Abstract
This paper builds on our previous research and investigates how students’ fractional competence and reasoning can provide clear evidence of non-symbolic algebraic thinking and its progressive transition towards fully generalised algebraic thinking. In a large-scale study, 470 primary students completed a written paper and pencil test. This included three reverse fraction tasks which required students to find an unknown whole when presented with a quantity representing a fraction of that whole. Seventeen students from one participating primary school undertook a semi-structured interview which included reverse fraction tasks, similar to those on the written test, but with progressive levels of abstraction, starting with particular instances and becoming more generalised. Two important products of the study are the Classification Framework for Reverse Fraction Tasks and the Emerging Algebraic Reasoning Framework. The interview results highlight two critical transition points for the emergence of students’ algebraic reasoning. The first is the ability to transition from additive strategies to multiplicative strategies to solve reverse fraction problems. Students reliant on diagrams and additive strategies struggled to solve more generalised tasks that required multiplicative rather than additive strategies. The second transition is the shift from multiplicative thinking to algebraic reasoning where students could generalise their multiplicative knowledge to deal with any quantity represented in a reverse fraction task.
Similar content being viewed by others
Avoid common mistakes on your manuscript.
1 Introduction
To succeed in mathematics, students must move from additive to multiplicative thinking, and from arithmetic calculations to generalised algebraic strategies. Researchers have repeatedly suggested that algebraic reasoning depends on students having a clear understanding of rational number concepts (Kieren, 1980; Lamon, 1999; Wu, 2001) and the ability to manipulate common fractions. Empson et al. (2010) argue that the key to learning algebra meaningfully is to help students: “to see the continuities among whole numbers, fractions and algebra” (p. 411). They suggest that students should develop and use computational procedures using relational thinking to integrate their learning of whole numbers and fractions.
This paper builds on a previous paper (Pearn & Stephens, 2018) where initial findings were presented for a small group of primary students who were part of a much larger study (Pearn, 2019). Initial findings showed that students’ understanding of equivalence, transformation using equivalence, and the use of generalisable methods can be monitored and classified when students solve reverse fraction tasks. Reverse fraction tasks are those where students know the number of objects representing a given fractional part and then need to find the number of objects representing the unknown whole. Successful strategies varied from a dependence on diagrams to methods that demonstrate algebraic reasoning.
In this paper, we advance our arguments with an analysis of 470 primary students’ responses to the three reverse fraction tasks on the written test. This resulted in the development of the Classification Framework for Reverse Fraction Tasks which can be used to classify the strategies students use to solve reverse fraction tasks. This framework allows us to classify different strategies starting with diagram dependent thinking; progressing from there to additive strategies and then transitioning to clearly multiplicative strategies (see Fig. 3). This framework forms the necessary background for analysing a sub-sample of 17 students’ emerging algebraic thinking on reverse tasks in a subsequent Structured Interview consisting of reverse fraction tasks that were constructed to allow for increasing generalisation.
Students’ responses during the Structured Interview showed how and when algebraic reasoning becomes apparent when more generalised responses to reverse fraction tasks were introduced leading to the development of the Emerging Algebraic Reasoning Framework (Fig. 6). This framework draws teachers’ attention to key transitions for students moving from arithmetic calculations to working with certain general cases. Such transitions in thinking are required when either the fractional part or the quantity, or both are represented generally (rather than specifically as in the original reverse fraction tasks) or when neither the quantity nor the fraction are specified.
2 Literature
The terms algebraic thinking and algebraic reasoning appear to be used interchangeably in the research literature. Jacobs et al. (2007) and Stephens and Ribeiro (2012) define algebraic thinking as students’ understanding of equivalence, transformation using equivalence, and the use of generalisable methods. Kieran (1989) stated that a necessary component of algebraic generalisation “is the use of algebraic symbolism to reason about and to express that generalisation” (p. 165). Later, Kaput (2008) suggested that algebraic thinking consisted of two important aspects. The first aspect is making and expressing generalisations in increasingly formal and conventional symbol systems. The second is the ability to reason with, and manipulate, symbolic forms. Blanton et al (2018) support that view stating that primary students can engage in algebraic thinking when they generalise, represent, justify and reason with a variety of mathematical structures and relationships. Radford (2018) states that algebraic symbolism can include both the verbal explanations as well as the alphanumeric symbolism:
Genuine algebraic symbolism includes the alphanumeric symbolism but also non-conventional semiotic systems—like natural language … through which, as recent research shows, students signify generality. (p.7)
The fundamental importance of generalisation in algebraic reasoning has been built into the design of the tasks employed in this study, especially in the Structured Interview. Stephens et al. (2021), in their analysis of a large Australian study involving primary school age students, have underlined the importance of students’ capacity to generalise their explanations as a key feature of algebraic reasoning.
Many students misunderstand the meaning of the equals sign (see for example, Kieran, 1981; Falkner et al. 1981). They believe that the equals sign indicates that they need to give an answer but do not understand that the equal sign is relational, that is, shows that a relationship exists between the numbers or expressions on each side of the equal sign (Jacobs et al. 2007). Herscovics and Kieran (1980) and Powell and Fuchs (2010) noted that, rather than the operational use students need to understand the relational nature of the equal sign to solve algebraic equations. Researchers such as Knuth et al. (2008) found students’ dependence on the operational conception of the equals sign hinders both arithmetic and algebraic calculations. Jones et al. (2013) suggested that students’ understanding of both the sameness-relational and substitutive-relational conceptions of the equals sign are important for algebraic thinking. The sameness-relational conception of the equals sign involves seeing the equals symbol or sign as meaning ‘is the same as’ (Jones et al., 2013, p. 34) which encourages students to see the sameness of the expressions on both sides of the equals sign thus seeing the equivalence when comparing each expression. The substitutive-relational conception involves students thinking that the equals sign also means ‘can be substituted for’ (Jones et al., 2013, p. 35) and enables students to use arithmetic rules, such as commutativity, to change the arithmetic expressions on either side of the equals sign but retain the equality. Such thinking is required to successfully solve generalised reverse fraction tasks.
Relational thinking has been extensively investigated by researchers such as Stephens and Ribeiro (2012), Jones (2013) and Kindrat and Osana (2018) where students coordinate relationships between numerical quantities in equivalent mathematical expressions using the four operations. Unlike the current study, these studies have all focussed on relationships between whole numbers. Drawing attention to relational thinking using fractional quantities is an important contribution of the current study.
Extensive research on rational number reasoning such as by Behr et al. (1984), Kieren (1983), and Streefland (1991), has focused on the development of basic fraction concepts, including partitioning of a whole into fractional parts, naming fractional parts, ordering rational numbers and equivalence. Kieren (1976) suggested seven interpretations of rational number but subsequently condensed these into five (Kieren, 1980, 1988): whole-part relations, measures, operators, quotients and ratios. While this extensive research on rational number learning draws attention to additive and multiplicative aspects of fractional thinking it has been less explicit on the connections between fractional thinking and algebraic reasoning.
Our focus on exploring the links between fractional thinking and algebraic reasoning builds on the research conducted by Hackenberg and Lee (2015) with 18 middle school and high school students. They used two interviews which were designed so that the reasoning involved in their Fraction based interview provided a foundation for solving problems in their Algebra interview. This research demonstrated that fractional knowledge is closely related to establishing algebra knowledge in the domains of writing and solving linear equations. However, this research by Lee and Hackenberg (2015) was conducted with a small sample of students already familiar with algebraic notation and did not include tasks requiring a generalised solution as is the focus of this study.
In this paper, fractional competence includes understanding fraction size and relationships, demonstrating understanding of fraction concepts and basic arithmetic competence with simple fractions. Three distinct aspects of algebraic thinking are important for this study: students’ understanding of equivalence, transformation using equivalence, and the use of generalizable methods (Jacobs et al., 2007; Jones et al., 2013; Stephens & Ribeiro, 2012). For this research, algebraic reasoning is defined in terms of students’ capacity to identify an equivalence relationship between a given collection of objects and the fraction this collection represents of an unknown whole, including situations where the exact fraction and/or exact quantity may not be known.
3 Research methodology for this study
In a previous paper (Pearn & Stephens, 2018) we introduced the purpose for the large research study and the development and trialling of the assessment instruments and included results for a small sample of the students involved in the main study. In this paper, we focus on the results from 470 primary students who completed the two paper and pencil assessments (Pearn, 2019). We discuss the advances of our understandings of the links between fractional competence and algebraic reasoning resulting from this more extensive analysis.
3.1 The participants
In the main research study, quantitative data was collected from 470 primary students (10–12 years old), from nine Victorian primary schools in Australia where the teachers volunteered to participate in this research. The Index of Community Socio-educational Advantage (ICSEA) is a scale of socio-educational advantage that is calculated for each school. The ICSEA value takes into account parents’ occupations, parents’ education, geographical location and the proportion of indigenous students and is calculated on a scale which has a median of 1000 and a standard deviation of 100. It typically ranges from a value of about 500 (representing extremely educationally disadvantaged backgrounds) to about 1300 (representing schools with students with very educationally advantaged backgrounds) (ACARA, 2018). At the time of this study, the participating schools had ICSEA values that ranged from 1013 to 1181 and deemed to be educationally advantaged.
The responses, of these 470 students, to three reverse fraction tasks will be discussed in Sect. 4. After analysing the results of these 470 students, 17 students (10 boys and 7 girls), all attending the same Melbourne metropolitan primary school, were chosen to be interviewed.
3.2 The research design
In this study, connections between fractional competence and algebraic reasoning were investigated using a sequential explanatory mixed method research design (Creswell, 2003). This research design is characterised by the collection and analysis of quantitative data followed by the collection and analysis of the qualitative data. Qualitative and quantitative methods were linked and integrated to address the overarching research question: How can students’ responses to reverse fraction tasks provide clear evidence of non-symbolic algebraic reasoning and the progressive transition towards fully generalised algebraic thinking?
The first integration of data occurred when the quantitative data was analysed from two paper and pencil assessments: The Fraction Screening Test and the Algebraic Thinking Questionnaire. The second integration of data occurred when the quantitative data from these assessments were integrated with the qualitative data from the semi-structured interviews and is elaborated in the case studies (Sect. 5). The third integration of the data occurred when analyses of all data sources were synthesised to respond to the research question.
Descriptive analysis of quantitative data from the paper and pencil assessments provided a basis for classifying the different solution strategies that had been used to solve reverse fraction tasks, but these data did not adequately explain the reasons that students had chosen particular strategies to solve reverse fraction tasks and whether they were capable of changing these strategies when faced with more generalised contexts. The Structured Interview, with students selected based on the methods they had used in the written test to solve reverse fraction tasks, provided clarifying qualitative data. This combination of data supported exploration of the complexity of the relationships between fractional competence and algebraic reasoning.
3.3 Assessment Instruments
The focus for this paper is on the integration of the results from three written reverse fraction tasks from the Fraction Screening Test (Fig. 1) with the qualitative data gathered from the Structured Interview. We refer to these tasks as 'reverse fraction' tasks because they require students to find the number of objects in the whole collection when given the number of objects representing a given fraction. All instruments used in this study are described in detail in Pearn (2019) and briefly in Pearn and Stephens (2018) and Pearn et al., (2019) while the Structured Interview is described in detail in Pearn and Stephens (2018).
3.3.1 Reverse fraction tasks (fraction screening test)
The three reverse fraction tasks in Fig. 1 (Pearn & Stephens, 2018 p. 241) are central to the discussion presented in this paper.
3.4 Structured Interview
The Structured Interview questions included changes to the number of objects, keeping the fractions the same, and then introducing unspecified quantities associated with the same fractions used in the Fraction Screening Test. These suggestions are in line with research (Marton et al., 2004) which showed that varying numbers in mathematical tasks can foster generalisation. It was anticipated that there would be stronger evidence of algebraic thinking or reasoning if students consistently used multiplicative strategies, or progressed to using multiplicative strategies, when responding to reverse fraction questions where quantities were changed but the fractions remained the same as the three reverse fraction tasks (Fig. 1).
The Structured Interview includes reverse fraction tasks similar to those shown in Fig. 1 but with progressive levels of abstraction, starting from particular instances and becoming progressively more generalised for both the fractions four-sevenths and seven-sixths. Questions for the Structured Interview are given in Fig. 2. The first three questions are very similar to those in the written test while Question 4 focuses on two-thirds, Question 5 on four-sevenths and Question 6 on seven-sixths.
The written records from the Structured Interview were independently coded by two researchers according to the rubric for the Initial Structured Interview Scoring Framework (Fig. 5) with an inter-rater reliability of 94%. Any discrepancies were discussed and resolved. The descriptions in the rubric given for each level of The Initial Structured Interview Scoring Framework (Fig. 5) were specific enough to allow all students to be placed on a level. However, more information was required in order to answer the main research question focusing on the connections between fractional competence and emergent algebraic reasoning (see Fig. 6).
Further analysis of the results from the Structured Interview was conducted by two researchers. The solutions to each of the seven interview questions were individually analysed and scored, using the same criteria as that used for the three reverse fraction tasks as shown in the Framework for Reverse Fraction Task Strategies (Fig. 3). While responses to each individual Structured Interview question could be classified in terms of strategies for solving each fraction task, overall performance for the Structured Interview tasks also needed to be classified in terms of the development of emergent algebraic reasoning.
Students’ overall responses to the Structured Interview tasks were analysed using a thematic analysis approach (Braun & Clarke, 2006) and varied from a reliance on computational methods to fully generalised responses which indicate emergent algebraic reasoning (Fig. 6). The transcripts were again coded by two researchers with a consistent inter-reliability of 94%. Any discrepancies were discussed with a third researcher and resolved.
4 Results
The focus in the results section is on the strategies students used to solve reverse fraction tasks that required increasing levels of generalisation.
4.1 Strategies used to solve the three reverse fraction tasks
Table 1 shows the number (and percentage) of the 470 students who successfully completed each written reverse fraction task from the Fraction Screening Test (Fig. 1). Reverse Fraction 2 did not include a diagram and although Reverse Fraction 3 included a diagram it did not appear to assist students to solve the task.
Careful analysis of the data for the 470 students showed that their dominant strategies for the set of three reverse fraction tasks could be classified using the five key categories given in the Classification Framework for Reverse Fraction Tasks and explained in Fig. 3.
Student DC’s response (Fig. 4) provides an example of what we mean by a dominant strategy. His response was deemed to be Fully Multiplicative for the set of three reverse fraction tasks since, regardless of the fraction or the quantity representing that fraction, he consistently found the quantity represented by the unit fraction and then scaled up or down to find the whole. Note he has not yet been introduced to formal symbolic algebraic equations but gave an idiosyncratic recording of his thinking by using numbers in a sentence without words.
Analysing the students’ written responses confirmed that the reverse fraction tasks allow students to demonstrate their ability to use relational thinking, equivalence and algebraic reasoning. The number and percentage of students in each category for each task is given in Table 2. The number of students not attempting to answer the questions or giving a response (Not Clear) increases with successive tasks. Reverse Fraction 1 included a diagram which appeared to assist students to give a response. Several students were dependent on diagrams for all three reverse fraction tasks. Forty percent (188) of the 470 students used a partially multiplicative response to Fraction Task 1. This was evidenced by them stating that they would add one more row of five counters to find the total. Gloria used a partially multiplicative method to solve Fraction Task 2 (Fig. 7). Very few students used advanced multiplicative methods (see Jack, right-hand side Fig. 8) to solve the three reverse fraction tasks on the written test. This left unanswered whether students’ giving fully multiplicative responses had utilised non-symbolic algebraic reasoning. The questions in the Structured Interview prompted students to articulate their thinking.
4.2 Strategies used to solve the Structured Interview questions
The tasks in the Structured Interview were scaffolded in the expectation that students would move from a reliance on calculations and specific numbers and begin to generalise solution strategies. The Structured Interview uses the same fractions as those for the written test but the quantity representing the fraction has been changed (left-hand column of Fig. 2). The 17 students chosen to be interviewed represent the five categories of the Classification Framework for Reverse Fraction Tasks as described in Fig. 3.
Table 3 highlights the strategies employed by the interviewees to solve each question of the Structured Interview (Fig. 2). For example, when responding to Question 1 of the Structured Interview, two students gave an Incorrect Response, six used Partially Multiplicative, seven used Fully Multiplicative while two used Advanced Multiplicative strategies.
As shown in Table 4, two students did not attempt Question 7, two attempted an answer but were incorrect while three attempted to use additive methods. However, ten of the students gave generalisable multiplicative responses with seven students using verbal responses only and three writing appropriate algebraic symbols. The responses were coded differently to the other questions in order to distinguish verbal and symbolic methods.
As a result of the re-analysis of students’ Structured Interview responses (based on the framework in Fig. 5 and the global thematic analysis) six levels were established for the Emergent Algebraic Reasoning Framework (Fig. 6). Students who were only able to answer questions where both the fraction and the quantity representing the fraction were given were deemed to be at Level 1 and Level 2. Students who were consistently able to use additive or multiplicative methods to solve the questions with both a given fraction and equivalent quantity and the ‘any number’ questions were deemed to be at Level 3 and Level 4. However, students who relied on an additive response to the more general question of ‘any fraction’ and ‘any number’ could not progress beyond Level 3 and Level 4. Students who used generalised algebraic reasoning providing a coherent verbal response were deemed to be at Level 5, and those who articulated their responses using symbolic representations were deemed to be at Level 6.
In answering our key research question, the critical jump is from Level 3 to Level 4 where students demonstrated clear algebraic reasoning in which they could deal with any number of objects using multiplicative methods. This shows evidence of students being able to generalise the solution of a fractional task for an unknown number of objects. Further confirmatory evidence of algebraic reasoning is provided when students can describe how they would solve a fractional problem with any fraction as well as any number of objects.
4.3 Comparison of students’ written and interview responses
In Table 5 the interviewees’ dominant methods used for the set of three written reverse fraction tasks (left-hand column) are compared to the classifications for the Emerging Algebraic Reasoning Framework (right-hand columns) based on students’ responses to the Structured Interview. This table illustrates the importance of linking responses to the written test to later responses from the Structured Interview. These connections are further illustrated in the case studies to follow.
Interviewees dependent on pictorial or additive methods were likely to experience difficulties describing a rule as each interview question appeared to be a new problem that had to be considered on its own terms. While additive methods are sufficient to solve simple reverse fraction problems, students need to be able to draw on multiplicative methods to solve problems of increasing generality. Without access to multiplicative methods, students are most likely to experience difficulties transitioning from arithmetical processes to formal algebra.
Analysis of the students’ responses shown in Table 5 indicated that three students are still reliant on using either diagrams or computational strategies and unable to answer questions with ‘any quantity’. Three students are starting to generalise using additive strategies and two consistently use multiplicative strategies for the tasks with ‘any quantity’. Despite not being introduced to formal algebra, six students gave an appropriate verbal generalised solution for the question with ‘any fraction’ and ‘any quantity’ while three students used written algebraic expressions.
A necessary precursor to being able to generalise a solution for these reverse fraction tasks was to recognise, implicitly or explicitly, an equivalence relationship between the given fraction and its related quantity. This allows students to find the quantity related to the unit fraction that can then be scaled up to a whole additively or multiplicatively. Even when an equivalence relationship had been identified additive methods were less easily generalised as students needed to know how many parts to add or subtract. Several students failed to give a correct response, despite using this method, due to their faulty computation.
Multiplicative methods were clear precursors to generalisation. Students typically divided by the numerator to find the quantity equivalent to the unit fraction and then multiplied by the denominator to find the quantity in the whole group. Some students divided by the given fraction or multiplied by the reciprocal to obtain a whole number equivalent. Generalisable methods provided evidence of algebraic thinking when students could describe what needed to be done if a given fraction was related to any quantity.
Five of the six interviewees who had demonstrated fully multiplicative thinking on the written test were able to demonstrate algebraic reasoning using verbal or symbolic strategies to answer questions dealing with any number of objects during the interview. We also noticed that three interviewees, who had used partially multiplicative strategies on the written test, were able to give verbal explanations in the interview showing coherent algebraic reasoning in relation to questions that dealt with any number. These students treated variations in the given fractions as ‘quasi-variables’ (Fujii & Stephens, 2001); that is, recognising that the same multiplicative operations applied regardless of the fraction. In responding to Question 7 with any fraction and any number interviewees able to generalise referred to dividing by the numerator and multiplying by the denominator.
Fully generalisable methods demonstrated algebraic reasoning when students could describe verbally in non-symbolic terms how to find the whole given ‘any fraction’ and ‘any quantity’. Some students demonstrated clear algebraic thinking by using symbols such as a/b to represent any given fraction and c to represent any given quantity to generalise their solutions.
5 Application of the frameworks: four case studies
Four case studies from the students we interviewed illustrate the application of the two frameworks described in Figs. 3 and 6. These case studies demonstrate that a scaffolded questioning sequence, such as that used in the Structured Interview, may allow teachers to map students’ progress against the frameworks and so inform the decisions needed to guide each students’ learning. The four case studies also highlight critical stages against which teachers can check students’ growing competence to think algebraically. Gloria represents the Generalising-Additive group, Kate and Alex represent the Algebraic Generalisation-Verbal group, while Jack represents the Algebraic Generalisation-Symbolic group who used advanced multiplicative strategies, consistently and successfully, for all tasks in the Structured Interview. Kate has been included as she was classified as being in Algebraic Generalisation-Verbal group despite using partially multiplicative strategies for all questions prior to Question 7 on the interview.
Table 6 includes the dominant method used by the case study students for the written reverse fraction tasks along with their classification on the Emerging Algebraic Reasoning Framework.
The teachers of the primary students who were interviewed confirmed that their students had not yet been introduced to formal algebraic notation. However, there were some primary students classified as advanced multiplicative thinkers, who used either verbal or symbolic notation to express their algebraic reasoning, sometimes in idiosyncratic ways, as will be evident from the case studies.
5.1 Written reverse fraction tasks
In the written test (470 students), two of the three tasks included diagrams and all reverse fraction tasks could be solved using additive or multiplicative methods. However, students used the range of strategies for each of the three reverse fraction tasks as listed in Fig. 3. For example, students used diagrams, additive or subtractive strategies and partially, fully or advanced multiplicative strategies regardless of whether the task included a diagram or not. Analysing a written test does not allow teachers or researchers to determine the reasons for students’ choice of strategy or whether the students were using the most sophisticated strategy or the strategy they felt was valued by the teacher or researcher. Having the Classification Framework for Reverse Fraction Tasks allows teachers and researchers to classify the types of strategies that students use to solve reverse fraction tasks but could also be adapted to create a starting point for classifying responses to other types of mathematical tasks.
Gloria consistently used a partially multiplicative strategy for each written reverse fraction task. For example, in responding to Reverse Fraction Task 1 she added an extra row of five circles to the two rows of circles given in the diagram. For Reverse Fraction Task 2 she divided 12 by 4 to work out one-seventh (3), multiplied one-seventh by three to get three-sevenths (9) and then added three-sevenths (9) to the four-sevenths (12) to find the number of objects in the whole group (21) (see left-hand side of Fig. 7). She used a similar method for Reverse Fraction Task 3 related to the fraction seven-sixths.
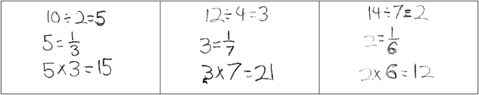
Like Gloria, Kate used a partially multiplicative method for Reverse Fraction Task 1, but she used a fully multiplicative method for Reverse Fraction Task 2. As shown in the right-hand side of Fig. 7 Kate divided the number of CDs (12) by the numerator (4) to find one-seventh (3) and then multiplied by seven to get the whole i.e. seven-sevenths (21). However, for Reverse Fraction Task 3, which had a diagram, Kate used a ‘trial and error’ method: “14 divided by 6 doesn’t work, neither does 13 ÷ 6. But 12 ÷ 6 does work so I got the answer of 12 as the original number of counters”. It is not clear if Kate would have succeeded, or what method she may have used if the diagram had not been included.
In contrast, Alex successfully solved all three reverse fraction tasks using fully multiplicative methods. Just like Kate’s response to Reverse Fraction Task 2 (right-hand side of Fig. 7) he found the number of objects representing the unit fraction by dividing by the numerator and then calculated the whole by multiplying the number representing the unit fraction by the denominator (left-hand side of Fig. 8). While his symbolic recording of 3 CDs represents one-seventh of the collection (3 = 1/7) is incorrect his intention is clear. Similarly, for recording that seven-sevenths of the collection was 21 he incorrectly wrote 7/7 = 21.
Jack used an advanced multiplicative strategy for all three reverse fraction tasks regardless of whether there was a diagram or not included with the task. He divided the given number of counters by the given fraction (right-hand side of Fig. 8). Unlike Alex’s symbolic response, Jack’s symbolic response is written correctly. However, this use of a ‘short cut’ method raises the question as to whether Jack is applying a rule that he may have been taught without fully understanding why the rule works or is he employing an inverse relationship which underpins a truly algebraic solution strategy. This issue could only be resolved by further probing questions in the Structured Interview (see below).
5.2 Moving from change of number to any number
For the tasks related to two-thirds for both change of number and any number both Gloria and Kate halved the number of counters representing two-thirds and then added that number onto the original number of counters to find the whole collection. They both used a similar approach to the tasks related to four-sevenths. To calculate the number of objects needed to represent seven-sevenths or the whole they found the number of objects needed to represent one-seventh, multiplied by three to find three-sevenths, then added that number to the number representing four-sevenths. While this partially multiplicative approach is consistent with Gloria’s responses for the written reverse fraction tasks it contrasts with the fully multiplicative approach Kate used for the written Reverse Fraction Task 2 (right-hand column of Fig. 7).
Both Gloria and Kate used the same partially multiplicative strategy for the tasks related to seven-sixths. They initially found the number of objects that represented one-sixth then subtracted that number of objects from the number representing seven-sixths to find the whole or six-sixths. As Gloria stated: “Put it into 7 groups. However, many in that group take it away from the original number” (right-hand side of Fig. 9). Similarly, Kate describes her method of finding one-sixth as “see what goes into that number 7 times” and then subtracts one-sixth from the number representing seven-sixths to get six-sixths or one whole.
Gloria used the same partially multiplicative strategy for all the tasks of the Structured Interview that she had used for the written tasks. However, during the interview she transitioned from being dependent on drawing diagrams to demonstrate the partially multiplicative strategy (left-hand side of Fig. 9) to describing a partially multiplicative strategy in words without diagrams (right-hand side of Fig. 9).
Researchers such as Diezman and English, (2001) have suggested that students use diagrams when solving unfamiliar problems. A diagram is a visual representation that presents information in a spatial layout such as the one used by Gloria to solve Question 2 of the Structured Interview. She initially drew the 8 circles representing the 8 CDs before creating four groups of two showing the four groups of one-seventh. She then created three more groups of two circles which represented three-sevenths. The appropriateness of a diagram for the solution of a problem depends on how well it represents that problem’s structure. Booth and Thomas (2000) suggested that while diagrams are useful for some students, other students may not see the structure of the problem in diagrams or may be unfamiliar with the use of diagrams in the problem-solving process. The appropriateness of a diagram for the solution of a problem depends on how well it represents that problem’s structure. In this case Gloria successfully drew a diagram that represented the structure of the problem.
Gloria initially used diagram dependent strategies indicating a clearly established pattern of representing a whole as a composite of its fractional parts. Diagrams, often with circling, were used to identify, usually successfully, the component relationships; recognising that it is necessary to deduce the value of the unit fraction to scale up (or down) the number of fractional parts to make a whole. When presented with ‘any number’ of objects representing a given fraction Gloria explained how the separate parts or components can be combined to make a whole.
During the Structured Interview both Alex and Jack used the same multiplicative strategies that they had used for the three written reverse fraction tasks. They applied the same strategies whether they had a given number of objects or any number of objects as shown in Fig. 8. Alex used a fully multiplicative method where he divided by the numerator to find the number of objects representing the unit fraction then multiplied by the denominator to find the number of objects in the whole group. Jack used a more advanced multiplicative method where he divided the number of objects representing the fraction, by the given fraction to obtain a correct solution. In the interview, Jack was asked why this method always worked. When asked to explain his response, Jack said dividing by two-thirds is the same as multiplying by 3 over 2 where the 2 represents the numerator, adding “This allows you to work out what one-third is so that you can find the whole.”
5.3 Moving from any quantity to any quantity and any fraction
When presented with ‘any fraction’ and ‘any quantity’ in Question 7, Gloria’s clearly expressed part-part-whole additive strategies cannot be generalised: “Whatever the numerator is, put it into however many groups. You then either add or subtract that number”. Gloria indicates the direction a strategy needs to take but as shown above her strategy cannot be enacted unless the value and the quantity are known. The overall analysis of Gloria’s responses to the Structured Interview questions suggests she is at the Generalising-Additive level of the Emerging Algebraic Reasoning Framework (Fig. 6).
In the interview Kate used a partially multiplicative strategy for all questions prior to Question 7, which involved ‘any fraction’ and ‘any number’ of counters. She then stated: “This is the old method” referring to the fully multiplicative method she had used previously for the written Reverse Fraction Task 2 (right-hand side of Fig. 7). Kate returned to a fully multiplicative strategy (Fig. 10) when it became apparent to her that a partially multiplicative approach was not applicable or would not work. Kate is classified as being at Algebraic Generalisation—Verbal. Kate’s response demonstrates that students can be encouraged to use algebraic reasoning if the task demands it.
For Question 7 Alex used the relationship between the fraction, and the number of objects representing that fraction, to calculate the number of objects required to represent the whole (Fig. 11). This strategy will work for any fraction representing any number of objects.
Alex is deemed to be at the Algebraic Generalisation—Verbal level (Fig. 6). While Kate and Alex ended up having similar responses to Question 7 (Figs. 10, 11), Alex immediately draws upon a fully multiplicative strategy for unknown fractions or quantities represented by the fraction while Kate initially used a partially multiplicative strategy before drawing on a fully multiplicative strategy for Question 7.
Figure 12 shows Jack’s response to Question 7 with any number of counters representing any fraction. When asked to explain his response, he said:
“When you divide by the fraction b over c (pointed to symbols b/c) it becomes multiply by c over b (pointed to symbols × c/b) which means that you are dividing by the numerator (b). This tells you what one over c is and then you can multiply by the denominator (c) to find the whole”.
This fully generalised and well-articulated algebraic response indicates that Jack is not simply repeating a rule he has been taught. Jack’s symbolic algebraic reasoning is confident and consolidated, and he is deemed to be at the Algebraic Generalisation-Symbolic level (Fig. 6).
Analysis of the three written reverse fraction tasks allowed the development of the Classification Framework for Reverse Fraction Tasks. Using this framework for the Structured Interview tasks allows researchers and teachers to classify the types of strategies students use to solve tasks such as these reverse fraction tasks with and without diagrams. The scaffolded move from reverse fraction tasks that included different numbers of objects to any number of objects encouraged students to use more generalised algebraic reasoning as they could not calculate an exact quantity. Moving to any fraction and any quantity allowed Alex to articulate in words the relationship between the three fraction components: numerator, denominator, and the number of objects. It prompted Jack to articulate the relationship using correct symbolism with understanding beyond the school curriculum. The Emerging Algebraic Reasoning Framework highlights the move from a reliance on computation with given numbers of objects, to generalisations using additive and multiplicative methods, to the move to algebraic generalisations.
6 Discussion
A necessary precursor to being able to generalise a solution for these reverse fraction tasks was to recognise, implicitly or explicitly, an equivalence relationship between the given fraction and its related quantity. This allows students to find the quantity related to the unit fraction that can then be scaled up to a whole additively or multiplicatively. Due to their faulty computation several students failed to give a correct response. However, even when an equivalence relationship had been identified, additive methods were difficult for students to generalise as they needed to know how many parts to add or subtract.
Multiplicative methods were clear precursors to generalisation. Students typically divided by the numerator to find the quantity equivalent to the unit fraction and then multiplied by the denominator to find the quantity represented by the whole. Some students divided by the given fraction or multiplied by the reciprocal to obtain a whole number equivalent. Generalisable methods provided evidence of algebraic thinking when students could describe what needed to be done if a given fraction was related to any quantity.
Verbal algebraic generalisations indicate that a student is well positioned and ready for formal algebra expected when they move into secondary schooling. In this study three interviewees were already using algebraic reasoning, writing algebraic equations and showing evidence of being able to create and simplify algebraic expressions.
Fully generalisable methods demonstrated algebraic reasoning when students could describe verbally in non-symbolic terms how to find the whole given ‘any fraction’ and ‘any quantity’. Some students demonstrated clear algebraic thinking by using symbols such as a/b to represent any given fraction and c to represent any given quantity in order to generalise their solutions.
A limitation of the written test is that students may correctly interpret the task and use an appropriate rule or procedure, where this may or may not indicate algebraic reasoning. It may represent a learned rule, or it may represent a deeper understanding of the structure of fractions. The Structured Interview probes for evidence of generalisation as a key identifier of algebraic reasoning. In addition, the question sequence successfully ‘moved’ some students away from part-part-whole additive strategies towards fully multiplicative and generalizable approaches. Their algebraic thinking was sometimes expressed symbolically but more often verbally as is appropriate for students yet to be introduced to formal use of pronumerals.
7 Conclusion
The key research question for this study was: How can students’ responses to reverse fraction tasks provide clear evidence of non-symbolic algebraic reasoning and the progressive transition towards fully generalised algebraic thinking? Due to the limitations of our sampling and time constraints on testing we do not claim that our classifications are exhaustive. However, based on the data from the written reverse fraction tasks and the Structured Interview, we believe that the two frameworks that have emerged from this study will be of value to mathematics educators and teachers: The Framework for Reverse Fraction Task Strategies (Fig. 3) and the Emerging Algebraic Reasoning Framework (Fig. 6). Although students used a variety of methods to solve reverse fraction tasks on a written test, the Emerging Algebraic Reasoning Framework identified students who were computationally proficient but unable to generalise, as distinct from those who were beginning to generalise, and those who could fully generalise their solutions.
Application of these frameworks to analyse students’ strategies has shown that students relying on additive or partially multiplicative strategies were unable to solve the task where they had to consider ‘any number’ of objects representing a fraction of the whole group. The ability to deal with ‘any number’ is the clearest test of algebraic reasoning. Some students were able to deal confidently with ‘any number’ and ‘any fraction’. Other students who appeared to rely on concrete or additive strategies moved confidently to using multiplicative methods. Unless students become confident users of multiplicative methods, they cannot take the extra step of dealing with any number using a generalised algebraic strategy.
This study points to two critical transitions for the emergence of students’ algebraic reasoning. The first, which is a necessary condition, is the transition from additive strategies to multiplicative strategies for arithmetic calculations. Students who relied solely on diagrams or additive strategies were unable to utilise multiplicative strategies to solve more generalised tasks. The second transition is demonstrated when students use their multiplicative knowledge to deal with any quantity represented in a reverse fraction task. Fully algebraic reasoning allows students also to deal with any fraction and a known quantity, as well as any fraction with any quantity.
The two frameworks, The Framework for Reverse Fraction Task Strategies (Fig. 3) and the Emerging Algebraic Reasoning Framework (Fig. 6), highlight the connection between fractional competence and emerging evidence of students’ algebraic reasoning. For teachers, these frameworks serve a double purpose. First by providing indicators that enable teachers to identify the stage where students are at, and second to monitor students’ progress by giving clear suggestions for how students can and need to be prompted to make the next steps.
Reverse fraction tasks need to be included in the teaching and learning of fractions. But, simply finding the whole when given a specific fraction and the quantity it represents, which is an important element of fractional competence, does not go far enough. As this study shows, the full potential of reverse fraction problems needs to include prompts such as “any fraction” and “any number’ in order to foster fully generalisable algebraic thinking.
References
Behr, M., Wachsmuth, I., Post, T., & Lesh, R. (1984). Order and equivalence of rational numbers. Journal for Research in Mathematics Education, 15(1), 323–341.
Blanton, M., Brizuela, B., Stephens, A., Knuth, E., Isler, I., Gardiner, A. M., Stroud, R., Fonger, N., & Stylianou, D. (2018). Implementing a framework for early algebra. In C. Kieran (Ed.), Teaching and Learning algebraic thinking with 5 – to 12-year olds: The global evolution of an emerging field of research and practice (pp. 27–49). Springer.
Booth, R., & Thomas, M. (2000). Visualization in mathematics learning: Arithmetic problem-solving and student difficulties. The Journal of Mathematical Behavior, 18(2), 169–190.
Braun, V., & Clarke, V. (2006). Using thematic analysis in psychology. Qualitative Research in Psychology, 3 (2). pp. 77–101. http://eprints.uwe.ac.uk/11735/2/thematic_analysis_revised_-_final.pdf
Creswell, J. W. (2003). Research design: Qualitative, quantitative, and mixed methods approaches (2nd ed.). Sage.
Diezmann, C., & English, L. (2001). Promoting the use of diagrams as tools for thinking. In A. Cuoco & F. Curcio (Eds.), The roles of representation in school mathematics: 2001 year book (pp. 1–23). NCTM.
Empson, S. B., Levi, L., & Carpenter, T. P. (2010). The algebraic nature of fractions: Developing relational thinking in elementary school. In J. Cai & E. Knuth (Eds.), Early algebraization: Cognitive, curricular and instructional perspectives (pp. 409–428). Springer.
Fujii, T., & Stephens, M. (2001). Fostering an understanding of algebraic generalisation through numerical expressions: the role of quasi-variables. In H. Chick, K. Stacey, J. Vincent, & J. Vincent (Eds.), Proceedings of the 12th conference of the International Commission on Mathematics Instruction (Vol. 1, pp. 258–264). ICMI.
Hackenberg, A. J., & Lee, M. (2015). Relationships between students’ fractional knowledge and equation writing. Journal for Research in Mathematics Education, 46(2), 196–243.
Jacobs, V., Franke, M., Carpenter, T., Levi, L., & Battey, D. (2007). Professional development focused on children’s algebraic reasoning in elementary school. Journal for Research in Mathematics Education, 38(3), 258–288.
Jones, I., Inglis, M., Gilmore, C., & Evans, R. (2013). Teaching the substitutive conception of the equals sign. Research in Mathematics Education, 15(1), 34–49.
Kaput, J. (2008). What is algebra? What is algebraic reasoning? In J. Kaput, D. Carraher, & M. Blanton (Eds.), Algebra in the early grades (pp. 235–272). Lawrence Erlbaum Associates.
Kieran, C. (1989). A perspective on algebraic thinking. In G. Vergnaud, J. Rogalski & M. Artigue (Eds.). Proceedings of the 13th conference of the international group for the psychology of mathematics education (Vol 2, pp. 163–171). PME.
Kieran, C. (1981). Concepts associated with the equality symbol. Educational Studies in Mathematics, 12(3), 317–326.
Kieren, T. E. (1976). On the mathematical, cognitive and instructional foundations of rational numbers. In R. Lesh (Ed.), Number and measurement: Papers from a research workshop (pp. 101–144). ERIC/SMEAC.
Kieren, T. E. (1980). The rational number construct: Its elements and mechanisms. In T. E. Kieren (Ed.), Recent research on number learning (pp. 125–150). ERIC/SMEAC.
Kieren, T. E. (1983). Partitioning, equivalence, and the construction of rational number ideas. In M. Zweng (Ed.). Proceedings of the 4th international congress on mathematical education (pp. 506–508). Birkhauser.
Kieren, T. E. (1988). Personal knowledge of rational numbers: Its intuitive and formal development. In J. Hiebert & M. Behr (Eds.), Number concepts and operations in the middle grades (pp. 162–181). Erlbaum.
Kindrat, A. N., & Osana, H. P. (2018). The relationship between mental computation and relational thinking in the seventh grade. Fields Mathematics Education Journal. https://doi.org/10.1186/s40928-018-0011-4
Knuth, E., Alibali, M., Hattikudur, S., McNeil, N., & Stephens, A. (2008). The importance of equal sign understanding in the middle grades. Mathematics Teaching in the Middle School, 13(9), 514–519.
Lamon, S. J. (1999). Teaching fractions and ratios for understanding: Essential knowledge and instructional strategies for teachers. Lawrence Erlbaum Associates.
Marton, F., Runesson, U., & Tsui, A. (2004). The space of learning. In F. Marton, A. Tsui, P. Chik, P. Ko, & M. Lo (Eds.), Classroom discourse and the space of learning (pp. 43–62). Lawrence Erlbaum.
Pearn, C. (2019). Investigating connections between fractional competence and algebraic reasoning in the middle years. https://minerva-access.unimelb.edu.au/handle/11343/237473
Pearn, C., Stephens, M., & Pierce, R. (2019). Monitoring and prompting emergent algebraic reasoning in the middle years: Using reverse fraction tasks. In G. Hine, S. Blackley & A. Cooke (Eds.), Mathematics Education Research Impacting Practice. (Proceedings of the 42nd Annual Conference of The Mathematical Research Group of Australasia (pp. 564–571) MERGA.
Pearn, C., & Stephens, M. (2018). Generalizing fractional structures: A critical precursor to Algebraic Thinking. In C. Kieran (Ed.), Teaching and Learning algebraic thinking with 5 – to 12-year olds: The global evolution of an emerging field of research and practice (pp. 237–260). Springer.
Powell, S., & Fuchs, L. (2010). Contribution of equal-sign instruction beyond word-problem tutoring for third-grade students with mathematics difficulty. Journal of Educational Psychology, 102(2), 381–394.
Radford, L. (2018). The emergence of symbolic algebraic thinking in primary school. In C. Kieran (Ed.), Teaching and Learning algebraic thinking with 5- to 12-year olds: The global evolution of an emerging field of research and practice (pp. 3–26). Springer.
Stephens, M., Day, L., & Horne, M. (2021). An empirically based practical learning progression for generalisation, an essential element of algebraic reasoning. Australian Journal of Education, 65(3), 313–328. https://doi.org/10.1177/00049441211044798
Stephens, M., & Ribeiro, A. (2012). Working towards Algebra: The importance of relational thinking. Revista Latinoamericano De Investigacion En Matematica Educativa, 15(3), 373–402.
Streefland, L. (1991). Fractions in realistic mathematics education. A paradigm of developmental research. Kluwer Academic Publishers.
Wu, H. (2001). How to prepare students for algebra. American Educator, 25(2), 10–17.
Acknowledgements
This paper arises out of and builds upon the research project conducted as part of a PhD completed by the first author and supervised by the other two authors (Pearn 2019). The following publications—Pearn and Stephens (2018) and Pearn, Stephens and Pierce (2019) precede, and are referred to, in this paper.
Funding
Open Access funding enabled and organized by CAUL and its Member Institutions.
Author information
Authors and Affiliations
Corresponding author
Additional information
Publisher's Note
Springer Nature remains neutral with regard to jurisdictional claims in published maps and institutional affiliations.
Rights and permissions
Open Access This article is licensed under a Creative Commons Attribution 4.0 International License, which permits use, sharing, adaptation, distribution and reproduction in any medium or format, as long as you give appropriate credit to the original author(s) and the source, provide a link to the Creative Commons licence, and indicate if changes were made. The images or other third party material in this article are included in the article's Creative Commons licence, unless indicated otherwise in a credit line to the material. If material is not included in the article's Creative Commons licence and your intended use is not permitted by statutory regulation or exceeds the permitted use, you will need to obtain permission directly from the copyright holder. To view a copy of this licence, visit http://creativecommons.org/licenses/by/4.0/.
About this article
Cite this article
Pearn, C., Stephens, M. & Pierce, R. Algebraic reasoning in years 5 and 6: classifying its emergence and progression using reverse fraction tasks. ZDM Mathematics Education 54, 1257–1271 (2022). https://doi.org/10.1007/s11858-022-01426-7
Accepted:
Published:
Issue Date:
DOI: https://doi.org/10.1007/s11858-022-01426-7











