADSCrossRefGoogle Scholar
- [267]Ransom, S.M., Stairs, I.H., Backer, D.C., Greenhill, L.J., Bassa, C.G., Hessels, J.W.T., and Kaspi, V.M., “GBT Discovery of Two Binary Millisecond Pulsars in the Globular Cluster M30”, Astrophys. J., 604, 328, (2004).ADSCrossRefGoogle Scholar
- [268]Ratnatunga, K.U., and van den Bergh, S., “The rate of stellar collapses in the galaxy”, Astrophys. J., 343, 713–717, (1989).ADSCrossRefGoogle Scholar
- [269]Ray, P.S., Thorsett, S.E., Jenet, F.A., van Kerkwijk, M.H., Kulkarni, S.R., Prince, T.A., Sandhu, J.S., and Nice, D.J., “A Survey for Millisecond Pulsars”, Astrophys. J., 470, 1103–1110, (1996).ADSCrossRefGoogle Scholar
- [270]Richards, D.W., and Comella, J.M., “The period of pulsar NP 0532”, Nature, 222, 551–552, (1969).ADSCrossRefGoogle Scholar
- [271]Romani, R.W., “Timing a millisecond pulsar array”, in Ögelman, H., and van den Heuvel, E.P.J., eds., Timing Neutron Stars, Proceedings of the NATO Advanced Study Institute on Timing Neutron Stars, Çesme, Izmir, Turkey, 4–15 April 1988, vol. 262 of NATO ASI Series, Series C, 113–117, (Kluwer, Dordrecht, Netherlands; Boston, U.S.A., 1989).CrossRefGoogle Scholar
- [272]Romani, R.W., “Populations of low-mass black hole binaries”, Astrophys. J., 399, 621–626, (1992).ADSCrossRefGoogle Scholar
- [273]Romani, R.W., and Taylor, J.H., “An Upper Limit on the Stochastic Background of Ultralow-Frequency Gravitational Waves”, Astrophys. J. Lett., 265, L35–L37, (1983).ADSCrossRefGoogle Scholar
- [274]Ryba, M.F., and Taylor, J.H., “High Precision Timing of Millisecond Pulsars. I. Astrometry and Masses of the PSR 1855+09 System”, Astrophys. J., 371, 739–748, (1991).ADSCrossRefGoogle Scholar
- [275]Ryba, M.F., and Taylor, J.H., “High Precision Timing of Millisecond Pulsars. II. Astrometry, Orbital Evolution, and Eclipses of PSR 1957+20”, Astrophys. J., 380, 557–563, (1991).ADSCrossRefGoogle Scholar
- [276]Sandhu, J.S., Bailes, M., Manchester, R.N., Navarro, J., Kulkarni, S.R., and Anderson, S.B., “The Proper Motion and Parallax of PSR J0437-4715”, Astrophys. J. Lett., 478, L95–L98, (1997).ADSCrossRefGoogle Scholar
- [277]Sazhin, M.V., “Opportunities for detecting ultralong gravitational waves”, Sov. Astron., 22, 36–38, (1978).ADSGoogle Scholar
- [278]Scheuer, P.A.G., “Amplitude variations of pulsed radio sources”, Nature, 218, 920–922, (1968).ADSCrossRefGoogle Scholar
- [279]Segelstein, D.J., Rawley, L.A., Stinebring, D.R., Fruchter, A.S., and Taylor, J.H., “New millisecond pulsar in a binary system”, Nature, 322, 714–717, (1986).ADSCrossRefGoogle Scholar
- [280]Seiradakis, J.H., and Wielebinski, R., “Morphology and characteristics of radio pulsars”, Astron. Astrophys. Rev., 12, 239–271, (2004).ADSCrossRefGoogle Scholar
- [281]Shemar, S.L., and Lyne, A.G., “Observations of pulsar glitches”, Mon. Not. R. Astron. Soc., 282, 677–690, (1996).ADSCrossRefGoogle Scholar
- [282]Shklovskii, I.S., “Possible causes of the secular increase in pulsar periods”, Sov. Astron., 13, 562–565, (1970).ADSGoogle Scholar
- [283]Sigurdsson, S., and Phinney, E.S., “Dynamics and interactions of binaries and neutron stars in globular clusters”, Astrophys. J. Suppl. Ser., 99, 609–635, (1995).ADSCrossRefGoogle Scholar
- [284]Sigurdsson, S., Richer, H.B., Hansen, B.M., Stairs, I.H., and Thorsett, S.E., “A Young White Dwarf Companion to Pulsar B1620-26: Evidence for Early Planet Formation”, Science, 301, 193–196, (2003).ADSCrossRefGoogle Scholar
- [285]Smarr, L.L., and Blandford, R.D., “The binary pulsar: Physical processes, possible companions and evolutionary histories”, Astrophys. J., 207, 574–588, (1976).ADSCrossRefGoogle Scholar
- [286]Smith, F.G., “The radio emission from pulsars”, Rep. Prog. Phys., 66, 173–238, (2003).ADSCrossRefGoogle Scholar
- [287]Splaver, E.M., Nice, D.J., Stairs, I.H., Lommen, A.N., and Backer, D.C., “Masses, Parallax, and Relativistic Timing of the PSR J1713+0747 Binary System”, Astrophys. J., 620, 405–415, (2005).ADSCrossRefGoogle Scholar
- [288]Stairs, I. H., “Overview of Pulsar Tests of General Relativity”, in Rasio, F.A., and Stairs, I.H., eds., Binary Radio Pulsars, Proceedings of meeting held at the Aspen Center for Physics, USA, 12–16 January 2004, vol. 328 of ASP Conference Series, 3–18, (Astronomical Society of the Pacific, San Francisco, U.S.A., 2005).Google Scholar
- [289]Stairs, I.H., “Prospects of measuring trigonometric parallax for PSR B1534+12”, personal communication.Google Scholar
- [290]Stairs, I.H., Observations of Binary and Millisecond Pulsars with a Baseband Recording System, Ph.D. Thesis, (Princeton University, Princeton, U.S.A., 1998).Google Scholar
- [291]Stairs, I.H., “Testing General Relativity with Pulsar Timing”, Living Rev. Relativity, 6, lrr-2003-5, (2003). URL (cited on 22 January 2005): http://www.livingreviews.org/lrr-2003-5.
- [292]Stairs, I.H., “Pulsars in Binary Systems: Probing Binary Stellar Evolution and General Relativity”, Science, 304, 547–552, (2004).ADSCrossRefGoogle Scholar
- [293]Stairs, I.H., Arzoumanian, Z., Camilo, F., Lyne, A.G., Nice, D.J., Taylor, J.H., Thorsett, S.E., and Wolszczan, A., “Measurement of Relativistic Orbital Decay in the PSR B1534+12 Binary System”, Astrophys. J., 505, 352–357, (1998).ADSCrossRefGoogle Scholar
- [294]Stairs, I.H., Faulkner, A.J., Lyne, A.G., Kramer, M., Lorimer, D.R., McLaughlin, M.A., Manchester, R.N., Hobbs, G.B., Camilo, F., Possenti, A., Burgay, M., D’Amico, N., Freire, P.C.C., and Gregory, P.C., “Discovery of three wide-orbit binary pulsars”, Astrophys. J., submitted, (2005).Google Scholar
- [295]Stairs, I.H., Manchester, R.N., Lyne, A.G., Kaspi, V.M., Camilo, F., Bell, J.F., D’Amico, N., Kramer, M., Crawford, F., Morris, D.J., McKay, N.P.F., Lumsden, S.L., Tacconi-Garman, L.E., Cannon, R.D., Hambly, N.C., and Wood, P.R., “PSR J1740-3052: a pulsar with a massive companion”, Mon. Not. R. Astron. Soc., 325, 979–988, (2001).ADSCrossRefGoogle Scholar
- [296]Stairs, I.H., Manchester, R.N., Lyne, A.G., Kramer, M., Kaspi, V.M., Camilo, F., and D’Amico, N., “The massive binary pulsar J1740-3052”, in Bailes, M., Nice, D.J., and Thorsett, S.E., eds., Radio Pulsars, Proceedings of meeting held at Mediterranean Agonomic Institute of Chania, Crete, Greece, 26–29 August 2002, vol. 302 of ASP Conference Series, 85–88, (Astronomical Society of the Pacific, San Fransisco, U.S.A., 2003).Google Scholar
- [297]Stairs, I.H., Splaver, E.M., Thorsett, S.E., Nice, D.J., and Taylor, J.H., “A Baseband Recorder for Radio Pulsar Observations”, Mon. Not. R. Astron. Soc., 314, 459–467, (2000). Related online version (cited on 19 March 2001): http://arXiv.org/abs/astro-ph/9912272.ADSCrossRefGoogle Scholar
- [298]Stairs, I.H., Thorsett, S.E., Taylor, J.H., and Wolszczan, A., “Studies of the Relativistic Binary Pulsar PSR B 1534+12: I. Timing Analysis”, Astrophys. J., 581, 501–508, (2002).ADSCrossRefGoogle Scholar
- [299]Standish, E.M., and Newhall, X.X., “New accuracy levels for solar system ephemerides. (Lecture)”, in Ferraz-Mello, S., Morando, B., and Arlot, J.-E., eds., Dynamics, Ephemerides, and Astrometry of the Solar System, Proceedings of the 172nd Symposium of the International Astronomical Union, held in Paris, France, 3–8 July, 1995, 29, (Kluwer, Dordrecht, Netherlands; Boston, U.S.A., 1996).Google Scholar
- [300]Stappers, B.W., Bailes, M., Lyne, A.G., Manchester, R.N., D’Amico, N., Tauris, T.M., Lorimer, D.R., Johnston, S., and Sandhu, J.S., “Probing the Eclipse Region of a Binary Millisecond Pulsar”, Astrophys. J. Lett., 465, L119–L122, (1996).ADSCrossRefGoogle Scholar
- [301]Stella, L., Priedhorsky, W., and White, N.E., “The discovery of a 685 second orbital period from the X-ray source 4U 1820–30 in the globular cluster NGC 6624”, Astrophys. J. Lett., 312, L17–L21, (1987).ADSCrossRefGoogle Scholar
- [302]Sternberg Astronomical Institute, Moscow State University, “Scenario Machine Engine”, project homepage, (2001). URL (cited on 19 March 2001): http://xray.sai.msu.ru/sciwork/scenario.html.
- [303]Stinebring, D.R., Ryba, M.F., Taylor, J.H., and Romani, R.W., “Cosmic Gravitational-Wave Background: Limits from Millisecond Pulsar Timing”, Phys. Rev. Lett., 65, 285–288, (1990).ADSCrossRefGoogle Scholar
- [304]Sudou, H., Iguchi, S., Murata, Y., and Yoshiaki, T., “Orbital motion in the radio galaxy 3C 66B: evidence for a supermassive black hole binary”, Science, 300, 1263–1265, (2003).ADSCrossRefGoogle Scholar
- [305]Swinburne University of Technology, “Centre for Astrophysics and Supercomputing”, institutional homepage, (2000). URL (cited on 8 December 2000): http://astronomy.swin.edu.au.
- [306]Tauris, T.M., and Manchester, R.N., “On the evolution of pulsar beams”, Mon. Not. R. Astron. Soc., 298, 625–636, (1998).ADSCrossRefGoogle Scholar
- [307]Tauris, T.M., and Savonije, G.J., “Formation of millisecond pulsars. I. Evolution of low-mass X-ray binaries with Porb > 2 days”, Astron. Astrophys., 350, 928–944, (1999).ADSGoogle Scholar
- [308]Taylor, J.H., “Millisecond Pulsars: Nature’s Most Stable Clocks”, Proc. IEEE, 79, 1054–1062, (1991).ADSCrossRefGoogle Scholar
- [309]Taylor, J.H., “Binary Pulsars and Relativistic Gravity”, Rev. Mod. Phys., 66, 711–719, (1994).ADSCrossRefGoogle Scholar
- [310]Taylor, J.H., and Cordes, J.M., “Pulsar Distances and the Galactic Distribution of Free Electrons”, Astrophys. J., 411, 674–684, (1993).ADSCrossRefGoogle Scholar
- [311]Taylor, J.H., and Manchester, R.N., “Galactic distribution and evolution of pulsars”, Astrophys. J., 215, 885–896, (1977).ADSCrossRefGoogle Scholar
- [312]Taylor, J.H., and Weisberg, J.M., “A New Test of General Relativity: Gravitational Radiation and the Binary Pulsar PSR 1913+16”, Astrophys. J., 253, 908–920, (1982).ADSCrossRefGoogle Scholar
- [313]Taylor, J.H., and Weisberg, J.M., “Further experimental tests of relativistic gravity using the binary pulsar PSR 1913+16”, Astrophys. J., 345, 434–450, (1989).ADSCrossRefGoogle Scholar
- [314]The Nobel Foundation, “The Nobel Prize in Physics 1993”, institutional homepage, (June, 2000). URL (cited on 19 March 2001): http://www.nobel.se/physics/laureates/1993.
- [315]Thorsett, S.E., Arzoumanian, Z., Camilo, F., and Lyne, A.G., “The Triple Pulsar System PSR B1620-26 in M4”, Astrophys. J., 523, 763–770, (1999).ADSCrossRefGoogle Scholar
- [316]Thorsett, S.E., Arzoumanian, Z., McKinnon, M.M., and Taylor, J.H., “The Masses of Two Binary Neutron Star Systems”, Astrophys. J. Lett., 405, L29–L32, (1993).ADSCrossRefGoogle Scholar
- [317]Thorsett, S.E., Arzoumanian, Z., and Taylor, J.H., “PSR B1620-26: A binary radio pulsar with a planetary companion?”, Astrophys. J. Lett., 412, L33–L36, (1993).ADSCrossRefGoogle Scholar
- [318]Thorsett, S.E., and Chakrabarty, D., “Neutron Star Mass Measurements. I. Radio Pulsars”, Astrophys. J., 512, 288–299, (1999).ADSCrossRefGoogle Scholar
- [319]Thorsett, S.E., and Dewey, R.J., “Pulsar Timing Limits on Very Low Frequency Stochastic Gravitational Radiation”, Phys. Rev. D, 53, 3468, (1996).ADSCrossRefGoogle Scholar
- [320]Toscano, M., Sandhu, J.S., Bailes, M., Manchester, R.N., Britton, M.C., Kulkarni, S.R., Anderson, S.B., and Stappers, B.W., “Millisecond pulsar velocities”, Mon. Not. R. Astron. Soc., 307, 925–933, (1999).ADSCrossRefGoogle Scholar
- [321]Trimble, V., “Motions and Structure of the Filamentary Envelope of the Crab Nebula”, Astrophys. J., 73, 535–547, (1968).ADSGoogle Scholar
- [322]Tutukov, A.V., and Yungelson, L.R., “The merger rate of neutron star and black hole binaries”, Mon. Not. R. Astron. Soc., 260, 675–678, (1993).ADSCrossRefGoogle Scholar
- [323]University of British Columbia, “Ingrid Stairs / UBC Pulsar Group”, personal homepage, (2005). URL (cited on 22 January 2005): http://www.astro.ubc.ca/people/stairs.
- [324]University of Cagliari, “The Italian Pulsar Group”, project homepage, (2005). URL (cited on 18 January 2005): http://pulsar.ca.astro.it/∼pulsar.
- [325]University of California Berkeley Astronomy Department, “Berkeley Pulsar Group”, project homepage, (2000). URL (cited on 20 March 2001): http://astro.berkeley.edu/∼mpulsar/.
- [326]University of Manchester, “Jodrell Bank Observatory Pulsar Group”, project homepage, (1997). URL (cited on 20 March 2001): http://www.jb.man.ac.uk/∼pulsar/.
- [327]University of Manchester, “The European Pulsar Network Data Archive”, web interface to database, (2005). URL (cited on 17 January 2005): http://www.jb.man.ac.uk/∼pulsar/Resources/epn.
- [328]van den Bergh, S., and Tammann, G.A., “Galactic and Extragalactic Supernova Rates”, Annu. Rev. Astron. Astrophys., 29, 363–407, (1991).ADSCrossRefGoogle Scholar
- [329]van den Heuvel, E.P.J., “The binary pulsar PSR J2145-0750: a system originating from a ow or intermediate mass X-ray binary with a donor star on the asymptotic giant branch?”, Astron. Astrophys., 291, L39–L42, (1994).ADSGoogle Scholar
- [330]van Kerkwijk, M.H., Bassa, C.G., Jacoby, B.A., and Jonker, P.G., “Optical studies of companions to millisecond pulsars”, in Rasio, F.A., and Stairs, I.H., eds., Binary Radio Pulsars, Proceedings of meeting held at the Aspen Center for Physics, USA, 12 Janaury–16 January 2004, vol. 328 of ASP Conference Series, 357–369, (Astronomical Society of the Pacific, San Francisco, U.S.A., 2005).Google Scholar
- [331]van Kerkwijk, M.H., and Kulkarni, S.R., “Spectroscopy of the white-dwarf companions of PSR B 0655+64 and 0820+02”, Astrophys. J. Lett., 454, L141–L144, (1995).ADSGoogle Scholar
- [332]van Kerkwijk, M.H., and Kulkarni, S.R., “A Massive White Dwarf Companion to the Eccentric Binary Pulsar System PSR B2303+46”, Astrophys. J. Lett., 516, L25–L28, (1999).ADSCrossRefGoogle Scholar
- [333]van Straten, W., High-Precision Timing and Polarimetry of PSR J0437-4715, Ph.D. Thesis, (Swinburne University of Technology, Swinburne, Australia, 2003).Google Scholar
- [334]Vivekanand, M., and Narayan, R., “A New Look at Pulsar Statistics — Birthrate and Evidence for Injection”, J. Astrophys. Astron., 2, 315–337, (1981).ADSCrossRefGoogle Scholar
- [335]Weisberg, J.M., “The Galactic Electron Density Distribution”, in Johnston, S., Walker, M.A., and Bailes, M., eds., Pulsars: Problems and Progress (IAU Colloquium 160), Proceedings of the 160th Colloquium of the IAU, held at the Research Centre for Theoretical Astrophysics, University of Sydney, Australia, 8–12 January 1996, vol. 105 of ASP Conference Series, 447–454, (Astronomical Society of the Pacific, San Francisco, U.S.A., 1996).Google Scholar
- [336]Weisberg, J.M., and Taylor, J.H., “The Relativistic Binary Pulsar B1913+16: Thirty Years of Observations and Analysis”, in Rasio, F.A., and Stairs, I.H., eds., Binary Radio Pulsars, Proceedings of meeting held at the Aspen Center for Physics, USA, 12 Janaury–16 January 2004, vol. 328 of ASP Conference Series, 25–31, (Astronomical Society of the Pacific, San Francisco, U.S.A., 2005).Google Scholar
- [337]Wex, N., “The second post-Newtonian motion of compact binary-star systems with spin”, Class. Quantum Grav., 12, 983–1005, (1995).ADSMathSciNetMATHCrossRefGoogle Scholar
- [338]White, N.E., and Zhang, W., “Millisecond X-Ray Pulsars in Low-mass X-ray Binaries”, Astrophys. J. Lett., 490, L87–L90, (1997).ADSCrossRefGoogle Scholar
- [339]Wijnands, R., “Accretion-Driven Millisecond X-ray Pulsars”, in Lowry, J.A., ed., Trends in Pulsar Research, (Nova Science, Hauppauge, U.S.A., 2005). Related online version (cited on 23 January 2005): http://arXiv.org/abs/astro-ph/0501264. in press.Google Scholar
- [340]Wijnands, R., and van der Klis, M., “A millisecond pulsar in an X-ray binary system”, Nature, 394, 344–346, (1998).ADSCrossRefGoogle Scholar
- [341]Will, C.M., “Einstein’s Relativity Put to Nature’s Test: A Centennial Perspective”, lecture notes, American Physical Society, (1999). URL (cited on 8 December 2000): http://www.apscenttalks.org/pres_masterpage.cfm?nameID=99.Google Scholar
- [342]Will, C.M., “The Confrontation between General Relativity and Experiment”, Living Rev. Relativity, 4, lrr-2001-4, (2001). URL (cited on 24 January 2005): http://www.livingreviews.org/lrr-2001-4.
- [343]Wolszczan, A., “A nearby 37.9 ms radio pulsar in a relativistic binary system”, Nature, 350, 688–690, (1991).ADSCrossRefGoogle Scholar
- [344]Wolszczan, A., “Confirmation of Earth-mass planets orbiting the millisecond pulsar PSR 1257+12”, Science, 264, 538–542, (1994).ADSCrossRefGoogle Scholar
- [345]Wolszczan, A., Doroshenko, O.V., Konacki, M., Kramer, M., Jessner, A., Wielebinski, R., Camilo, F., Nice, D.J., and Taylor, J.H., “Timing Observations of Four Millisecond Pulsars with the Arecibo and Effelsberg Radio Telescopes”, Astrophys. J., 528, 907–912, (2000).ADSCrossRefGoogle Scholar
- [346]Wolszczan, A., and Frail, D.A., “A planetary system around the millisecond pulsar PSR 1257+12”, Nature, 355, 145–147, (1992).ADSCrossRefGoogle Scholar
- [347]York, T., Jackson, N., Browne, I.W.A., Wucknitz, O., and Skelton, J.E., “The Hubble constant from the gravitational lens CLASS B0218+357 using the Advanced Camera for Surveys”, Mon. Not. R. Astron. Soc., 357, 124–134, (2005).ADSCrossRefGoogle Scholar





























