Abstract
Aim
This study aimed at evaluating the cholinergic hypothesis in Alzheimer’s disease (AD) patients utilizing the pupillometry method, cognitive tests and Hamilton Depression Rating Scale (HAM-D), as well as to examine whether a correlation between cognitive tests and pupillometry exists.
Methods
Forty-two patients with mean age 69.2 ± 7.0 years and documented AD volunteered to participate in this study, while 33 healthy matched subjects served as controls. All subjects underwent a pupillometric measurement and performed the Wechsler Memory Scale (WMS) and Mini Mental State Examination (MMSE). Also, HAM-D was used to assess the severity of depressive symptoms. The pupillometric parameters studied were (1) latency for the onset of constriction (T1), (2) maximum constriction velocity (VCmax), and (3) maximum constriction acceleration (ACmax).
Results
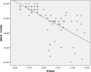
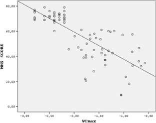
In AD patients MMSE and WMS score were correlated with ACmax (r = −0.409, p < 0.05 and r = −0.513, p < 0.05, respectively) and VCmax (r = −0.664, p < 0.05 and r = −0.771, p < 0.05), respectively. Moreover, T1 was found to be significantly increased by 23 % (p < 0.05) in AD patients compared to healthy subjects. Conversely, the mean scores of VCmax and ACmax were significantly decreased in AD patients by 46 % (p < 0.05) and by 47 % (p < 0.05), respectively, as compared to healthy subjects. There was no significant difference between the two groups for HAM-D. Additionally, AD patients showed decreased score in WMS by 40 % (p < 0.05) and in MMSE by 28.5 % (p < 0.05) compared to healthy subjects. Of the indices that were studied VCmax and ACmax are governed mainly by the action of the Parasympathetic Nervous System.
Conclusions
The results of this study demonstrated that there is a correlation between cognitive tests and pupillometry in AD patients. Thus, pupillometry could be considered as a sensitive technique for the investigation of cholinergic deficits, which indirectly lead to memory and cognitive disorders in AD patients.
This is a preview of subscription content, access via your institution.







References
Association Alzheimer’s (2014) Alzheimer’s disease facts and figures. Alzheimer’s Dement 10(2):e47–e92
Francis PT, Palmer AM, Snape M et al (1999) The cholinergic hypothesis of Alzheimer’s disease: a review of progress. J Neurol Neurosurg Psychiatry 66(2):137–147
Tsolaki M, Paraskevi S, Degleris N et al (2009) Attitudes and perceptions regarding Alzheimer’s disease in Greece. Am J Alzheimers Dis Other Demen 24(1):21–26
Tanimukai H, Kudo T, Tanaka T et al (2009) Novel therapeutic strategies for neurodegenerative disease. Psychogeriatrics 9(2):103–109
Craig-Schapiro R, Kuhn M, Xiong CJ et al (2011) Multiplexed immunoassay panel identifies novel CSF biomarkers for Alzheimer’s disease diagnosis and prognosis. PLoS One 6(4):e18850
Bartus RT, Dean RL 3rd, Beer B et al (1982) The cholinergic hypothesis of geriatric memory dysfunction. Science 217(4558):408–414
Bartus RT (2000) On neurodegenerative diseases, models, and treatment strategies: lessons learned and lessons forgotten a generation following the cholinergic hypothesis. Exp Neurol 163(2):495–529
Contestabile A (2011) The history of the cholinergic hypothesis. Behav Brain Res 221(2):334–340
Trick GL, Barris MC, Bickler-Bluth M (1989) Abnormal pattern electroretinograms in patients with senile dementia of the Alzheimer type. Ann Neurol 26(2):226–231
Aharon-Peretz J, Harel T, Revach M et al (1992) Increased sympathetic and decreased parasympathetic cardiac innervation in patients with Alzheimer’s disease. Arch Neurol 49(9):919–922
Appleyard ME, McDonald B (1991) Reduced adrenal gland acetylcholinesterase activity in Alzheimer’s disease. Lancet 338(8774):1085–1086
Fotiou F, Fountoulakis KN, Tsolaki M et al (2000) Changes in pupil reaction to light in Alzheimer’s disease patients: a preliminary report. Int J Psychophysiol 37(1):111–120
Jack CR Jr, Knopman DS, Jagust WJ et al (2010) Hypothetical model of dynamic biomarkers of the Alzheimer’s pathological cascade. Lancet Neurol 9(1):119–128
Tsolaki M, Fountoulakis K, Chantzi E et al (1997) Risk factors for clinically diagnosed Alzheimer’s disease: a case-control study of a Greek population. Int Psychogeriatr 9(3):327–341
Fountoulakis KN, Tsolaki M, Mohs RC et al (1998) Epidemiological dementia index: a screening instrument for Alzheimer’s disease and other types of dementia suitable for use in populations with low education level. Dement Geriatr Cogn Disord 9(6):329–338
Ascher KW (1962) The first pupillary light reflex test ever performed. Trans Am Ophthalmol Soc 60:53–59
Ascher KW (1963) The first test of the pupillary reflex to light. Boll Ocul 42:586–591
Thompson HS (1977) Adie’s syndrome: some new observations. Trans Am Ophthalmol Soc 75:587–626
Idiaquez J (1984) Short-term prognostic factors in cerebrovascular accident. Rev Med Chil 112(6):544–546
Pomara N, Sitaram N (1995) Detecting Alzheimers-disease. Science 267(5204):1579–1580
Scinto LF, Daffner KR, Dressler D et al (1994) A potential noninvasive neurobiological test for Alzheimer’s disease. Science 266(5187):1051–1054
Loupe DN, Newman NJ, Green RC et al (1996) Pupillary response to tropicamide in patients with Alzheimer disease. Ophthalmology 103(3):495–503
Treloar AJ, Assin M, Macdonald AJ (1996) Pupillary response to topical tropicamide as a marker for Alzheimer’s disease. Br J Clin Pharmacol 41(3):256–257
Kardon RH (1998) Drop the Alzheimer’s drop test. Neurology 50(3):588–591
Marx JL, Kumar SR, Thach AB et al (1995) Detecting Alzheimer’s disease. Science 267(5204):1577 (author reply 1580-1)
Sacks B, Smith S (1989) People with Down’s syndrome can be distinguished on the basis of cholinergic dysfunction. J Neurol Neurosurg Psychiatry 52(11):1294–1295
Prettyman R, Bitsios P, Szabadi E (1997) Altered pupillary size and darkness and light reflexes in Alzheimer’s disease. J Neurol Neurosurg Psychiatry 62(6):665–668
Altman E, Gilmore C, Peterson J et al (1991) Psychiatric rating scales in diagnostic assessment and clinical treatment. Psychiatr Med 9(1):189–211
Tsiptsios D, Fotiou DF, Haidich AB et al (2008) Evaluation of pupil mobility in patients with myasthenia gravis. Electromyogr Clin Neurophysiol 48(5):209–218
Bergamin O, Schoetzau A, Sugimoto K et al (1998) The influence of iris color on the pupillary light reflex. Graefes Arch Clin Exp Ophthalmol 236(8):567–570
Kaltsatou A, Kouidi E, Fotiou D et al (2011) The use of pupillometry in the assessment of cardiac autonomic function in elite different type trained athletes. Eur J Appl Physiol 111(9):2079–2087
Stergiou V, Fotiou D, Tsiptsios D et al (2009) Pupillometric findings in patients with Parkinson’s disease and cognitive disorder. Int J Psychophysiol 72(2):97–101
Fountoulakis KN, Tsolaki M, Chantzi H et al (2000) Mini Mental State Examination (MMSE): a validation study in Greece. Am J Alzheimers Dis Other Demen 15(6):342–345
Folstein MF, Folstein SE, McHugh PR (1975) “Mini-mental state”. A practical method for grading the cognitive state of patients for the clinician. J Psychiatr Res 12(3):189–198
Efklides A, Yiultsi E, Kangellidou T et al (2002) Wechsler memory scale, Rivermead behavioral memory test, and everyday memory questionnaire in healthy adults and Alzheimer patients. Eur J Psychol Assess 18(1):63–77
Fava GA, Kellner R, Munari F et al (1982) The Hamilton depression rating scale in normals and depressives. Acta Psychiatr Scand 66(1):26–32
Cohen J (1992) A power primer. Psychol Bull 112(1):155–159
Davies P, Maloney AJ (1976) Selective loss of central cholinergic neurons in Alzheimer’s disease. Lancet 2(8000):1403
Bowen DM, Smith CB, White P et al (1976) Neurotransmitter-related enzymes and indices of hypoxia in senile dementia and other abiotrophies. Brain 99(3):459–496
Piha SJ, Halonen JP (1994) Infrared pupillometry in the assessment of autonomic function. Diabetes Res Clin Pract 26(1):61–66
Granholm E, Steinhauer SR (2004) Pupillometric measures of cognitive and emotional processes. Int J Psychophysiol 52(1):1–6
Paul RH, Cohen RA, Gilchrist JM et al (2000) Cognitive dysfunction in individuals with myasthenia gravis. J Neurol Sci 179(S 1–2):59–64
Perry E, Walker M, Grace J et al (1999) Acetylcholine in mind: a neurotransmitter correlate of consciousness? Trends Neurosci 22(6):273–280
Conflict of interest
None.
Author information
Authors and Affiliations
Corresponding author
Rights and permissions
About this article
Cite this article
Fotiou, D., Kaltsatou, A., Tsiptsios, D. et al. Evaluation of the cholinergic hypothesis in Alzheimer’s disease with neuropsychological methods. Aging Clin Exp Res 27, 727–733 (2015). https://doi.org/10.1007/s40520-015-0321-8
Received:
Accepted:
Published:
Issue Date:
DOI: https://doi.org/10.1007/s40520-015-0321-8
Keywords
- Alzheimer’s disease
- Neuropsychological methods
- Pupillometry
- Cognitive function
- Cholinergic hypothesis