Skip to main content

Management of Paracetamol Overdose

Current Controversies

Abstract

Paracetamol (acetaminophen) is one of the most frequently used analgesics, and is the most commonly used substance in self-poisoning in the US and UK. Paracetamol toxicity is manifested primarily in the liver. Treatment with N-acetylcysteine (NAC), if started within 10 hours from ingestion, can prevent hepatic damage in most cases.

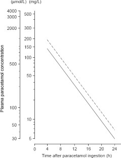
Pharmacokinetic data relating plasma paracetamol concentration to time after ingestion have been used to generate a ‘probable hepatoxicity line’ to predict which cases of paracetamol overdose will result in hepatotoxicity and should be treated with NAC. However, later studies use a 25% lower line as their ‘possible hepatotoxicity line’. Although adopting the original line may save considerable resources, further studies are needed to determine whether such an approach is safe.

On the basis of the metabolism of paracetamol, several risk factors for paracetamol toxicity have been proposed. These risk factors include long term alcohol (ethanol) ingestion, fasting and treatment with drugs that induce the cytochrome P450 2E1 enzyme system. Although some studies have suggested that these risk factors may be associated with worse prognosis, the data are inconclusive. However, until further evidence is available, we suggest that the lower line should be used when risk factors are present.

In Canada and the UK, the intravenous regimen for NAC is used almost exclusively; in the US, an oral regimen is used. Both regimens have been shown to be effective. There is no large scale study with direct comparison between these 2 therapeutic protocols and controversy still exists as to which regimen is superior.

During the last few years there has been an increase in the number of reports of liver failure associated with prolonged paracetamol administration for therapeutic reasons. The true incidence of this phenomenon is not known. We suggest testing liver enzyme levels if a child has received more than 75 mg/kg/day of paracetamol for more than 24 hours during febrile illness, and to treat with NAC when transaminase levels are elevated.

Paracetamol overdose during pregnancy should be treated with either oral or intravenous NAC according to the regular protocols in order to prevent maternal, and potentially fetal, toxicity. Unless severe maternal toxicity develops, paracetamol overdose does not appear to increase the risk for adverse pregnancy outcome.

This is a preview of subscription content, access via your institution.

Fig. 1

References

  1. Kogan MD, Pappas G, Yu SM, et al. Over-the-counter medication use among US preschool-age children. JAMA 1994; 272: 1025–30

    PubMed  CAS  Article  Google Scholar 

  2. Bialas MC, Reid PG, Beck P, et al. Changing patterns of self-poisoning in a UK health district. Q J Med 1996; 89: 893–901

    CAS  Article  Google Scholar 

  3. Hawton K, Fagg J, Simkin S, et al. Deliberate self-harm in adolescents in Oxford, 1985-1995. J Adolesc 2000; 23: 47–55

    PubMed  CAS  Article  Google Scholar 

  4. McLoone P, Crombie IK. Hospitalisation for deliberate self-poisoning in Scotland from 1981 to 1993: trends in rates and types of drugs used. Br J Psychiatry 1996; 169: 81–5

    PubMed  CAS  Article  Google Scholar 

  5. Litovitz TL, Klein-Schwartz W, White S, et al. 1999 annual report of the American Association of Poison Control Centers Toxic Exposure Surveillance System. Am J Emerg Med 2000; 18: 517–74

    PubMed  CAS  Article  Google Scholar 

  6. Clements JA, Critchley JA, Prescott LF. The role of sulphate conjugation in the metabolism and disposition of oral and intravenous paracetamol in man. Br J Clin Pharmacol 1984; 18: 481–5

    PubMed  CAS  Article  Google Scholar 

  7. Dahlin DC, Miwa GT, Lu AY, et al. N-acetyl-p-benzoquinone imine: a cytochrome P-450-mediated oxidation product of acetaminophen. Proc Natl Acad Sci U S A 1984; 81: 1327–31

    PubMed  CAS  Article  Google Scholar 

  8. Mitchell JR, Jollow DJ, Potter WZ, et al. Acetaminopheninduced hepatic necrosis. IV: protective role of glutathione. J Pharmacol Exp Ther 1973; 187: 211–7

    PubMed  CAS  Google Scholar 

  9. Schiodt FV, Atillasoy E, Shakil AO, et al. Etiology and outcome for 295 patients with acute liver failure in the United States. Liver Transpl Surg 1999; 5: 29–34

    PubMed  CAS  Article  Google Scholar 

  10. Schiodt FV, Rochling FA, Casey DL, et al. Acetaminophen toxicity in an urban county hospital. N Engl J Med 1997; 337: 1112–7

    PubMed  CAS  Article  Google Scholar 

  11. Williams R. Classification, etiology, and considerations of outcome in acute liver failure. Semin Liver Dis 1996; 16: 343–8

    PubMed  CAS  Article  Google Scholar 

  12. Akca S, Suleymanlar I, Tuncer M, et al. Isolated acute renal failure due to paracetamol intoxication in an alcoholic patient. Nephron 1999; 83: 270–1

    PubMed  CAS  Article  Google Scholar 

  13. Ammenti A, Ferrante R, Spagna A. Renal impairment without hepatic damage after acetaminophen overdose. Pediatr Nephrol 1999; 13: 271–2

    PubMed  CAS  Google Scholar 

  14. Prescott LF, Roscoe P, Wright N, et al. Plasma-paracetamol half-life and hepatic necrosis in patients with paracetamol overdosage. Lancet 1971; I: 519–22

    Article  Google Scholar 

  15. Prescott LF. Treatment of severe acetaminophen poisoning with intravenous acetylcysteine. Arch Intern Med 1981; 141: 386–9

    PubMed  CAS  Article  Google Scholar 

  16. Roth B, Woo O, Blanc P. Early metabolic acidosis and coma after acetaminophen ingestion. Ann Emerg Med 1999; 33: 452–6

    PubMed  CAS  Article  Google Scholar 

  17. Eckardt KU, Willam C, Frei U. Severe hypophosphataemia in paracetamol-induced oliguric renal failure. Nephrol Dial Transplant 1999; 14: 2013–4

    PubMed  CAS  Article  Google Scholar 

  18. Wright RO, Perry HE, Woolf AD, et al. Hemolysis after acetaminophen overdose in a patient with glucose-6-phosphate dehydrogenase deficiency. J Toxicol Clin Toxicol 1996; 34: 731–4

    PubMed  CAS  Article  Google Scholar 

  19. Mofenson HC, Caraccio TR, Nawaz H, et al. Acetaminophen induced pancreatitis. J Toxicol Clin Toxicol 1991; 29: 223–30

    PubMed  CAS  Article  Google Scholar 

  20. Gursoy M, Haznedaroglu IC, Celik I, et al. Agranulocytosis, plasmacytosis, and thrombocytosis followed by a leukemoid reaction due to acute acetaminophen toxicity. Ann Pharmacother 1996; 30: 762–5

    PubMed  CAS  Google Scholar 

  21. McNamara RM, Aaron CK, Gemborys M, et al. Sorbitol catharsis does not enhance efficacy of charcoal in a simulated acetaminophen overdose. Ann Emerg Med 1988; 17: 243–6

    PubMed  CAS  Article  Google Scholar 

  22. Yeates PJ, Thomas SH. Effectiveness of delayed activated charcoal administration in simulated paracetamol (acetaminophen) overdose. Br J Clin Pharmacol 2000; 49: 11–4

    PubMed  CAS  Article  Google Scholar 

  23. Buckley NA, Whyte IM, O’Connell DL, et al. Activated charcoal reduces the need for N-acetylcysteine treatment after acetaminophen (paracetamol) overdose. J Toxicol Clin Toxicol 1999; 37: 753–7

    PubMed  CAS  Article  Google Scholar 

  24. Krenzelok EP, McGuigan M, Lheur P. Position statement: ipecac syrup. American Academy of Clinical Toxicology; European Association of Poisons Centres and Clinical Toxicologists. J Toxicol Clin Toxicol 1997; 35: 699–709

    PubMed  CAS  Article  Google Scholar 

  25. Vale JA. Position statement: gastric lavage. American Academy of Clinical Toxicology; European Association of Poisons Centres and Clinical Toxicologists. J Toxicol Clin Toxicol 1997; 35: 711–9

    PubMed  CAS  Article  Google Scholar 

  26. Rumack BH, Peterson RC, Koch GG, et al. Acetaminophen overdose. 662 cases with evaluation of oral acetylcysteine treatment. Arch Intern Med 1981; 141: 380–5

    PubMed  CAS  Article  Google Scholar 

  27. Smilkstein MJ, Knapp GL, Kulig KW, et al. Efficacy of oral N-acetylcysteine in the treatment of acetaminophen overdose. Analysis of the national multicenter study (1976 to 1985). N Engl J Med 1988; 319: 1557–62

    PubMed  CAS  Article  Google Scholar 

  28. Perry HE, Shannon MW. Efficacy of oral versus intravenous N-acetylcysteine in acetaminophen overdose: results of an open-label, clinical trial. J Pediatr 1998; 132: 149–52

    PubMed  CAS  Article  Google Scholar 

  29. Slattery JT, Wilson JM, Kalhorn TF, et al. Dose-dependent pharmacokinetics of acetaminophen: evidence of glutathione depletion in humans. Clin Pharmacol Ther 1987; 41: 413–8

    PubMed  CAS  Article  Google Scholar 

  30. Miners JO, Drew R, Birkett DJ. Mechanism of action of paracetamol protective agents in mice in vivo. Biochem Pharmacol 1984; 33: 2995–3000

    PubMed  CAS  Article  Google Scholar 

  31. Kigawa G, Nakano H, Kumada K, et al. Improvement of portal flow and hepatic microcirculatory tissue flow with N-acetylcysteine in dogs with obstructive jaundice produced by bile duct ligation. Eur J Surg 2000; 166: 77–84

    PubMed  CAS  Article  Google Scholar 

  32. Vale JA, Meredith TJ, Goulding R. Treatment of acetaminophen poisoning. The use of oral methionine. Arch Intern Med 1981; 141: 394–6

    PubMed  CAS  Article  Google Scholar 

  33. Prescott LF, Sutherland GR, Park J, et al. Cysteamine, methionine, and penicillamine in the treatment of paracetamol poisoning. Lancet 1976; II: 109–13

    Article  Google Scholar 

  34. Rumack BH, Matthew H. Acetaminophen poisoning and toxicity. Pediatrics 1975; 55: 871–6

    PubMed  CAS  Google Scholar 

  35. Buckley NA, Whyte IM, O’Connell DL, et al. Oral or intravenous N-acetylcysteine: which is the treatment of choice for acetaminophen (paracetamol) poisoning? J Toxicol Clin Toxicol 1999; 37: 759–67

    PubMed  CAS  Article  Google Scholar 

  36. Smilkstein MJ, Bronstein AC, Linden C, et al. Acetaminophen overdose: a 48-hour intravenous N-acetylcysteine treatment protocol. Ann Emerg Med 1991; 20: 1058–63

    PubMed  CAS  Article  Google Scholar 

  37. Anderson BJ, Holford NH, Armishaw JC, et al. Predicting concentrations in children presenting with acetaminophen overdose. J Pediatr 1999; 135: 290–5

    PubMed  CAS  Article  Google Scholar 

  38. Sato C, Nakano M, Lieber CS. Prevention of acetaminophen-induced hepatotoxicity by acute ethanol administration in the rat: comparison with carbon tetrachloride-induced hepatoxicity. J Pharmacol Exp Ther 1981; 218: 805–10

    PubMed  CAS  Google Scholar 

  39. Sato C, Matsuda Y, Lieber CS. Increased hepatotoxicity of acetaminophen after chronic ethanol consumption in the rat. Gastroenterology 1981; 80: 140–8

    PubMed  CAS  Google Scholar 

  40. Bray GP, Mowat C, Muir DF, et al. The effect of chronic alcohol intake on prognosis and outcome in paracetamol overdose. Hum Exp Toxicol 1991; 10: 435–8

    PubMed  CAS  Article  Google Scholar 

  41. Zimmerman HJ, Maddrey WC. Acetaminophen (paracetamol) hepatotoxicity with regular intake of alcohol: analysis of instances of therapeutic misadventure. Hepatology 1995; 22: 767–73

    PubMed  CAS  Article  Google Scholar 

  42. Makin A, Williams R. Paracetamol hepatotoxicity and alcohol consumption in deliberate and accidental overdose. Q J Med 2000; 93: 341–9

    CAS  Article  Google Scholar 

  43. Whitcomb DC, Block GD. Association of acetaminophen hepatotoxicity with fasting and ethanol use. JAMA 1994; 272: 1845–50

    PubMed  CAS  Article  Google Scholar 

  44. Prescott LF. Paracetamol, alcohol and the liver. Br J Clin Pharmacol 2000; 49: 291–301

    PubMed  CAS  Article  Google Scholar 

  45. Price VF, Schulte JM, Spaethe SM, et al. Mechanism of fastinginduced suppression of acetaminophen glucuronidation in the rat. Adv Exp Med Biol 1986; 197: 697–706

    PubMed  CAS  Article  Google Scholar 

  46. Price VF, Miller MG, Jollow DJ. Mechanisms of fasting-induced potentiation of acetaminophen hepatotoxicity in the rat. Biochem Pharmacol 1987; 36: 427–33

    PubMed  CAS  Article  Google Scholar 

  47. Vogt BL, Richie Jr JP. Fasting-induced depletion of glutathione in the aging mouse. Biochem Pharmacol 1993; 46: 257–63

    PubMed  CAS  Article  Google Scholar 

  48. Langley SC, Kelly FJ. Differing response of the glutathione system to fasting in neonatal and adult guinea pigs. Biochem Pharmacol 1992; 44: 1489–94

    PubMed  CAS  Article  Google Scholar 

  49. Newman TJ, Bargman GJ. Acetaminophen hepatotoxicity and malnutrition. Am J Gastroenterol 1979; 72: 647–50

    PubMed  CAS  Google Scholar 

  50. Young CR, Mazure CM. Fulminant hepatic failure from acetaminophen in an anorexic patient treated with carbamazepine. J Clin Psychiatry 1998; 59: 622

    PubMed  CAS  Article  Google Scholar 

  51. Blouin RA, Dickson P, McNamara PJ, et al. Phenobarbital induction and acetaminophen hepatotoxicity: resistance in the obese Zucker rodent. J Pharmacol Exp Ther 1987; 243: 565–70

    PubMed  CAS  Google Scholar 

  52. Douidar SM, Ahmed AE. Anovel mechanism for the enhancement of acetaminophen hepatotoxicity by phenobarbital. J Pharmacol Exp Ther 1987; 240: 578–83

    PubMed  CAS  Google Scholar 

  53. Kalhorn TF, Lee CA, Slattery JT, et al. Effect of methylxanthines on acetaminophen hepatotoxicity in various induction states. J Pharmacol Exp Ther 1990; 252: 112–6

    PubMed  CAS  Google Scholar 

  54. Poulsen HE, Lerche A, Pedersen NT. Phenobarbital induction does not potentiate hepatotoxicity but accelerates liver cell necrosis from acetaminophen overdose in the rat. Pharmacology 1985; 30: 100–8

    PubMed  CAS  Article  Google Scholar 

  55. Lupo S, Yodis LA, Mico BA, et al. In vivo and in vitro hepatotoxicity and metabolism of acetaminophen in Syrian hamsters. Toxicology 1987; 44: 229–39

    PubMed  CAS  Article  Google Scholar 

  56. Smith JA, Hine ID, Beck P, et al. Paracetamol toxicity: is enzyme induction important? Hum Toxicol 1986; 5: 383–5

    PubMed  CAS  Article  Google Scholar 

  57. Minton NA, Henry JA, Frankel RJ. Fatal paracetamol poisoning in an epileptic. Hum Toxicol 1988; 7: 33–4

    PubMed  CAS  Article  Google Scholar 

  58. Bray GP, Harrison PM, O’Grady JG, et al. Long-term anticonvulsant therapy worsens outcome in paracetamol-induced fulminant hepatic failure. Hum Exp Toxicol 1992; 11: 265–70

    PubMed  CAS  Article  Google Scholar 

  59. Crippin JS. Acetaminophen hepatotoxicity: potentiation by isoniazid. Am J Gastroenterol 1993; 88: 590–2

    PubMed  CAS  Google Scholar 

  60. Nolan CM, Sandblom RE, Thummel KE, et al. Hepatotoxicity associated with acetaminophen usage in patients receiving multiple drug therapy for tuberculosis. Chest 1994; 105: 408–11

    PubMed  CAS  Article  Google Scholar 

  61. Ekins BR, Ford DC, Thompson MI, et al. The effect of activated charcoal on N-acetylcysteine absorption in normal subjects. Am J Emerg Med 1987; 5: 483–7

    PubMed  CAS  Article  Google Scholar 

  62. Chan TY, Critchley JA. Adverse reactions to intravenous Nacetylcysteine in Chinese patients with paracetamol (acetaminophen) poisoning. Hum Exp Toxicol 1994; 13: 542–4

    PubMed  CAS  Article  Google Scholar 

  63. Yip L, Dart RC, Hurlbut KM. Intravenous administration of oral N-acetylcysteine. Crit Care Med 1998; 26: 40–3

    PubMed  CAS  Article  Google Scholar 

  64. Hershkovitz E, Shorer Z, Levitas A, et al. Status epilepticus following intravenous N-acetylcysteine therapy. Isr J Med Sci 1996; 32: 1102–4

    PubMed  CAS  Google Scholar 

  65. Reynard K, Riley A, Walker BE. Respiratory arrest after N-acetylcysteine for paracetamol overdose. Lancet 1992; 340: 675

    PubMed  CAS  Article  Google Scholar 

  66. Harrison PM, Keays R, Bray GP, et al. Improved outcome of paracetamol-induced fulminant hepatic failure by late administration of acetylcysteine. Lancet 1990; 335: 1572–3

    PubMed  CAS  Article  Google Scholar 

  67. Keays R, Harrison PM, Wendon JA, et al. Intravenous acetylcysteine in paracetamol induced fulminant hepatic failure: a prospective controlled trial. BMJ 1991; 303: 1026–9

    PubMed  CAS  Article  Google Scholar 

  68. Eriksson LS, Broome U, Kalin M, et al. Hepatotoxicity due to repeated intake of low doses of paracetamol. J Intern Med 1992; 231: 567–70

    PubMed  CAS  Article  Google Scholar 

  69. Blake KV, Bailey D, Zientek GM, et al. Death of a child associated with multiple overdoses of acetaminophen. Clin Pharm 1988; 7: 391–7

    PubMed  CAS  Google Scholar 

  70. Rivera-Penera T, Gugig R, Davis J, et al. Outcome of acetaminophen overdose in pediatric patients and factors contributing to hepatotoxicity. J Pediatr 1997; 130: 300–4

    PubMed  CAS  Article  Google Scholar 

  71. Pershad J, Nichols M, King W. ‘The silent killer’: chronic acetaminophen toxicity in a toddler. Pediatr Emerg Care 1999; 15: 43–6

    PubMed  CAS  Article  Google Scholar 

  72. Morton NS, Arana A. Paracetamol-induced fulminant hepatic failure in a child after 5 days of therapeutic doses. Paediatr Anaesth 1999; 9: 463–5

    PubMed  CAS  Article  Google Scholar 

  73. Heubi JE, Barbacci MB, Zimmerman HJ. Therapeutic misadventures with acetaminophen: hepatoxicity after multiple doses in children. J Pediatr 1998; 132: 22–7

    PubMed  CAS  Article  Google Scholar 

  74. Miles FK, Kamath R, Dorney SF, et al. Accidental paracetamol overdosing and fulminant hepatic failure in children. Med J Aust 1999; 171: 472–5

    PubMed  CAS  Google Scholar 

  75. Heubi JE, Bien JP. Acetaminophen use in children: more is not better. J Pediatr 1997; 130: 175–7

    PubMed  CAS  Google Scholar 

  76. Kai J. What worries parents when their preschool children are acutely ill, and why: a qualitative study. BMJ 1996; 313: 983–6

    PubMed  CAS  Article  Google Scholar 

  77. Blumenthal I. What parents think of fever. Fam Pract 1998; 15: 513–8

    PubMed  CAS  Article  Google Scholar 

  78. Simon HK, Weinkle DA. Over-the-counter medications. Do parents give what they intend to give? Arch Pediatr Adolesc Med 1997; 151: 654–6

    PubMed  CAS  Article  Google Scholar 

  79. Smilkstein MJ. Acetaminophen. In: Godfrank LR, Flomenbaum NE, Lewin NA, et al., editors. Goldfrank’s Toxicologic Emergencies. 6th ed. Stamford (CT): Appleton & Lange, 1998: 541-64

  80. Rayburn W, Aronow R, DeLancey B, et al. Drug overdose during pregnancy: an overview from a metropolitan poison control center. Obstet Gynecol 1984; 64: 611–4

    PubMed  CAS  Google Scholar 

  81. Weigand UW, Chou RC, Maulik D, et al. Assessment of biotransformation during transfer of propoxyphene and acetaminophen across the isolated perfused human placenta. Pediatr Pharmacol (New York) 1984; 4: 145–53

    CAS  Google Scholar 

  82. Yaffe SJ, Rane A, Sjoqvist F, et al. The presence of a monooxygenase system in human fetal liver microsomes. Life Sci II 1970; 9: 1189–200

    PubMed  CAS  Article  Google Scholar 

  83. Selden BS, Curry SC, Clark RF, et al. Transplacental transport of N-acetylcysteine in an ovinemodel. Ann Emerg Med 1991; 20: 1069–72

    PubMed  CAS  Article  Google Scholar 

  84. Horowitz RS, Dart RC, Jarvie DR, et al. Placental transfer of N-acetylcysteine following human maternal acetaminophen toxicity. J Toxicol Clin Toxicol 1997; 35: 447–51

    PubMed  CAS  Article  Google Scholar 

  85. Wang PH, Yang MJ, Lee WL, et al. Acetaminophen poisoning in late pregnancy. A case report. J Reprod Med 1997; 42: 367–71

    PubMed  CAS  Google Scholar 

  86. Rosevear SK, Hope PL. Favourable neonatal outcome following maternal paracetamol overdose and severe fetal distress. Case report. Br J Obstet Gynaecol 1989; 96: 491–3

    PubMed  CAS  Article  Google Scholar 

  87. Ludmir J, Main DM, Landon MB, et al. Maternal acetaminophen overdose at 15 weeks of gestation. Obstet Gynecol 1986; 67: 750–1

    PubMed  CAS  Article  Google Scholar 

  88. McElhatton PR, Sullivan FM, Volans GN. Paracetamol overdose in pregnancy analysis of the outcomes of 300 cases referred to the Teratology Information Service. Reprod Toxicol 1997; 11: 85–94

    PubMed  CAS  Article  Google Scholar 

Download references

Acknowledgements

Dr Eran Kozer is a recipient of a fellowship grant from the Research Training Center, The Hospital for Sick Children, Toronto, Canada.

Author information

Affiliations

Authors

Corresponding author

Correspondence to Eran Kozer.

Rights and permissions

Reprints and Permissions

About this article

Cite this article

Kozer, E., Koren, G. Management of Paracetamol Overdose. Drug-Safety 24, 503–512 (2001). https://doi.org/10.2165/00002018-200124070-00003

Download citation

  • Published:

  • Issue Date:

  • DOI: https://doi.org/10.2165/00002018-200124070-00003

Keywords

  • Paracetamol
  • Liver Injury
  • Paracetamol Overdose
  • Ipecac
  • Paracetamol Concentration