Abstract
This study was conducted to explore the effect of kerosene, gasoline, or diesel, on the health status of Nile tilapia, Oreochromis niloticus (L.). Healthy fish (49.5 ± 1.3 g) were exposed to 0.01% (v/v) CPFs in glass aquaria for 5 min and then returned to clean freshwater for 4 weeks. Signs of poisoning in intoxicated fish were air gulping, increased opercular movement, loss of balance, and dyspnea. At the end of this experiment, fish were collected, counted, and weighed. Fish in the control group grew gradually up to the end of the experiment; their growth was better than those exposed to any of CPFs. Moreover, weight gain, specific growth rate, feed intake, feed conversion ratio, and survival rate of the exposed fish were poor when compared to the control fish group. The physiological variables including red blood cells (RBCs) and hemoglobin content in fish exposed to CPFs changed by time. The maximum count of RBCs was obtained at the 1st week, and decreased gradually to the 4th week. The glucose and cortisol levels were maximized after the exposure to kerosene, diesel or gasoline and decreased gradually to the end of the experiment. Plasma lipid, protein, aspartate aminotransferase, and alanine aminotransferase in the exposed fish were significantly altered by CPF exposure. They were gradually close to the control values after 3 to 4 weeks of recovery. This study concluded that the acute exposure to CPFs significantly reduced the growth performance of Nile tilapia and significantly affected its physiological status, which may be recovered after awhile.
Background
Pollution, which is caused by the spilling of commercial petroleum fuels (CPFs), is a major environmental constraint that causes toxic effects in aquatic ecosystems. The main CPF sources in aquatic ecosystems are the leakage of oil transport pipelines, storage tanks, and accidents involving petroleum transport vehicles. The mining of oil shale reserves may also pose a risk to freshwater ecosystems. A variety of pollutants including crude oil and its products are known to induce stress conditions, which impair the health of aquatic life (Kori-Siakpere 2000; Agbogidi et al. 2005). Earlier reports have also shown that oil pollution impacts negatively on fishery resources (Kilnhold 1980). Ekweozor (1989) reported that frequent spillage of crude oil and its products in creeks and rivers may have resulted in a marked reduction in the number of both freshwater and marine organisms. Azad (2005) observed that eggs and young stages (fingerlings) of fishes are especially vulnerable to the toxic effects of crude oil and its refined products. The ecophysiological effects of crude oil on Machaerium lunatus had also been reported by (Bamidele and Agbogidi 2006).
Nile tilapia, Oreochromis niloticus (L.), is native to Egypt and widely distributed all over the world (El-Sayed 2006). This species has been used previously in laboratory studies and has been shown to be a suitable organism for monitoring the effects of xenobiotics. This study used Nile tilapia as a model to measure the potential toxic effects of CPFs on fish performance and to test the ability of this fish species to recover from the exposure effect. Therefore, the present study has been undertaken to evaluate the physiological alterations of Nile tilapia following the acute exposure to kerosene, gasoline, and diesel.
Materials and methods
Fish culture regime
The study was done in accordance with the code of ethics of the World Medical Association for animal experiments (Declaration of Helsinki).
Healthy Nile tilapia, O. niloticus (L.), were obtained from the nursery ponds, Central Laboratory for Aquaculture Research, Abbassa, Abo-Hammad, Sharqia, Egypt. All 120 fish (49.5 ± 1.3 g) were acclimated in indoor tanks for 2 weeks where they fed on a commercial diet containing 20% crude protein (CP). After the acclimation period, the fish were distributed into eight 120-L glass aquaria at a ratio of 15 fish per aquarium.
Kerosene, gasoline, and diesel were brought from a commercial gas station, and their specific gravities were 740, 700, and 820 g/L, respectively. Twelve milliliters of kerosene, gasoline, or diesel were separately added to six aquaria, and they were vigorously mixed with the aquaria water. Fish were then stocked into the aquaria containing kerosene, diesel, or gasoline for 5 min. Fish were then transferred into other 120-L aquaria containing dechlorinated tap water and left to recover for 4 weeks. Each treatment was represented by two aquaria. In the control group, fish were placed in dechlorinated tap water and were not exposed to any CPF. All aquaria were supplied with compressed air from air pumps via airstones. During the recovery trial, fish were fed on 25% CP up to satiation twice daily at 9:00 and 14:00 h, 5 days a week for 4 weeks. The total feed intake for each aquarium was calculated as a summation of the given feed amounts during the feeding days. Fish in each aquarium were weekly group-weighed, and dead fish were removed and recorded daily. Three-quarters of the water in each aquarium were siphoned every day to remove fish excreta and replaced by well-aerated water provided from a storage fiberglass tank.
The blood samples were taken, after transfer from the treated water to the dechlorinated water within 1 h of the end of the 5-min exposure, to represent zero time for the sample. At 1, 2, 3, and 4 weeks of the recovery period, blood samples were taken to measure the different physiological variables.
Fish performance
At the end of the experiment, the fish were collected, counted, and weighed. Growth performance was determined, and feed utilization was calculated as following: (a) specific growth rate (SGR; percentage per day) = 100 (Ln W2− Ln W1)/T, where W1 and W2 are the initial and final weights, respectively, and T is the number of days in the experimental period; and (b) feed conversion ratio (FCR) = feed intake (g)/weight gain (g).
Physiological measurements
Fish were not fed during the 24 h immediately prior to blood sampling for all sampling dates. Two fish from each aquarium were anesthetized with buffered tricaine methanesulfonate (30 mg/L), and blood was collected from the caudal vasculature in Eppendorf tubes containing 500 U of sodium heparinate/mL, used as an anticoagulant. Blood was used for red blood cell (RBC) count (Dacie and Lewis 1984) and hemoglobin (Hb) content (van Kampen and Zijlstra 1961). The plasma was obtained by centrifugation at 3,000 rpm for 15 min, and the non-hemolyzed plasma was stored at −20°C for further assays. Total lipid and total protein contents in plasma were determined colorimetrically according to (Joseph et al. 1972) and (Henry 1964), respectively. Concentrations of aspartate aminotransferase (AST) and alanine aminotransferase (ALT) in plasma were determined colorimetrically according to (Reitman and Frankel 1957). Glucose was determined colorimetrically according to (Trinder 1969). Plasma cortisol levels were measured by radioimmunoassay as previously validated by (Chiu et al. 2003).
Statistical analysis
The obtained data were subjected to Kolmogorov-Smirnov and Cochran's tests for normality and homogeneity of variance, respectively. The data were homogenous and showed normal distribution. Data were analyzed using a two-way ANOVA with fuel sources and time intervals as factors. Statistical significance was set at the 5% probability level, and means were separated using Duncan's new multiple range test. The software SPSS version 10 (SPSS, Richmond, USA) was used as described by (Dytham 1999).
Results and discussion
Fish subjected to CPF pollution were removed from the tanks after 5-min exposure. During this period, symptoms of poisoning in exposed fish were air gulping, increased opercular movement, loss of balance, and dyspnea. Meanwhile, no symptoms of poisoning were observed in control fish. The increased respiration of fish suggested that fish had respiratory problems. Furthermore, these pollutants have been reported to cause structural damage to the respiratory lamellae of the gills (Poirier et al. 1986; Correa and Garcia 1990; Prasad 1991), to impede gas exchange, and result in hypoxemia (Perry et al. 1989; Ristori and Laurent 1989; Randall and Perry 1992). In addition, the fusion of secondary lamellae, gill hyperplasia, and edema have been reported in fish exposed to petroleum hydrocarbons (Correa and Garcia 1990; Prasad 1991; Dede and Kaglo 2001).
The growth of fish in the control group was gradual and continued until the end of the experiment. Meanwhile, the growth of fish exposed to the three CPFs was ceased for 2 weeks; then, they started to grow again (Figure 1). The maximum fish growth was observed in the control fish group (P < 0.05, Table 1). Moreover, weight gain and SGR of fish exposed to diesel or gasoline were less than those exposed to kerosene. Feed intake, FCR, and survival rate of the fish exposed to treatments were significantly low when compared to the control fish group.
The obtained results, herein, indicated that CPFs had negative impacts on fish performance and survival. However, CPF-exposed fish consumed low feed amounts and ceased to grow, suggesting that CPF exposure may lead to a reduction in fish appetite or complete fish fasting causing growth retardation. The findings of this study were in concomitant with (Kicheniuk and Khan 1981) and (Kori-Siakpere 2000) who reported that fish exposed to water soluble fractions (WSFs) of crude oil could result in reduced feed intake and low body weight. (Dede and Kaglo 2001) reported that the survival of Nile tilapia decreased by increasing concentration of diesel fuel. Additionally, delayed growth and reduced survival of pink salmon (Onchorhynchys gorbuscha) embryos had been observed following their exposure to crude oil (Heintz et al. 2000). In a juvenile turbot study, fish exposed to higher concentrations of the petroleum fuel exhibited reduced growth and feed consumption (Saborido-Rey et al. 2007).
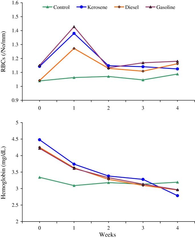
Red blood cell counts in CPF-exposed fish increased with time. The maximum RBC count was observed during the 1st week. Subsequently, RBC counts decreased gradually up to the 4th week (Figure 2). Hemoglobin content in the blood of Nile tilapia increased suddenly after their exposure to CPFs and decreased with time, and reached control levels at the end of the experiment (Figure 2). These results are in concomitant with (Alkindi et al. 1996) who found significant increases in RBC and Hb contents after 3-h exposure of flounder to 50% WSF of crude oil. These increases may be due to the release of catecholamines, which stimulate splenic release of erythrocytes to aid O2 carrying capacity, to avoid difficulties in respiration due to stimulation of Na+/H+ exchange in erythrocytes, and increase the hemoglobin-oxygen affinity (Kita and Itazawa 1990; Pearson et al. 1992; Alkindi et al. 1996).
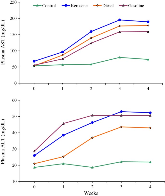
Plasma lipids in CPF-exposed fish decreased, while plasma protein increased significantly with time increase (Figure 3). At the end of the experiment, in CPF-exposed fish, plasma lipid contents were lower; meanwhile, plasma protein contents were higher than that of the control group fish. Moreover, activities of plasma AST and ALT in CPF-exposed fish increased gradually, reaching their maxima after 3 to 4 weeks of recovery (Figure 4). The control fish exhibited the lowest AST and ALT activities, which did not significantly differ throughout the experimental period.
The fluctuation in plasma lipids, protein, AST, and ALT may be due to the disturbance in metabolic pathways due to CPF exposure. In addition, the increase in AST and ALT activities are indicative of liver damage, which might have occurred due to the exposure to CPF and, hence, lead to the leakage of these enzymes into the blood. In this regard, (Martin-Skilton et al. 2008) demonstrated that acute exposure of juvenile turbot, Scophthalmus maximus, to the Prestige fuel oil elicits alterations in some hepatic biotransformation enzymes with different sensitivities. (Pollino and Holdway 2003) reported that short-term exposure of petroleum hydrocarbons to rainbow fish potentially alter metabolic and detoxification enzymes, with metabolic enzymes recovering after depuration (17 days).
Glucose level was maximized after CPF exposure and decreased gradually up to the end of the experiment (Figure 5). Glucose levels in CPF-exposed fish were higher than those of control fish. Moreover, plasma cortisol in CPF-exposed fish increased suddenly and decreased gradually up to the end of the experiment (Figure 5). Moreover, the cortisol value was significantly affected by the CPF source, and the CPF order was kerosene > gasoline > diesel. Plasma cortisol was lower in the control fish compared to the CPF-exposed fish.
The rise in glucose and cortisol concentrations indicates a stress-induced mobilization of energy reserves. These results are similar to those reported by (Alkindi et al. 1996) who found that the exposure of flounders to a 50% dilution of the WSF of Omani crude oil, containing a mix of aromatic hydrocarbons (benzenes, toluene, and xylenes, and lower amounts of naphthalenes), resulted in a progressive increase in plasma cortisol concentrations continuing over the 48-h exposure period. Moreover, cortisol has a direct effect on carbohydrate metabolism by stimulating glycogenolysis and gluconeogenesis. However, cortisol also interacts with catecholamines which may exert pronounced effects in the immediate stages of stress (Wright et al. 1989; Vijayan and Moon 1994; Vijayan et al. 1994).
Conclusion
This study has conclusively demonstrated that the acute exposure to CPF significantly reduced the growth performance of Nile tilapia and affected their physiological status. The study also showed that Nile tilapia can serve as a bio-indicator of CPF toxicity. Particular attention should also be given to CPF process aimed at minimizing their toxicity to the aquatic ecosystem.
References
Agbogidi OM, Okonta BC, Dolor DE: Socio-economic and environmental impact of crude oil exploration and production on agricultural production: a case study of Edjeba and Kokori communities in Delta in Nigeria. Glob J Environ Sci 2005, 4: 171–176.
Alkindi A, Brown J, Waring C, Collins J: Endocrine, osmoregulatory, respiratory and hematological parameters in flounder exposed to the water soluble fraction of crude oil. J Fish Biol 1996, 49: 1291–1305. 10.1111/j.1095-8649.1996.tb01796.x
Azad M: Toxicity of water-soluble fractions of four fuels on Metamysidopsis insularis , an indigenous tropical mysid species. Environ Monit Assess 2005, 104: 37–44. 10.1007/s10661-005-6400-0
Bamidele JF, Agbogidi OM: The effects of soil pollution by crude oil on seedling growth of Machaerium lunatus (L) G.F.W. (MEG). Discov Innov 2006, 18: 104–108.
Chiu SK, Collier CP, Clark AF, Wynn-Edwards KE: Salivary cortisol on ROCHE Elecsys immunoassay system: pilot biological variation studies. Clin Biochem 2003, 36: 211–214. 10.1016/S0009-9120(02)00471-X
Correa M, Garcia HI: Physiological responses of juvenile white mullet, Mugil curema , exposed to benzene. Bull Environ Contam Toxicol 1990, 44: 428–434. 10.1007/BF01701225
Dacie JV, Lewis SM: Practical haematology. 6th edition. Churchill Livingstone, London, UK; 1984.
Dede EB, Kaglo HO: Aqua-toxicological effects of water soluble fraction (WSF) of diesel fuel on Oreochromis niloticus fingerlings. J Appl Sci Environ Manag 2001, 5: 93–96.
Dytham C: Choosing and using statistics: a biologist's guide. Blackwell Science Ltd, London, UK; 1999.
Ekweozor IKE: A review of the effects of oil pollution in West African environment. Discov Innov 1989, 1: 27–37.
El-Sayed A-FM: Tilapia culture. CABI Publishing, Willingford, Oxfordshire, UK; 2006.
Heintz RA, Rice SD, Wertheimer AC, Bradshaw RF, Thrower FP, Joyce JE: Delayed effects on growth and marine survival of pink salmon Oncorhynchus gorbuscha after exposure to crude oil during embryonic development. Mar Ecol Prog Ser 2000, 208: 205–216.
Henry RJ: Clinical Chemistry: principles and techniques. Harper and Row Publications, New York, USA; 1964.
Joseph A, Knight M, Anderson S, James M, Rawie H: Chemical basis of the sulfophospho-vanillin reaction for estimating total serum lipid. Clin Chem 1972, 18: 198–201.
Kicheniuk JW, Khan RA: Effect of petroleum hydrocarbons on Atlantic cod Gardus following chronic exposure. Can J Zool 1981, 65: 490–494.
Kilnhold WW: Some aspects of the impact of aquatic oil pollution on fisheries resources. FAO/UNDP South China Sea, Fisheries, Development and Co-ordinary Program, Manila, Philippines; 1980.
Kita J, Itazawa Y: Effects of adrenaline on the blood flow through the spleen of rainbow trout ( Salmo gairdneri ). Comp Biochem Physiol 1990,95(A):591–595.
Kori-Siakpere O: Petroleum induced alterations in the African catfish, Clarias gariepinus (Teugels 1984): II. Growth factors. Nig J Sci Environ 2000, 2: 87–92.
Martin-Skiltona R, Saborido-Rey F, Portea C: Endocrine alteration and other biochemical responses in juvenile turbot exposed to the Prestige fuel oil. Sci Total Environ 2008, 404: 68–76. 10.1016/j.scitotenv.2008.06.006
Pearson M, Kraak G, Stevens ED: In vivo pharmacology of spleen contraction in rainbow trout. Canad J Zool 1992, 70: 625–627. 10.1139/z92-091
Perry SF, Kinkead R, Gallaugher P, Randall DJ: Evidence that hypoxemia promotes catecholamine release during hypercapnic acidosis in rainbow trout ( Salmo gairdneri ). Resp Physiol 1989, 77: 351–364. 10.1016/0034-5687(89)90122-9
Poirier A, Laurencin FB, Bodennecm G, Quentel C: Intoxication experimentale de la truite arc-en ciel Salmo gairdneri Richardson, par du gas-oil moteur: modifications haematologiques, histologie. Aquaculture 1986, 55: 115–137. 10.1016/0044-8486(86)90067-0
Pollino CA, Holdway DA: Hydrocarbon-induced changes to metabolic and detoxification enzymes of the Australian crimson-spotted rainbow fish ( Melanotaenia fluviatilis ). Environ Toxicol 2003, 18: 21–28. 10.1002/tox.10098
Prasad MS: SEM study on the effects of crude oil on the gills and airbreathing organs of climbing perch Anabas testudineus . Bull Environ Contam Toxicol 1991, 47: 882–889. 10.1007/BF01689519
Randall DJ, Perry SF: Catecholamines. The cardiovascular system. In Fish physiology. Edited by: Hoar WS, Randall DJ. Part B. Academic, London; 1992:255–300.
Reitman S, Frankel S: Colorimetric determination of glutamic oxaloacetic and glutamic pyruvic transaminases. Am J Clin Pathol 1957, 28: 53–56.
Ristori M, Laurent P: Plasma catecholamines in rainbow trout, Salmo gairdneri , during hypoxia. J Experim Biol 1989, 48: 285–290.
Saborido-Rey F, Domínguez-Petit R, Tomás J, Morales-Nin B, Alonso-Fernández A: Growth of juvenile turbot in response to food pellets contaminated by fuel oil from the tanker ‘Prestige’. Mar Ecol Prog Ser 2007, 345: 271–279.
Trinder P: Determination of glucose concentration in the blood. Ann Clin Biochem 1969, 6: 24–27.
van Kampen EJ, Zijlstra NC: Determination of haemoglobin. Clin Chim Acta 1961, 5: 719–720.
Vijayan MM, Moon TW: The stress response and the plasma disappearance of corticosteroid and glucose in a marine teleost the sea raven. Canad J Zool 1994, 72: 379–386. 10.1139/z94-054
Vijayan MM, Reddy PK, Leatherland JF, Moon TW: The effect of cortisol on hepatocyte metabolism in rainbow trout: a study using the steroid analogue RU486. Gen Comp Endocrinol 1994, 96: 75–84. 10.1006/gcen.1994.1160
Wright PA, Perry SF, Moon TW: Regulation of hepatic gluconeogenesis and glycogenolysis by catecholamines in rainbow trout during environmental hypoxia. J Experim Biol 1989, 147: 169–188.
Acknowledgment
The author would like to thank Dr. Safaa M. Sharaf, Department of Animal Production and Fish Wealth, Faculty of Agriculture, Suez Canal University, Ismailia, Egypt, for her help in the physiological assay.
Author information
Authors and Affiliations
Corresponding author
Additional information
Competing interests
The author declares that he has no competing interests.
Authors’ original submitted files for images
Below are the links to the authors’ original submitted files for images.
Rights and permissions
Open Access This article is distributed under the terms of the Creative Commons Attribution 2.0 International License (https://creativecommons.org/licenses/by/2.0), which permits unrestricted use, distribution, and reproduction in any medium, provided the original work is properly cited.
About this article
Cite this article
Abdel-Tawwab, M. Chronic effect after acute exposure to commercial petroleum fuels on physiological status of Nile tilapia, Oreochromis niloticus (L.). Int Aquat Res 4, 11 (2012). https://doi.org/10.1186/2008-6970-4-11
Received:
Accepted:
Published:
DOI: https://doi.org/10.1186/2008-6970-4-11
Keywords
- Nile tilapia
- Commercial fuels
- Petroleum hydrocarbons toxicity
- Physiological profiles




