Abstract
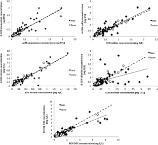
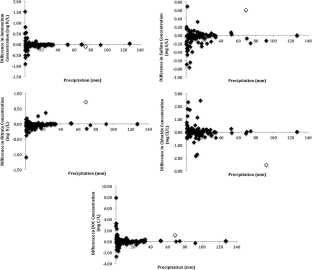
Atmospheric deposition occurs in a variety of forms and is crucial for the evaluation of nutrient budgets, critical loads, and pollution inputs across space and time. Atmospheric wet deposition is typically quantified by analyzing the chemistry of precipitation that is collected in some type of container with a lid that opens in response to precipitation. However, collectors can vary in shape as well as in the sensor that signals when precipitation is occurring. Here, we compare the collectors made by Aerochem Metrics and N-CON Systems Company Inc. The former has been widely used for several decades, while the latter is relatively new and has been used in a variety of configurations depending on the solute of interest. Event-based samples were collected from August 2007 to October 2008 and analyzed for nitrate, ammonium, sulfate, chloride, and dissolved organic carbon (DOC). A variety of approaches were used to assess the comparability of the two collectors. Regressions of concentration versus concentration from the two collectors were strong, and the slope did not differ from 1 for nitrate, ammonium, or sulfate. The median concentrations of nitrate, ammonium, and sulfate were, however, significantly higher in the N-CON collector, while there were no overall differences between collectors for chloride or DOC. Although we have observed some statistically significant differences between solute concentrations of samples collected from the two collectors, our mixed results suggest that these differences are relatively small.




References
Ames, D. L., Roberts, L. E., & Webb, A. H. (1987). An automatic rain gauge for continuous, real time determination of rainwater chemistry. Atmospheric Environment, 21, 1947–1955.
Beverland, I. J., & Crowther, J. M. (1992). On the interpretation of event and sub-event rainfall chemistry. Environmental Pollution, 75, 163–174.
Chen, M., Talbot, R., Mao, H., Sive, B., Chen, J., & Griffin, R. J. (2007). Air mass classification in coastal New England and its relationship to meteorological conditions. Journal of Geophysical Research, 112, D10S05. doi:10.1029/2006JD007687.
Colin, J. L., Jaffrezo, J. L., Pinart, J., & Roulette-Cadene, S. (1987). Sequential sampling of snow in a rural area—experimentation and identification of the acidifying agents. Atmospheric Environment, 21, 1147–1157.
Cook, R. D., & Weisberg, S. (1982). Residuals and influence in regression. London: Chapman & Hall.
Dentener, F., Kinne, S., Bond, T., Boucher, O., Cofala, J., Generoso, S., et al. (2006). Emissions of primary aerosol and precursor gases in the years 2000 and 1750—prescribed data-sets for AeroCom. Atmospheric Chemistry and Physics, 6, 4321–4344.
Dossett, S. R., & Bowersox, V. C., (1999). National Trends Network site operation manual. National Atmospheric Deposition Program Office at the Illinois State Water Survey, NADP Manual 1999–01c, revised, Champaign, IL. http://nadp.sws.uiuc.edu/lib/manuals/opman.pdf. Accessed 9/4/12.
Heald, C. L., Goldstein, A. H., Allan, J. D., Aiken, A. C., Apel, E., Atlas, E. L., et al. (2008). Total observed organic carbon (TOOC) in the atmosphere: a synthesis of North American observations. Atmospheric Chemistry and Physics, 8, 2007–2025.
Kelly, V. R., Weathers, K. C., Lovett, G. M., & Likens, G. E. (2012). A comparison of two collectors for monitoring precipitation chemistry. Water, Air, and Soil Pollution, 223, 951–954. doi:10.1007/S11270-011-0912-8.
Krupa, S. V. (2002). Sampling and physico-chemical analysis of precipitation: a review. Environmental Pollution, 120, 565–594.
Lynch, J. A., DeWalle, D. R., & Homer, K. (1990). Impact of NADP/NTN sampling protocols on winter storm estimates of wet deposition in central Pennsylvania. USEPA. EPA/600/S3-90/044.
McDowell, W. H., & Likens, G. E. (1988). Origin, composition, and flux of dissolved organic carbon in the Hubbard Brook valley. Ecological Monographs, 58, 177–195.
McDowell, W. H., Gines-Sanchez, C., Asbury, C. E., & Ramos-Perez, C. R. (1990). Influence of sea salt aerosols and long-range transport on precipitation chemistry at El Verde, Puerto Rico. Atmospheric Environment, 24A, 2813–2821.
Nilles, M. A., See, R. B., Willoughby, T. C., & Gordon, J. D. (1992). Variability in wet atmospheric deposition data determined with co-located samplers: U.S. Geological Survey Water-Resources Investigations Report 91-4143, 30 p.
Pardo, L. H. (2010). Approaches for estimating critical loads of N and S deposition for forest ecosystems on U.S. federal lands. Gen. Tech. Rep. NRS-71. Newtown Square: U.S. Department of Agriculture, Forest Service, Northern Research Station. 25 p.
Peters, K., & Klemm, O. (1989). Acid fraction: a simple and useful measure in rain scavenging studies. Atmospheric Environment, 23, 1157–1162.
Raymond, P. A. (2005). The composition and transport of organic carbon in rainfall: insights from the natural (13C and 14C) isotopes of carbon. Geophysical Research Letters, 32, L14402. doi:10.1029/2005GL022879.
Schier, G. A., & Jensen, K. F. (1992). Atmospheric deposition effects on foliar injury and foliar leaching in red spruce. In C. Eagar & M. B. Adams (Eds.), Ecology and decline of Red Spruce in the Eastern United States, ecological studies 96. New York: Springer. 417 p.
Schlesinger, W. H., & Hartley, A. E. (1992). A global budget for atmospheric NH3. Biogeochemistry, 15, 191–211.
Schroder, L. J., & Hedley, A. G. (1986). Variation in precipitation quality during a 40-hour snowstorm in an urban environment—Denver, CO. International Journal of Environmental Studies, 28, 131–138.
Seinfeld, J. H., & Pandis, S. N. (2006). Atmospheric chemistry and physics: from air pollution to climate change (2nd ed.). New York: Wiley.
Seymour, D. M., & Stout, T. (1983). Observations on the chemical composition of rain using short sampling times during a single event. Atmospheric Environment, 17, 1483–1487.
Sirois, A., Vet, R., & Lamb, D. (2000). A comparison of the precipitation chemistry measurements obtained by the CAPMoN and NADP/NTN networks. Environmental Monitoring and Assessment, 62, 273–303.
Wetherbee, G. A., Latysh, N. E., & Gordon, J. D. (2005). Spatial and temporal variability of the over- all error of National Atmospheric Deposition Program measurements determined by the USGS co-located-sampler program, water years 1989–2001. Environmental Pollution, 135, 407–418.
Wetherbee, G. A., Shaw, M. J., Latysh, N. E., Lehmann, C. M. B., & Rothert, J. E. (2009). Comparison of precipitation chemistry measurements obtained by the Canadian Air and Precipitation Monitoring Network and the National Atmospheric Deposition Program for the period 1995–2004. Environmental Monitoring and Assessment, 164, 111–132. doi:10.1007/s10661-009-0879-8.
Wetherbee, G. A., Latysh, N. E., & Chesney, T. A. (2010). U.S. Geological Survey External Quality-Assurance Project Report to the National Atmospheric Deposition Program / National Trends Network and Mercury Deposition Network, 2007-08. NADP Quality Assurance Report 2010-01, Illinois State Water Survey Miscellaneous Report 190, 82p.
Whitall, D., Hendrickson, B., & Paerl, H. (2003). Importance of atmospherically deposited nitrogen to the annual nitrogen budget of the Neuse River estuary, North Carolina. Environment International, 29, 393–399.
Willey, J. D., Kieber, R. J., & Avery, G. B. (2006). Changing chemical composition of precipitation in Wilmington, North Carolina, U.S.A.: implications for the continental U.S.A. Environmental Science and Technology, 40, 5675–5680.
Acknowledgments
This research was funded in part by the New Hampshire Agricultural Experiment Station. Additional funds were provided by NOAA AIRMAP and the University of New Hampshire Water Quality Analysis Laboratory. We thank Jody Potter for laboratory assistance.
Author information
Authors and Affiliations
Corresponding author
Rights and permissions
About this article
Cite this article
Liptzin, D., Daley, M.L. & McDowell, W.H. A Comparison of Wet Deposition Collectors at a Coastal Rural Site. Water Air Soil Pollut 224, 1558 (2013). https://doi.org/10.1007/s11270-013-1558-5
Received:
Accepted:
Published:
DOI: https://doi.org/10.1007/s11270-013-1558-5