Skip to main content

Prediction of heparin binding of mutated short sequences of rat thyroglobulin

Abstract

Background

Binding of thyroglobulin (Tg) to heparin is involved in Tg transcytosis via megalin. Rat Tg (rTg) binds to heparin through an exposed carboxyl terminal region (RELPSRRLKRPLPVK, Arg2489-Lys2503) rich in positively charged residues. This region is not entirely conserved in human Tg (hTg) (Arg2489-Glu2503, REPPARALKRSLWVE), resulting in lower affinity binding. Here, we developed a score to predict to what extent secondary structure modifications affect the heparin-binding ability of rTg.

Methods

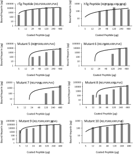
We designed eight synthetic peptides, including one with the Arg2489-Lys2503 sequence of rTg (rTgP), one with the corresponding sequence of hTg (hTgP), and six “mutant” peptides, each carrying a point mutation obtained by replacing one amino acid residue of rTgP with the corresponding residue of hTgP. Heparin binding was assessed in solid-phase assays. The Bmax and the constants of dissociation (Kd) were calculated.

Results

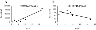
Using a no-fee online service, we obtained predictions of peptide secondary structures and developed a scoring system to estimate to what extent mutations are expected to modify rTg secondary structure. The score was designated as Probability of Secondary Structure Change (PSSC) and it significantly correlated with the BMax (R = 0.942, P < 0.001) and the Kds (R = − 0.744, P < 0.01) of heparin binding of hTgP and of the “mutant” peptides.

Conclusions

The PSSC score allows predicting to what extent point mutations are likely to affect the heparin-binding ability of short sequences of proteins: in this case rTg, regardless of whether mutations affect charge of the sequence. The secondary structure of Tg is likely to play a role in heparin binding.

This is a preview of subscription content, access via your institution.

Fig. 1
Fig. 2
Fig. 3

References

  1. Cardin AD, Weintraub HJR (1989) Molecular modeling of protein–glycosaminoglycan interactions. Atherosclerosis 9:21–32

    CAS  Google Scholar 

  2. Marinò M, Zheng G, McCluskey RT (1999) Megalin (gp330) is an endocytic receptor for thyroglobulin on cultured fisher rat thyroid cells. J Biol Chem 274:12898–12904

    Article  Google Scholar 

  3. Marinò M, Zheng G, Chiovato L, Pinchera A, Brown D, Andrews D, McCluskey RT (2000) Role of megalin (gp330) in transcytosis of thyroglobulin by thyroid cells: a novel function in the control of thyroid hormone release. J Biol Chem 275:7125–7138

    Article  Google Scholar 

  4. Lisi S, Pinchera A, McCluskey RT, Willnow TE, Refetoff S, Marcocci C, Vitti P, Menconi F, Grasso L, Luchetti F, Collins AB, Marinò M (2003) Preferential megalin-mediated transcytosis of low-hormonogenic thyroglobulin: a control mechanism for thyroid hormone release. Proc Natl Acad Sci USA 100:14858–14863

    CAS  Article  Google Scholar 

  5. Botta R, Lisi S, Rotondo Dottore G, Vitti P, Marinò M (2017) Binding of thyroglobulin (Tg) to the low-density lipoprotein receptor-associated protein (RAP) during the biosynthetic pathway prevents premature Tg interactions with sortilin. J Endocrinol Invest 40:991–997

    CAS  Article  Google Scholar 

  6. Lisi S, Botta R, Rotondo Dottore G, Leo M, Latrofa F, Vitti P, Marinò M (2016) Intracellular retention of thyroglobulin in the absence of the low-density lipoprotein receptor-associated protein (RAP) is likely due to premature binding to megalin in the biosynthetic pathway. J Endocrinol Invest 39:1039–1044

    CAS  Article  Google Scholar 

  7. Marinò M, Andrews D, McCluskey RT (2000) Binding of thyroglobulin to heparan sulfate proteoglycans. Thyroid 10:551–559

    Article  Google Scholar 

  8. Marinò M, Friedlander JA, McCluskey RT, Andrews D (1999) Identification of a heparin-binding region of rat thyroglobulin involved in megalin binding. J Biol Chem 274:30377–30386

    Article  Google Scholar 

  9. Caturegli P, Vidalain PO, Vali M, Aguilera-Galaviz LA, Rose NR (1997) Cloning and characterization of murine thyroglobulin cDNA. Clin Immunol Immunopathol 85:221–226

    CAS  Article  Google Scholar 

  10. Malthiery Y, Lissitzky S (1987) Primary structure of human thyroglobulin deduced from the sequence of its 8448-base complementary DNA. Eur J Biocehm 165:491–498

    CAS  Article  Google Scholar 

  11. Lisi S, Pinchera A, McCluskey RT, Chiovato L, Marinò M (2002) Binding of heparin to human thyroglobulin (Tg) involves multiple binding sites including a region corresponding to a binding site of rat Tg. Eur J Endocrinol 146:591–602

    CAS  Article  Google Scholar 

  12. Nettore IC, Cacace V, De Fusco C, Colao A, Macchia PE (2013) The molecular causes of thyroid dysgenesis: a systematic review. J Endocrinol Invest 36:654–664

    CAS  PubMed  Google Scholar 

  13. Lisi S, Segnani C, Mattii L, Botta R, Marcocci C, Dolfi A, McCluskey RT, Pinchera A, Bernardini N, Marinò M (2005) Thyroid dysfunction in megalin deficient mice. Mol Cell Endocrinol 236:43–47

    CAS  Article  Google Scholar 

  14. Alexandrov NN, Nussinov R, Zimmer RM (1996) Fast protein fold recognition via sequence to structure alignment and contact capacity potentials. Pac Symp Biocomput 53–72

  15. Coscia F, Taler-Verčič A, Chang VT, Sinn L, O'Reilly FJ, Izoré T, Renko M, Berger I, Rappsilber J, Turk D, Löwe J (2020) The structure of human thyroglobulin. Nature 578:627–630

    CAS  Article  Google Scholar 

Download references

Acknowledgements

The study was funded by the University of Pisa (Fondi di Ateneo, to MM).

Author information

Affiliations

Authors

Corresponding author

Correspondence to M. Marinò.

Ethics declarations

Conflict of interest

The authors declare that they have no conflict of interest.

Ethical approval

The article does not contain any studies with human participants or animals performed by any of the authors.

Informed consent

Not applicable. No human subjects are involved.

Additional information

Publisher's Note

Springer Nature remains neutral with regard to jurisdictional claims in published maps and institutional affiliations.

Rights and permissions

Reprints and Permissions

About this article

Verify currency and authenticity via CrossMark

Cite this article

Lisi, S., Marinò, M. Prediction of heparin binding of mutated short sequences of rat thyroglobulin. J Endocrinol Invest 44, 1237–1241 (2021). https://doi.org/10.1007/s40618-020-01411-5

Download citation

  • Received:

  • Accepted:

  • Published:

  • Issue Date:

  • DOI: https://doi.org/10.1007/s40618-020-01411-5

Keywords

  • Thyroid
  • Thyroglobulin
  • Heparin