A bibliometric visualization of the economics and sociology of wealth inequality: a world apart?
Abstract
Wealth inequality research is fragmented across different social science disciplines. This article explores the potential of interdisciplinary perspectives by investigating the thematic overlap between economic and sociological approaches to wealth inequality. To do so, we use the Web of Science citation database to identify pertinent articles on the topic of wealth inequality in each discipline (1990‒2017). On the basis of complete bibliographies of these selected articles, we construct co-citation networks and obtain thematic clusters. What becomes evident is a low thematic overlap: Economists explore the causes of wealth inequality based on mathematical models and study the interplay between inequality and economic growth. Sociologists focus mostly on wealth disparities between ethnic groups. The article identifies, however, a few instances of cross-disciplinary borrowing and the French economist Thomas Piketty as a novel advocate of interdisciplinarity in the field. The prospects of an economics-cum-sociology of wealth inequality are discussed in the conclusion.
Keywords
Wealth inequality Interdisciplinarity Co-citation networks VOSviewer PikettyRising disparities in ownership of private assets in the past few decades have become a matter of general concern that increasingly commands the attention of different disciplines: Historians, for example, chronicle the evolution of wealth inequality from the dawn of mankind to modernity (Scheidel 2017); social geographers map the locational habits and trajectories of the super-rich (Forrest et al. 2017); sociologists explore how disparities in family wealth impact opportunities across multiple generations (Hällsten and Pfeffer 2017); and economists give insights into the extent of the world’s money held in tax havens (Zucman 2015).
Most indicative for the increased salience of the topic is the landmark work Capital in the Twenty-First Century by the French economist Piketty (2014), which ranked among Amazon’s top 100 non-fiction bestsellers for four consecutive months (Brissaud and Chahsiche 2017). Its central argument is that modern societies are again characterized by a form of inheritance-based capitalism (“patrimonial capitalism”), in which a few people can generate a satisfactory income without the pain of work while the many own only very little. Recently Piketty, the leading figure in current wealth inequality research, has argued that only a reconciliation between economics and other social sciences such as sociology can promise new insights into the drivers of wealth inequality (Piketty 2017).
Some sociologists want to take up “Piketty’s challenge” (Savage 2014) and do not see the economic topic of wealth as lying beyond their discipline’s purview. But how likely is a reconciliation of economics and sociology when it comes to the analysis of wealth inequality? More generally, is fruitful interdisciplinary research on wealth inequality a realistic goal given the past discipline-specific research traditions?1
To explore the common ground between economics and sociology, this article examines past research on wealth inequality. By analyzing between 120 and 150 pertinent publications in each discipline, we identify dominant and commonly pursued discipline-specific lines of inquiry with the help of bibliometric visualization techniques and content analysis.
The main insights are as follows: In the last 30 years, economists and sociologists have approached the topic of wealth inequality quite differently. Economists analyzed the causes of rising wealth inequality as well as the role of life-cycle wealth versus inherited wealth using theoretical models that were only partly grounded in empirical evidence. Furthermore, the interplay between the unequal distribution of economic resources and economic growth was at the very center of many central studies in the discipline. In contrast, sociologists were mainly concerned with racial and ethnic wealth disparities.
The main conclusion of this paper is that future interdisciplinary research cannot build on historical experiences. Fundamentally, then, the future of the field as a vibrant interdisciplinary environment depends critically upon the establishment of educational institutions and platforms that foster interdisciplinary dialogue. While the prospects of such a future remain unclear, the French economist Thomas Piketty has already established himself in the field as the only leading figure pursuing an interdisciplinary research agenda.
Innovators and laggards
While wealth was central to many theories in classical economics (Smith 2010) as well as classical sociology (Marx 1981; Veblen 1965), pioneering investigations into disparities in asset ownership were conducted only by economists (and statisticians). Early empirically oriented researchers either conducted government research or were granted access to state-administered data. One of the leading scholars was George K. Holmes, the Chief of Division of Production and Distribution at the United States Department of Agriculture. Holmes extrapolated data on farm and home ownership in 22 states from the 1890 US census in order to derive nation-specific estimates on wealth inequality (Holmes 1893). It was at the 88th annual meeting of the American Statistical Association in 1926 that Wilford L. King, an economist at the National Bureau of Economic Research, presented results on wealth inequality that were derived for the first time from records of probated estates—thus, from non-census information (King 1927).
From the 1950s onwards, wealth inequality research gained considerable momentum, with economists applying improved methodologies to partly old data that were extracted in “anthropologist-like fashion from their entombment in census manuscripts, probate records and tax files” (Smith 1980, pp. 1–2). Robert Lampman, adviser to President John F. Kennedy’s Council of Economic Advisers, used estate tax returns to estimate the share of top wealth-holders (Lampman 1962). Robert Gallman and Lee C. Soltow, both professors of economics, published studies on wealth inequality, basing their analysis on samples drawn from the censuses of previous years which contained questions about wealth (Gallmann 1969; Soltow 1976).
The first researcher to apply the “estate-multiplier method” (that uses data reported on estate tax returns files for the deceased to estimate the wealth of the living population) was the economist Horst Menderhausen (Menderhausen 1956). With the launching of the Survey of Financial Characteristics of Consumers (SFCC), the research community started to use government-collected household microdata. The 1962 SFCC is also known as the “Projector Survey,” after Dorothy Projector, an economist working for the US Bureau of Labor Statistics. The SFCC—which was renamed as the Survey of Consumer Finances (SCF) has become the main data source for wealth research.
Already from this brief historical overview, it becomes evident that economists were the “innovators” in the field of empirical wealth research. According to Rogers (2003), “innovators” are those researchers who operate under uncertain conditions, since there are no prior models that could tell whether new (research) practices will turn out to be successful. In the field of wealth research, economists (with backgrounds in statistics) were the first to establish estimation methods such as the “estate multiplier method” or various survey modes to gain knowledge about private household balance sheets. While today these methodologies are commonly used, they were highly innovative at the time. Sociologists did not participate in these early methodological endeavors, and much evidence suggests that they were “laggards,” using methodological tools only after they had become firmly established in economics. The fact, however, that three literature reviews on wealth inequality have been published in recent years in the high-impact journal Annual Review of Sociology indicates that wealth research has found its way into sociology (Keister and Moller 2000; Killewald et al. 2017; Spilerman 2000). As both disciplines have produced a sizeable body of scholarly publications over the years, a cross disciplinary comparison appears meaningful.
Towards a bibliometric analysis of wealth inequality research
Building a Web of Science (WoS) citation database
In any field of scholarship, writers make judgments as to who has written about what. Their judgment is reflected in their citing practices. Even if there are good reasons to argue that citations should not be treated equally, previous studies demonstrate that (co-)citation analysis allows us visualize disciplines. By means of network analysis, one can easily find structure, as key writers show commonalities in how they judge the subject matter and intellectual style of other writers. Consensus on eminent contributors and works is not gained “by getting the people around a table to agree. [Rather, it] is defined behaviorally, as the citing practices of many writers, and it is gained unobtrusively, [mostly] through access to the citation data of the Institute for Scientific Information (ISI)” (White and McCain 1998, pp. 328–329).
ISI was founded by the linguist Eugene Garfield in 1960. In 1992, ISI was sold to the Thomson Reuters corporation (“Thomson IS”). Today, the citation indexing service is maintained by Clarivate Analytics. Thomson Reuters had already made its citation databases accessible online: Web of Science (previously known as ISI Web of Knowledge) includes various indexes, such as the Social Science Citation Index (SSCI, 1980‒present).2 The SSCI contains information from articles published in the most important high-impact scholarly journals in the social sciences. Each registered article is indexed, and the references in each article are extracted, which allows researchers to conduct (co-)citation analysis.
- (1)
It covers mainly (English-language) journal articles;
- (2)
It is limited to citations from journals indexed in the database while ignoring non-indexed journals;
- (3)
It does not count citations in the monographic literature; and
- (4)
It contains citing errors—for example, there are inconsistencies in the use of initials between journals.
-
Step 1: Retrieving bibliometric data from the Web of Science
- (a)
A broader search, by entering “topic terms” to search the following fields within a record: title, abstract, author keywords and keyword plus,4 or
- (b)
A narrow search for keywords and phrases in the titles of registered journal articles.
One can further refine search results by “WoS categories” and “timespan:” Journals covered by the WoS are assigned to at least one of 252 subject categories, among them being “sociology” and “economics;” the timespan can be selected by indicating the years that should be covered.
For economics (Nov. 14, 2017): 263 “hits”
-
TITLE: (wealth) AND TOPIC: (inequality)
-
Refined by:
-
WEB OF SCIENCE CATEGORIES: (ECONOMICS) AND DOCUMENT TYPES: (ARTICLE)
-
Timespan: 1990‒2017
-
Indexes: SSCI
For sociology (Nov. 14, 2017): 274 “hits”
-
TOPIC: (wealth AND inequality)
-
Refined by:
-
WEB OF SCIENCE CATEGORIES: (SOCIOLOGY) AND DOCUMENT TYPES: (ARTICLE)
-
Timespan: 1990‒2017
-
Indexes: SSCI
-
Step 2: Extracting bibliographic information
-
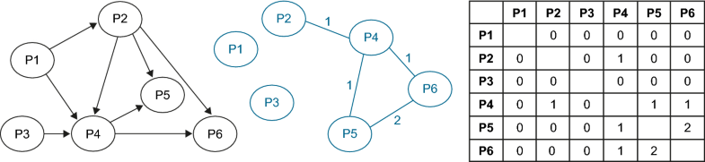
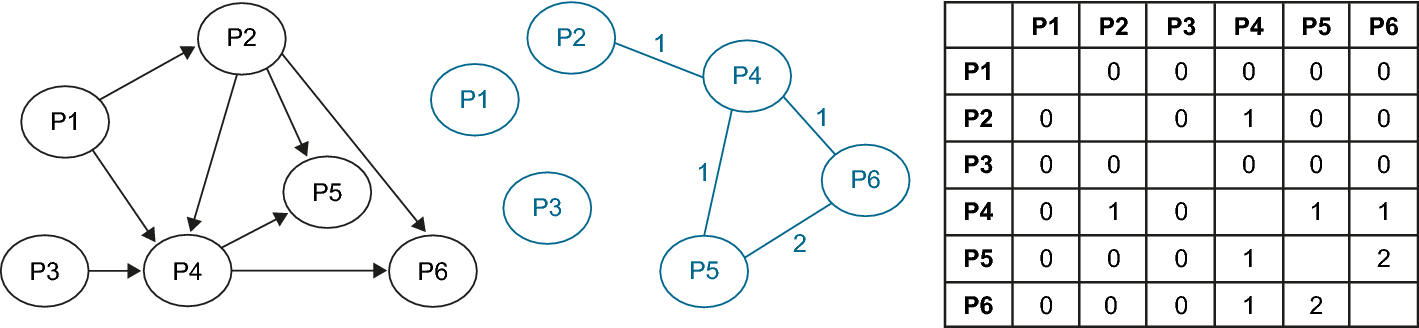
Step 3: Constructing co-citation networks
Directed citation network (in black), corresponding undirected co-citation network of publications (in blue), and a matrix representation of co-citations. (Color figure online)
We construct co-citation networks with the help of the software VOSviewer, which integrates well with WoS data.6 Publication matching is primarily done based on the digital object identifier (DOI). If DOI data is not available, matching is done in the case of journal articles based on the author’s surname, publication year, volume number, and the starting (and not the ending) page number (van Eck and Waltman 2014). In case of monographs, author’s surname, publication date, and book title are used.
-
Massey Douglas S., 1993, AM APARTHEID SEGREGA
-
Massey Douglas S., 1993, AM APARTHEID
-
Wolff E. N., 1995, TOP HEAVY STUDY INCR
-
Wolff E. N., 1995, TOP HEAVY INCREASING
-
Piketty T, 2003, Q J ECON, V118, P1, DOI 10.1162/00335530360535135
-
Piketty T, 2003, Q J ECON, V118, P1, DOI 10.1162/00335530360535135
-
Conley Dalton, 1999, BEING BLACK LIVING R
-
Conley Dalton, 2009, BEING BLACK LIVING R
-
Saez E., 2014, NBER WORKING PAPERS, V20625
-
Saez E., 2014, 20625 NBER
-
Spilerman S., 1993, SOCIAL THEORY SOCIAL, P165
-
Spilerman S., 1993, SOCIAL THEORY SOCIAL
WoS data accuracy is troubled as well by incorrect and missing references. In the first case, a reference is displaced by another one that has some similarities (e.g., name of the first author and perhaps first page number) but is in essence a completely different reference. Bibliometricians refer to these WoS references that are not to be found in the original articles as “phantom citations” (García-Pérez 2010). I was able to identify some phantom citations and replaced them with correct reference entries.
More vexing are references that are, for some reason, omitted in the WoS data. Unfortunately, it is impossible to systematically correct for this last type of error, which is well documented in the literature (Franceschini et al. 2015).
The (potential) error-proneness of the matching process of several thousand publications must be judged in the light of three crucial advantages inherent to the adopted approach: First, the sample is extended from a few hundred to several thousand publications. Second, by considering entire bibliographies taken from representative articles on wealth inequality, monographic literature is considered as well—which appears crucial, as previous research revealed that sociologists “attend to and cite leading books at even higher rates than they cite leading articles” (Sullivan 1994, p. 171). Third, the bibliographic information used is not necessarily limited to English-language literature.
Visualizing co-citation networks
-
Normalization In co-citation networks, popular nodes representing highly cited publications may differ greatly in terms of connections from less popular publications. To reduce differences between nodes in the number of edges, VOSviewer applies (by default) normalization. More information on this applied “association strength normalization” can be found in van Eck and Waltman (2009).
-
Mapping The aim of VOS is to provide a low-dimensional Euclidean space in which the objects 1, …, n are located in such a way that the distance between any pair of objects i and j reflects their similarity sij. Objects that have a high similarity should be located close to each other, whereas objects that have a low similarity should be located far from each other. The VOS mapping technique minimizes the function:
where the vector xi =(xi1, xi2) denotes the location of item i in a two-dimensional map, n the number of nodes in the network, and \(\left\| {x_{i} - x_{j} } \right\|\) denotes the Euclidean distances between nodes i and j (van Eck and Waltman 2010).$$V\left( {x_{1} , \ldots ,x_{n} } \right) = \mathop \sum \limits_{i < j} s_{ij} \left\| { x_{i} - x_{j} } \right\|^{2}$$ -
Clustering In co-citation networks, VOSviewer (by default) assigns nodes in a network to clusters—that is, to sets of closely related nodes. The VOSviewer clustering technique was developed by Waltman et al. (2010). Nodes are assigned to a cluster by maximizing the function
where \(c_{i}\) denotes the cluster to which node i is assigned; \(\delta \left( {c_{i} ,c_{j} } \right)\) a function that equals 1 if ci = cj and 0 otherwise; and γ a resolution parameter that determines the level of detail of clustering. The higher the value of γ, the larger the number of clusters that will be obtained. Publications that are assigned to the same clusters are likely to have a theme in common.$$V\left( {c_{i} , \ldots ,c_{n} } \right) = \mathop \sum \limits_{i < j} \delta \left( {c_{i} ,c_{j} } \right)\left( {s_{ij} - \gamma } \right)$$
Results
A thematically clustered map of wealth inequality research in sociology
Figure 1 displays the co-citation network for sociology. Considered are cited references that have at least five co-citation links. It turns out that 110 out of 12,251 cited references identified by VOSviewer fulfill this selection criterion. Therefore, the network contains 110 vertices, with each vertex standing for a single publication.
Publications are visualized by circles and labels. The size of the publication’s circle and label depends on the total strength of links of a given publication. To avoid overlapping labels, some labels may not be visible. The labels used contain only the first author and the publication date. The label “Oliver (1995),” for example, stands for the monograph Black Wealth/White Wealth published by Melvin L. Oliver and Thomas M. Shapiro in 1995. All labels and their corresponding full publication titles are to be found in the Online Appendix.
The color of an item is determined by the cluster to which the publication belongs. The distance between two publications indicates the strength of their relatedness in terms of co-citation links. The closer two publications are located to each other, the more often these publications tend to be listed in the investigated bibliographies. “Easterlin (1974),” for example, tends to be cited in the same bibliographies as ‘Wilkinson (2010),” but is never mentioned together with “Lauterbach (1996).” In contrast, publications in the center of the co-citation network, such as “Oliver (1995)” or “Keister (2000c)” tend to have co-citation links with many and thematically different publications. The same holds for clusters as well. Cluster 2 (in green) is located closer to Cluster 1 (in red) than to Cluster 3 (in blue-purple) because of the greater number of co-citation links between Clusters 2 and 1.
Visualization of the sociology of wealth inequality (co-citation network)
Notes: Number of vertices: 110; min. cluster size: 15; resolution parameter: 2.0; max. lines: 1300. (Color figure online)
Summary of the four thematic clusters in sociology
It is worth noting that the structure of the network is partly determined not only by content but also by exogenous factors such as common language and publication date. “Lauterbach (1996),” for example, is only loosely related to other publications in Cluster 1 because the article mainly refers to other German literature that is clearly underrepresented in the data set analyzed. Only recently published contributions such as Piketty’s Capital in the Twenty-First Century (“Piketty (2014)”) are more likely to have fewer co-citation links than work from earlier time periods. That is most likely the main reason why “Piketty (2006)” is more central to the network than “Piketty (2014).” As can be seen from Fig. 2, “Piketty (2014)” is mapped with Cluster 3 but (mistakenly) assigned to Cluster 4. Apparently, VOSviewer has difficulties allocating the right place to recent publications in a two-dimensional space, especially if these contributions additionally cross-cut different research domains, as “Piketty (2014)” does.
A thematically clustered map of wealth inequality research in economics
Visualization of the economics of wealth inequality (co-citation network).
Notes: Number of vertices: 146; min. cluster size: 20; resolution parameter: 2.0; max. lines: 1300. (Color figure online)
While for sociology, we almost see a “citation island” of economic work (“Easterlin (1974)”) that relates only loosely to other clusters, only a few selected publications (“Atack (1981),” “Steckel (1990)”) occupy distant network positions in economics—which is mostly explained by this rather isolated work’s particular interest in past episodes (e.g., wealth inequality before the American Civil War).
Summary of the five thematic clusters in economics
A second cluster gravitates around Franco Modigliani’s seminal contribution (“Modigliani (1988)”) on the relative magnitude of the two main sources of wealth: life-cycle savings and inter vivos transfers/bequests. Like the bulk of contributions in this cluster, Modigliani discusses the role of intergenerational transfers.8
The third cluster consists of highly associated publications that share similar topics with the second cluster (see Table 2). Representative for this research are models that link parents and children by (voluntary and accidental) bequests and by transmission of earnings ability (“overlapping-generational model”). These stylized mathematical models that focus on few causes and seek to show how their effects function in the system are then mapped against reality.9 In contrast, most authors in Cluster 2 tend to rely much more on inferences from (survey) data on savings and inheritance.
In the fourth cluster, research is mainly concerned with the trade-off between macroeconomic trends and the unequal distribution of material resources (see Table 2). “Galor (1993),” for example, reports evidence that cross-country differences in macroeconomic adjustment to aggregate shocks can be attributed to differences in wealth distributions across countries.
Publications in the fifth cluster are not concerned with top wealth shares (Cluster 1), empirical evidence on inheritance (Cluster 2), life-cycle models of savings (Cluster 3), or the relationship between economic growth and inequality (Cluster 4), but with macro models of wealth inequality. The “model builders” that belong to Cluster 5 try to come up with theory-based mathematical frameworks on the determinants of real wealth inequality (e.g., entrepreneurship, intergenerational links, rate of return, heterogeneity in savings rates, public policies). A typical workhorse model is the “Bewley model,” in which people (“agents”) save in order to self-insure against earnings shocks to smooth their consumption.
As already observed in Fig. 2, publications that cross-cut different research domains are positioned between the various clusters. Obvious examples in Fig. 3 are “BeckerG. (1979)” and “Kuznets (1955).”
Validating cluster results using computer-aided content analysis
Different researchers employ different vocabulary in academic writing. It is likely that we will find a higher word similarity between the work of social scientists writing on the same topic than between scientists with different research specializations. Text analysis is thus another appropriate tool to identify distinct research domains (Griffiths and Steyvers 2004).
In the following section, we will examine the distinctiveness of each cluster’s semantic profile by applying purely descriptive word frequency counts.10 Considered are English-language journal articles (of similar length) only. If a given journal article is included in the JSTOR archive, we made use of the “JSTOR Data for Research”11 service, which generates n-grams (contiguous sequences of n words) from archived texts. All other articles had to be converted from a pdf to an ASCII (text) format before conducting text analysis with Yoshikoder.12
What is counted is the number of times a given word (1-g) such as “inheritance” appears in the texts belonging to a given cluster. We assume here that such a simple approach, which treats text as “bags of words” and thus ignores where in the text words occur, is able to reveal the overall topic contained in already clustered texts.
The 30 most frequent terms in the sociology of wealth inequality
| Cluster 1 28 journal articles min. pages: 4 max. pages: 46 total pages: 623 JSTOR n-grams: 18 | Cluster 2 16 journal articles min. pages: 9 max. pages: 38 total pages: 321 JSTOR n-grams: 14 | Cluster 3 15 journal articles min. pages: 5 max. pages: 68 total pages: 403 JSTOR n-grams: 12 | Cluster 4 13 journal articles min. pages: 12 max. pages: 49 total pages: 327 JSTOR n-grams: 7 |
|---|---|---|---|
| 1-g | |||
| wealth income age social net transfers household percent worth assets children family data economic market inheritance effect inequality table parents years white education bequests black differences inheritances capital value cycle | housing racial hispanic home black blacks income differences social whites white equity wealth race characteristics groups ownership ethnic hispanics households percent household effect homeownership data inequality status segregation research minority | inequality income wealth family top size financial distribution social resources data model families effect children wage economic states united labor countries time process transfers capital number research tax educational effects | income happiness well- being economic social life utility data people health countries individual satisfaction level relative status inequality time subjective individuals consumption average country research effect states growth economics evidence |
| Most frequent co-occurrences | |||
| net worth family structure top income income inequality wealth accumulation household wealth wealth ownership top incomes intergenerational transfers household income financial assets top 1 percent capital income family wealth parental wealth parental resources tax data | home ownership housing equity housing market housing appreciation ethnic groups residential segregation racial differences household income wealth inequality housing inequality racial and ethnic groups wealth accumulation | United States top income family structure income inequality top incomes financial troubles capital gains capital income top 1 percent educational attainment | subjective well-being life satisfaction income inequality life cycle utility function economic growth job satisfaction |
The 30 most frequent terms in the economics of wealth inequality
| Cluster 1 27 journal articles min. pages: 7 max. pages: 67 total pages: 839 JSTOR n-grams: 19 | Cluster 2 27 journal articles min. pages: 4 max. pages: 48 total pages: 500 JSTOR n-grams: 20 | Cluster 3 27 journal articles min. pages: 4 max. pages: 54 total pages: 688 JSTOR n-grams: 18 | Cluster 4 24 journal articles min. pages: 11 max. pages: 51 total pages: 662 JSTOR n-grams: 21 | Cluster 5 21 journal articles min. pages: 4 max. pages: 41 total pages: 544 JSTOR n-grams: 13 |
|---|---|---|---|---|
| 1-g | ||||
| wealth income percent top tax wage inequality data changes distribution saving age estate share table period wages capital relative time economic risk rate years total consumption shares net series high | wealth age earnings income percent inequality distribution life data table children inheritance economic estate transfers rate bequests sample cycle model year real years family capital results value growth time estates | income wealth consumption model earnings age life rate growth data function cycle transfer time saving equation households estimates distribution household tax interest capital economic period year value net stock effect | income growth inequality capital wealth distribution rate health economic model countries economy human data investment saving effect level poor results credit time higher high rates period equilibrium average social individual | wealth income model distribution equity rate capital earnings private data percent households time economy value returns consumption return growth tax aggregate age labor function period household economic public law firms |
| Most frequent co-occurrences | ||||
| top income capital gains net worth capital income household wealth saving rate top wealth wealth distribution wealth inequality tax data top 1 percent income inequality top wealth share | life cycle real estate household wealth inherited wealth personal wealth wealth inequality intergenerational transfer wealth inequality wealth transfer human capital age group family size wealth distribution social security wealth accumulation | life cycle interest rate growth rate wealth distribution labor income net worth human capital precautionary saving net worth intergenerational transfer wealth inequality Euler equation discount rate utility function parameter value time preference | human capital income distribution income inequality economic growth saving rate growth rate capital accumulation physical capital wealth distribution interest rate social security political instability | wealth inequality wealth distribution saving rate private equity time preference interest rate discount rate life cycle estate tax income distribution public equity labor income capital income growth rate income tax net worth power law |
The neglect of (sociological) books leads to a list of keywords for Cluster 3 that features, among other things, word combinations such as “top income” or “top 1 percent” (as several articles by Piketty are contained in the very same cluster). One has to treat these results with caution, as the inclusion of sociological books contained in the cluster would certainly reveal different keywords. As expected, words and word combinations such as “health,” “happiness,” “subjective well-being,” and “life satisfaction” dominate Cluster 4.
On a more general level, one can conclude that while word frequency analysis confirms the fractal divisions detected by network analysis, no cluster is monothematic. Text analysis reveals, for example, that different research streams such as articles on the happiness-wealth and the health-wealth nexus are clustered together. The many commonalities of these specialized literatures are, however, self-evident.
While content analysis clearly characterizes Cluster 1 in economics as containing work based on time series data and visualizing the changing top shares of income and wealth, the results show fewer differences in keywords between Cluster 2 and Cluster 3, as expected. The obvious reason is that both thematic clusters feature research on the role of life-cycle and inherited wealth. However, the different usage of word combinations such as “utility function” or “parameter value” hint at substantially different methodological approaches pursued in both clusters. Research contained in Cluster 3 uses economic models to uncover, for example, the significance of inherited wealth. These models are supposed to mimic reality, and parameters are typically calibrated based on key assumptions. A second step tests whether these models can produce aggregate wealth statistics observed in the real world. In contrast, research in Cluster 2 is marked by a different epistemological preference: Conclusions are derived inductively from empirical evidence. “Wolff (1994)” in Cluster 2, for example, reports results on trends in household wealth without reference to any economic model.
The outstanding salience of co-occurrences such as “economic growth,” “human capital,” “growth rate,” or “political instability” characterize Cluster 4 as featuring texts that discuss politico-economic differences between countries and how these relate to the distribution of wealth. Cluster 5 contains fewer unique keywords. What becomes evident is that this cluster of texts, which use models to explore the underlying causes of wealth inequality, is substantially less concerned with top wealth shares (Cluster 1), the role of life-cycle and inherited wealth (Clusters 2 and 3), and the trade-off between economic growth/development and inequality (Cluster 4). In essence, research in Cluster 5 features various models that are supposed to unearth the underlying forces (i.e., heterogeneity in rates of return) that drive wealth inequality.
In general, one can thus conclude that the simplest of all text-mining algorithms proves the distinctiveness of all thematic clusters.
The joint co-citation network: who bridges gaps in the social fabric of wealth inequality research?
The analysis has so far revealed different research paradigms and a few communalities between economics and sociology. We will continue by examining in detail whose research connects the otherwise mostly disconnected discipline-specific literatures. Scholars acting as intermediaries between research traditions are crucial in enabling knowledge transmission between disciplines, which is a necessary condition for any (future) interdisciplinary endeavor to address the complex problem of wealth inequality.
A joint visualization of the economics and sociology of wealth inequality (co-citation network).
Notes: Number of vertices: 70; max. lines: 500; literature in grey appears only in the co-citation network of economics (see Fig. 3), literature in red appears only in the co-citation network of sociology (see Fig. 2), and literature in green is part of both disciplinary co-citation networks (see Figs. 2, Fig. 3). (Color figure online)
First, the work of the economist Edward N. Wolff made the most inroads into sociology. Wolff contributed to different topics such as the historical evolution of wealth trends, wealth top shares and the role of inherited wealth that are all of utmost interest to sociologists. What is more, his quantitative analyses of the Survey of Consumer Finances (SCF) do not rely on model assumptions and can be understood by non-economists. Thus, both the wide thematic scope and his intellectual style make Wolff´s work attractive to sociologists.
Second, the debate on the quantitative importance of bequests in wealth accumulation sparked by economists such as Laurence J. Kotlikoff, Franco Modigliani and continued by others such as William G. Gale became a cornerstone in the sociology literature. The many cross-links to this type of economic literature indicates that sociologists imported methodological insights on how to best measure inherited wealth from economics.
Third, Piketty´s work appears to contain significant resources for sociologists. The sociologist Savage (2014) identified three reasons for the Piketty´s outstanding reception in sociology.13 His repertoire of assembling vast data into a powerful visual template, his historical orientation, and finally his conceptualization of a ‘elite’ class (“the top 1 percent”) chime closely with dominant research paradigms in contemporary sociology.
In line with previous work on interdisciplinary citation patterns (Fourcade et al. 2015), we find sociologists citing economists rather than the other way around. Clearly, work originating from sociologists is rarely, if at all, taken up by economists, which in turn makes interdisciplinary learning one-sided. The reasons for the limited reception of sociological work in economics appear to be not only due to different research interests but are also attributable to different methodological standards. The sociological literature does not build on the mathematical models that are the ‘golden standard’ in economics, making knowledge transfer from sociology to economics more difficult.
Conclusion
At least since Schumpeter’s death in 1950, the isolation of economics from the other social sciences has grown considerably (Swedberg 1991). Some social scientists react to the prevailing division of labor (“economists study the economy, sociologists the society minus the economy”) by launching new paradigms such as “socio-economics” (Etzioni 1988, 2003), “economic sociology” (Aspers and Dodd 2015; Smelser and Swedberg 1994), or “institutional economics” (Hodgson 2000). Most recently, the French economist Thomas Piketty has called for a reconciliation between economics and the social sciences in wealth inequality research (Piketty 2017). Piketty criticizes the current state of (mathematical) economics for relying on models that are ill-suited to capture (historical) real-world trends in wealth inequality and bemoans the neglect of the political and social foundations of economics. In fact, one of his main conclusions in Capital in the Twenty-First Century is that “one should be wary of any economic determinism in regard to inequalities of wealth […]. The history of the distribution of wealth has always been deeply political, and it cannot be reduced to purely economics mechanisms” (Piketty 2014, p. 20).
While Piketty’s seminal study on the evolution of wealth inequality provided an impetus for many scholars to think about how different social science disciplines could potentially enrich the study of wealth disparities in the future (see the 2014 “Piketty Symposium” in the British Journal of Sociology, Vol. 65(4)), this article looked backwards. It investigated whether any thematic proximity exists in wealth inequality research between economics and sociology as a similar thematic spectrum appears to be a necessary requirement for successful inter-disciplinary approaches.
Based on co-citation mapping techniques, different research domains were identified for each discipline. It has become apparent that what applies to poverty research holds true for research on wealth inequality as well: “If we ask academics why poor [rich] people are poor [rich] …different disciplines will answer …in their own unique ways: each with certain kinds of data, certain methods, certain habits of thinking about the problem” (Abbott 2001, p. 142).
In sociology, there is a strong and lasting research tradition of investigating racial and ethnic wealth disparities, and insights are mostly gained by inference from survey data. In economics, model-based theories on the causes of (overall) wealth inequality, the impact of (overall) wealth inequality on economic growth, and the role of life-cycle versus inherited wealth were identified as being key to the economics of wealth inequality. While cross-linkages and intellectual debates between the different camps of economists are easy to observe (De Nardi et al. 2015), cross-disciplinary dialogue between economics and sociology was in the past clearly the exception rather than the rule.
The analysis also showed that the ‘wall of silence’ between the two disciplines was broken several times. Sociologists incorporated economists´ methods to accurately assess the role of inherited wealth, cited economists´ analyses on top wealth shares and on the long-term evolution of wealth inequality. It is revealing that the imported economics literature is not based on complex mathematics and thus easily accessible to non-economists. These rare examples of dialogue across disciplinary boundaries point to cross-disciplinary rather than interdisciplinary research (Hulme and Toye 2006): Researchers did not primarily aim at a deep integration of two or more disciplinary approaches but based their studies on the results or methods of two disciplines.
The only significant representative of interdisciplinary research in the field is the French economist Thomas Piketty. One might think of him as an “institutional entrepreneur” (DiMaggio 1988) who is able to engage diverse groups in a meaning-making project. According to Godechot (2017), Piketty´s time series results on top wealth shares will increasingly serve sociologists as a “dependent variable” that is to be explained through social factors rather than economic processes.
While the future of economics-cum-sociology approaches in the field of wealth inequality research remains to be seen, this research reveals that future interdisciplinary endeavors cannot build on past ones. An interdisciplinary future thus requires substantially intensified “inter-disciplinary encounters” (Bridle et al. 2013), graduate programs that do not prioritize specialization but interactions across disciplines (Schmidt et al. 2012), and funding agencies that promote interdisciplinary research (König and Gorman 2016), otherwise the existing professional incentives to stay within disciplinary confines will help perpetuating the current situation in which disciplines simply borrow from each other without engaging in real dialogue.
Footnotes
- 1.
I use the term “interdisciplinary” in a strict sense to refer to research that aims at integrating frameworks from different disciplines and to explore research questions which would not arise within the boundaries of a single discipline.
- 2.
- 3.
Since 2004, two other tools are available (Scopus and Google Scholar). Each of the three available databases provides sufficient stability of coverage to be used for detailed cross-disciplinary comparisons (Harzing and Alakangas 2016), and each has its relative strengths and weaknesses (Mongeon and Paul-Hus 2016). I have chosen the WoS as the main source because of its large coverage of journals and its compatibility with other software tools used in this article.
- 4.
“Author keywords” refers to the original keywords provided by contributors, while “keyword plus” stands for keywords retrieved from an auto-indexing system that may include important terms not mentioned in the title, the abstract, or the author keywords. “Keyword plus” terms are generated by an automatic computer algorithm and are reported to capture an article’s content with great depth and variety (Börner et al. 2003).
- 5.
As with any other possible search strategy, the approach adopted here is not able to harvest all journal articles on wealth inequality. For example, articles in the WoS category ‘sociology’ that use different terminology such as inequality in asset ownership are overlooked. In the WoS category ‘economics’, the approach fails to capture all articles that address the issue of wealth inequality but whose title does not contain the word ‘wealth’. This bias is, however, remedied by the fact the analysis concentrates on references contained in the selected articles that considerably broaden the scope of literature covered.
- 6.
VOS stands for “visualization of similarities.” The software VOSviewer is freely available here: www.vosviewer.com. VOSviewer is a mapping and clustering program for network data developed by Ludo Waltman and Nees Jan van Eck, based at the Centre for Science and Technology Studies at the University of Leiden.
- 7.
It should be noted that the work of both scholars builds on collective efforts involving many other scholars, including Emmanuel Saez, Gabriel Zucman, and Facundo Alvaredo. In Capital in the Twenty-First Century, Piketty (2014) therefore warns the reader that the book is not to be considered a one-man opus.
- 8.
Franco Modigliani, the “father” of the life-cycle hypothesis, showed that over 80% of net worth in the USA can be explained by life-cycle saving (Modigliani 1988). More recent research, however, estimates that inherited wealth makes up more than 70% of private total wealth in France today.
- 9.
Models in economics are different from physical models used by architects since they do not attempt to describe the real world but rather a hypothetical world. One can thus think of economic models as “theoretical cases” (Gilboa et al. 2014), which help us understand economic problems by drawing analogies between the model and the problem.
- 10.
Most of the specialized literature identifies research domains through the use of “topic models,” which are essentially algorithms applied to massive collections of documents. Here, however, we are dealing with too few texts to apply Dirichlet allocation, which is at the very base of every topic model.
- 11.
- 12.
The conversion was performed with Yoshikoder Converter. Yoshikoder was developed by Will Lowe as part of the Identity Project at Harvard´s Weatherhead Center for International Affairs. The website can be found at: http://www.yoshikoder.org.
- 13.
It appears noteworthy that Piketty distances himself from mathematical versions of the discipline in favour of more interdisciplinary framings: “I see economics as a subdiscipline of the social sciences, alongside history, sociology, anthropology, and political science” (Piketty 2014, p. 573).
Notes
Acknowledgements
Open access funding provided by Max Planck Society.
Supplementary material
References
- Abbott, A. (2001). Chaos of disciplines. Chicago: University of Chicago Press.Google Scholar
- Aspers, P., & Dodd, N. (Eds.). (2015). Re-imagining economic sociology. Oxford: Oxford University Press.Google Scholar
- Börner, K., Chen, C., & Boyack, K. W. (2003). Visualizing knowledge domains. Annual Review of Information Science and Technology, 37(1), 179–255.Google Scholar
- Bridle, H., Vrieling, A., Cardillo, M., Araya, Y., & Hinojosa, L. (2013). Preparing for an interdisciplinary future: A perspective from early-career researchers. Futures, 53, 22–32.Google Scholar
- Brissaud, C., & Chahsiche, J.-M. (2017). How to become an international intellectual? The case of Thomas Piketty and “Capital in the Twenty-First Century”. Sociologica, 1, 1–38.Google Scholar
- De Nardi, M., Fella, G., & Yang, F. (2015). Piketty´s Book and Macro Models of Wealth Inequality. National Bureau of Economic Research, NBER Working Paper 21730. Cambridge, MA.Google Scholar
- DiMaggio, P. (1988). Interest and agency in institutional theory. In L. G. Zucker (Ed.), Institutional patterns and organizations: Culture and environment (pp. 3–21). Cambridge, MA: Ballinger Publishing Company.Google Scholar
- Etzioni, A. (1988). The moral dimension: Toward a new economics. New York: Free Press.Google Scholar
- Etzioni, A. (2003). Toward a new socio-economic paradigm. Socio-Economic Review, 1(1), 105–118.Google Scholar
- Forrest, R., Koh, S. Y., & Wissink, B. (Eds.). (2017). Cities and the super-rich: Real estate, elite practices, and urban political economies. New York, NY: Palgrave Macmillan.Google Scholar
- Fourcade, M., Ollion, E., & Algan, Y. (2015). The superiority of economists. Journal of Economic Perspectives, 29, 89–114.Google Scholar
- Franceschini, F., Maisano, D., & Mastrogiacomo, L. (2015). Influence of omitted citations on the bibliometric statistics of the major manufacturing journals. Scientometrics, 103(3), 1083–1122.Google Scholar
- Gallmann, R. E. (1969). Trends in the size and distribution of wealth and income. In L. Soltow (Ed.), Six papers on the size and distribution of wealth and income (pp. 1–30). New York: Columbia University Press.Google Scholar
- García-Pérez, M. A. (2010). Accuracy and completeness of publication and citation records in the Web of Science, PsycINFO, and Google Scholar: A case study for the computation of h indices in Psychology. Journal of the American Society for Information Science and Technology, 61(10), 2070–2085.Google Scholar
- Gilboa, I., Postlewaite, A., Samuelson, L., & Schmeidler, D. (2014). Economic models as analogies. The Economic Journal, 124(578), F513–F533.Google Scholar
- Godechot, O. (2017). Inequality: A Piketty et al. moment in the social sciences. Sociology the European Electronic Newsletter, 19(1), 1–6.Google Scholar
- Griffiths, T. L., & Steyvers, M. (2004). Finding scientific topics. Proceedings of the National Academy of Sciences, 101(Suppl. 1), 5228–5235.Google Scholar
- Hällsten, M., & Pfeffer, F. T. (2017). Grand advantage: Family wealth and grandchildren’s educational achievement in Sweden. American Sociological Review, 82(2), 328–360.Google Scholar
- Harzing, A.-W., & Alakangas, S. (2016). Google Scholar, Scopus and the Web of Science: A longitudinal and cross-disciplinary comparison. Scientometrics, 106(2), 787–804.Google Scholar
- Hodgson, G. M. (2000). What is the essence of institutional economics? Journal of Economic Issues, 34(2), 317–329.Google Scholar
- Hodgson, G. M. (2014). What is capital? Economists and sociologists have changed its meaning: should it be changed back? Cambridge Journal of Economics, 38(5), 1063–1086.Google Scholar
- Holmes, G. K. (1893). The concentration of wealth. Political Science Quarterly, 8(4), 589.Google Scholar
- Hulme, D., & Toye, J. (2006). The case for cross-disciplinary social science research on poverty, inequality and well-being. Journal of Development Studies, 42(7), 1085–1107.Google Scholar
- Keister, L. A., & Moller, S. (2000). Wealth inequality in the United States. Annual Review of Sociology, 26(1), 63–81.Google Scholar
- Killewald, A., Pfeffer, F. T., & Schachner, J. N. (2017). Wealth inequality and accumulation. Annual Review of Sociology, 43(1), 379–404.Google Scholar
- King, W. I. (1927). Wealth distribution in the continental United States at the close of 1921. Journal of the American Statistical Association, 22(158), 135–153.Google Scholar
- König, T., & Gorman, M. E. (2016). The Oxford handbook of interdisciplinarity. In R. Frodeman (Ed.), The challenge of funding interdisciplinary research: A look inside public research funding agencies (Vol. 1, pp. 513–524). Oxford: Oxford University Press.Google Scholar
- Lamont, M. (2009). How professors think: Inside the curious world of academic judgement. Cambridge, MA: Harvard University Press.Google Scholar
- Lampman, R. J. (1962). The Share of Top Wealth-Holders in National Wealth, 1922–56. Princeton, NJ: Princeton University Press.Google Scholar
- Leydesdorff, L. (2011). Bibliometrics/citation networks. In G. A. Barnett (Ed.), Encyclopedia of social networks (pp. 72–74). Los Angeles: Sage Publications.Google Scholar
- Marx, K. (1981). Capital: A critique of political economy. London: Penguin Books.Google Scholar
- Menderhausen, H. (1956). Introduction. In R. W. Goldsmith & D. S. Brady (Eds.), A study of savings in the United States (Vol. 3, pp. 277–381). New York: Greenwood Press.Google Scholar
- Modigliani, F. (1988). The role of intergenerational transfers and life cycle saving in the accumulation of wealth. Journal of Economic Perspectives, 2(2), 15–40.Google Scholar
- Mongeon, P., & Paul-Hus, A. (2016). The journal coverage of Web of Science and Scopus: A comparative analysis. Scientometrics, 106(1), 213–228.Google Scholar
- Piketty, T. (2014). Capital in the Twenty-First Century. Cambridge, MA: The Belknap Press of Harvard University Press.Google Scholar
- Piketty, T. (2017). Toward a reconciliation between economics and the social sciences. In H. Boushey, J. B. De Long, & M. Steinbaum (Eds.), After Piketty: The agenda for economics and inequality (pp. 543–566). Cambridge, MA: Harvard University Press.Google Scholar
- Rogers, E. M. (2003). Diffusion of innovations. New York: Free Press.Google Scholar
- Savage, M. (2014). Piketty’s challenge for sociology: Piketty’s challenge for sociology. The British Journal of Sociology, 65(4), 591–606.MathSciNetGoogle Scholar
- Scheidel, W. (2017). The great leveler. Violence and the history of inequality from the stone age to the Twenty-First Century. Princeton: Princeton University Press.Google Scholar
- Schmidt, A. H., Robbins, A. S. T., Combs, J. K., Freeburg, A., Jesperson, R. G., Rogers, H. S., et al. (2012). A new model for training graduate students to conduct interdisciplinary, interorganizational, and international research. BioScience, 62(3), 296–304.Google Scholar
- Smelser, N. J., & Swedberg, R. (Eds.). (1994). The handbook of economic sociology. Princeton: Princeton University Press.Google Scholar
- Smith, A. (2010). The Wealth of Nations: An inquiry into the nature and causes of the Wealth of Nations. Chichester: Capstone.Google Scholar
- Smith, J. D. (1980). Introduction. In J. D. Smith (Ed.), Modeling the distribution and intergenerational transmission of wealth (pp. 1–8). Chicago: University of Chicago Press.Google Scholar
- Soltow, L. (1976). Men and wealth in the United States, 1850–1870. New Haven: Yale University Press.Google Scholar
- Spilerman, S. (2000). Wealth and stratification processes. Annual Review of Sociology, 26(1), 497–524.Google Scholar
- Sullivan, T. A. (1994). Genre in sociology: The case for the monograph. In R. J. Simon & J. J. Fyfe (Eds.), Editors as Gatekeepers: Getting Published in the Social Sciences (pp. 159–175). Lanham: Rowman & Littlefield.Google Scholar
- Swedberg, R. (1991). The economics and sociology of capitalism. Princeton, NJ: Princeton University Press.Google Scholar
- van Eck, N. J., & Waltman, L. (2009). How to normalize cooccurrence data? An analysis of some well-known similarity measures. Journal of the American Society for Information Science and Technology, 60(8), 1635–1651.Google Scholar
- van Eck, N. J., & Waltman, L. (2010). Software survey: VOSviewer, a computer program for bibliometric mapping. Scientometrics, 84(2), 523–538.Google Scholar
- van Eck, N. J., & Waltman, L. (2014). Visualizing bibliometric networks. In Y. Ding, R. Rousseau, & D. Wolfram (Eds.), Measuring scholarly impact: Methods and practice (pp. 285–320). Heidelberg: Springer. Accessed April 19, 2018.Google Scholar
- Veblen, T. (1965). The theory of the leisure class. New York: Kelley.Google Scholar
- Waltman, L., van Eck, N. J., & Noyons, E. C. M. (2010). A unified approach to mapping and clustering of bibliometric networks. Journal of Informetrics, 4(4), 629–635.Google Scholar
- White, H. D., & McCain, K. W. (1998). Visualizing a discipline: An author co-citation analysis of information science, 1972–1995. Journal of the American Society for Information Science, 49(4), 327–355.Google Scholar
- Yang, K., & Meho, L. I. (2007). Citation analysis: A comparison of Google Scholar, Scopus, and Web of Science. Proceedings of the American Society for Information Science and Technology, 43(1), 1–15.Google Scholar
- Zucman, G. (2015). The hidden wealth of nations: The scourge of tax havens. Chicago: The University of Chicago Press.Google Scholar
- Zupic, I., & Čater, T. (2015). Bibliometric methods in management and organization. Organizational Research Methods, 18(3), 429–472.Google Scholar
Copyright information
Open AccessThis article is distributed under the terms of the Creative Commons Attribution 4.0 International License (http://creativecommons.org/licenses/by/4.0/), which permits unrestricted use, distribution, and reproduction in any medium, provided you give appropriate credit to the original author(s) and the source, provide a link to the Creative Commons license, and indicate if changes were made.





