Comparaison de deux diagonales pour un ensemble bisimplicial
- 122 Downloads
- 1 Citations
Abstract
In this paper a proof is given that the two diagonals of any bisimplicial set, by Quillen and Artin-Mazur respectively, are weakly homotopy equivalent.
Keywords
Bisimplicial set Diagonal Homotopy type1 Introduction
En 1965, dans le même numéro de Topology Artin et Mazur [1] d’une part et Quillen [2] de l’autre définissent chacuns une notion de diagonale pour un ensemble bisimplicial \(X\). On désigne par \(D\) celle d’Artin-Mazur et par \(\nabla \) celle de Quillen. Alors \(D(X)_n \subset \prod _{p+q = n} X_{p,q}\) et \(\nabla (X)_n = X_{n,n}\). Soit \(\varphi : \nabla \rightarrow D\) le morphisme fonctoriel défini par \(\varphi _n(X) (x) = \lbrace d'_{p+1}\cdots d'_n{d''_0}^p x\rbrace _{p+q = n}\) pour \(x\in X_{n,n}\). Le but de cet article est de démontrer le théorème suivant.1
Théorème
\(\varphi \) est une équivalence d’homotopie (faible).
Dans la suite on écrira simplement “équivalence d’homotopie”. En particulier si \(\Gamma \) est un monoïde simplicial et si \(X\) est l’ensemble bisimplicial \(X_{p,q} = (\Gamma _q)^p\) avec les opérateurs faces et dégénérescences usuels, \(D(X)\) n’est autre que \(\overline{W} (\Gamma )\), la bar-construction de \(\Gamma \), qui a donc même type d’homotopie que \(\nabla (X)\), ce qui est d’ailleurs facile à démontrer directement. Si \(X\) est un groupe abélien bisimplicial, on retrouve le théorème d’Eilenberg-Zilber-Cartier.
2 Quelques foncteurs
2.1 Soit \(\mathcal S\) la catégorie des ensembles simpliciaux, et soit \(\mathcal{S}^2\) celle des ensembles bisimpliciaux. Les deux constructions suivantes sont bien connues:
Notons \(\Delta [p,q]\) l’ensemble bisimplicial, donc le foncteur contravariant de \(\Delta \times \Delta \) dans Ens, défini par \(\Delta ( ?,p)\times \Delta (?,q)\). Soit \(L{:}\; \Delta \rightarrow \mathcal{S}^2\) le foncteur “diagonale” \([n] \mapsto \Delta [n,n] \).
Introduisons maintenant la “moitié” \(\Lambda \) du foncteur \(L\); plus précisément, soit \(\Lambda [n] _{p,q}\) l’ensemble des couples \((\alpha , \beta )\) de fonctions croissantes \(\alpha {:}\;[p] \rightarrow [n]\), \(\beta {:}\; [q] \rightarrow [n]\) telles que pour tout \(u \in [p]\) et tout \(v \in [q]\), on a \(\alpha (u) \le \beta (v)\). On définit bien ainsi un sous-ensemble bisimplicial \(\Lambda [n]\) de \(\Delta [n,n]\). Mieux, la correspondance \([n] \mapsto \Lambda [n]\) définit un foncteur \(\Delta \rightarrow \mathcal{S}^2\) qui est un sous-foncteur du foncteur \(L {:}\; [n] \mapsto \Delta [n,n]\).
Lemme 1
\(\Lambda [n]\) est la colimite du diagramme
Démonstration
2.2 Foncteurs adjoints. Rappelons qu’à la donnée d’un foncteur \(f : \mathcal{C} \rightarrow \mathcal{E}\), où \(\mathcal{E}\) est une catégorie possédant des colimites, sont associés deux foncteurs adjoints \(g : \mathcal{C}^\mathrm{opp} Ens\rightarrow \mathcal{E}\) adjoint à gauche de \(r : \mathcal{E} \rightarrow \mathcal{C}^\mathrm{opp}Ens\), et définis comme suit. Pour tout objet \(e\) de \(\mathcal{E}\), on a \(r(e) = \mathcal{E} (f(?), e)\) ; si \(X = \mathcal{C}(?, c)\) où \(c\) est un objet de \(\mathcal{C}\), alors on pose \(g(X) = f(c)\), et dans le cas général, pour tout objet \(X\) de \(\mathcal{C}^\mathrm{opp}Ens\), on a \(g(X) =\mathrm{colim \ }f(c)_x\), où \(f(c)_x = f(c)\) , où \(c\) parcourt les objets de \(\mathcal{C}\) et où enfin la colimite est prise sur tous les morphismes \(\mathcal{C}(?, c) \rightarrow \ X\).
Appliquons ces constructions aux deux foncteurs \(\Lambda \) et \(L\) de \(\Delta \) dans \(\mathcal{S}^2\) qui définissent donc respectivement des foncteurs \(U\) et \(V :\mathcal{S}\rightarrow \mathcal{S}^2\) adjoints à gauche des foncteurs \(D\) et \(\nabla : \mathcal{S}^2\rightarrow \mathcal{S}\). Il est clair sur les définitions que \(\nabla \) est bien le foncteur diagonal de Quillen, et le Lemme 1 exprime le fait que \(D\) est la diagonale définie par Artin-Mazur. Par ailleurs, l’inclusion \(\Lambda \hookrightarrow L\) induit un morphisme fonctoriel \(\varphi : \nabla \rightarrow D\) qui coïncide avec celui défini dans l’introduction. Enfin \(\nabla \) possède aussi un adjoint à droite \(P : \mathcal{S}\rightarrow \mathcal{S}^2\) défini par \(P(Y) = \mathcal{S}(\Delta [?] \times \Delta [?] , Y)\).
Voici quelques exemples. Soient \(X\) et \(Y\) deux ensemble simpliciaux, et notons \(X \otimes Y\) l’ensemble bisimplicial \((X\otimes Y)_{p,q} = X_{p}\times Y_{q}\). En particulier, il vient \(\Delta [p,q] = \Delta [p] \otimes \Delta [q]\). On montre facilement que l’on a \(\nabla (X \otimes Y) = D(X \otimes Y) = X \times Y\) en particulier \(\nabla (\Delta [n,n] ) = D (\Delta [n,n]) = \Delta [n] \times \Delta [n] \) . Par ailleurs \(\nabla (\Lambda [n] )\) est la ”moitié” de \(\Delta [n] \times \Delta [n] \) i.e., en degré \(p\) c’est l’ensemble des couples \((\alpha , \beta )\) de morphismes \([p] \rightarrow [n] \) tels que \(\alpha (p) \le \beta (0)\).
Déterminons enfin \(D\Lambda [n] \). En degré p, c’est \(\mathcal{S}^2( \Lambda [p] , \Lambda [n])\). Soient \(a\) et \(b\) deux morphismes \( [p] \rightarrow [n]\) tels que, pour tout \(0 \le k \le p\) on a \(a(k) \le b(k)\). On leur associe un \(\lambda : \Lambda [p] \rightarrow \Lambda [n] \) en posant \(\lambda (\alpha , \beta ) = (a \circ \alpha , b \circ \beta )\) pour \((\alpha , \beta ) \in \Lambda [p] _{u,v}\). Ce morphisme est lui même déterminé, d’après la démonstration du Lemme 1, par la famille \(x_{u,v} = (\theta _{u},\tau _{v}) \in \Lambda [n] _{u,v}\) avec \(u+v = p\), où l’on a posé \(\theta _{u}(i) = a(i)\) pour \(i \in [u]\) et \(\tau _{v} (j) = b(p- v+j)\) pour \(j \in [v]\).
Lemme 2
Le foncteur \(\mathcal D\) est canoniquement isomorphe à \(U\). En particulier, \(U\) possède un adjoint à gauche et un adjoint à droite.
Démonstration
On définit un morphisme fonctoriel \(i : \mathrm{Id} \rightarrow \nabla U\) par ses valeurs sur les \(\Delta [n]\) (car les deux membres commutent aux colimites ), i.e. par des applications “fonctorielles” en \(n\) \(i_{\Delta [n]} : \Delta [n] \rightarrow \nabla U(\Delta [n])\), c’est-à-dire par des éléments de \(\Delta [n]_{2n+1}\), soit finalement par des fonctions croissantes \( i_{n} : [2n+1] \rightarrow [n]\). On choisit \(i_{n}(k) = k \) pour \(k\le n -1\) et \(i_{n}(k) = n\) sinon.
Pour en terminer avec ces préliminaires, il reste à expliciter \(G\) et \(DU\).
Explicitation de \(G\) et \(DU\). Appliquons le foncteur \(G\) au diagramme (*) : puisque par définition, \(G(\Delta [p,q])\) est égal à \(\Delta [p +q+1]\), c’est que \(G(\Lambda [p] )\) est la colimite du diagramme
c’est-à-dire \(\Delta [1] \times \Delta [p] \). Mais alors il vient, pour l’ensemble simplicial \(X\), \(DU(X)_p = \mathcal{S}(\Delta [p] , DU(X)) = \mathcal{S}^2(U(\Delta [p]), U(X)) =\mathcal{S}^2(\Lambda [p] , U(X)) = \mathcal{S}(G (\Lambda [p]), X) = \mathcal{S}( \Delta [1] \times \Delta [p], X) =\mathcal{H} \mathrm{om} (\Delta [1] , X)_p. \) Ainsi finalement on a \(DU(X) = \mathcal{H} \mathrm{om} ( \Delta [1] , X)\) : c’est l’espace des chemins (libres) de \(X\).
Le diagramme (*) permet facilement de montrer aussi que le morphisme d’adjonction \(GU(\Delta [n] ) \rightarrow \Delta [n] \) est simplement la projection \(\Delta [1] \times \Delta [n] \rightarrow \Delta [n]\). Donc le morphisme d’adjonction \(GU (X) \rightarrow X\) est la projection \(\Delta [1] \times X \rightarrow X\) car \(GU\) commute aux colimites. Mais alors pour tout objet \(Z\) de \(\mathcal{S}\) le morphisme d’adjonction \(j_Z : Z \rightarrow DU(Z) \) est l’application \( \mathcal{H} \mathrm{om} (\Delta [0] , Z) \rightarrow \mathcal{H}\mathrm{om} (\Delta [1], Z)\) induite par l’unique application \(\Delta [1] \rightarrow \Delta [0]\) (unicité de l’adjoint à droite du foncteur \(GU = ?\times \Delta [1]\)).
3 Démonstration du théorème
3.1 Commençons par étudier le morphisme fonctoriel \(i {:}\; \mathrm{Id} \rightarrow \nabla U\).
Proposition 1
\(i\) est une équivalence d’homotopie.
Démonstration
c’est une conséquence des deux lemmes suivants. \(\diamondsuit \)
Lemme 3
- i)
il commute aux colimites
- ii)
il transforme monomorphismes en monomorphismes
- iii)
\(\nabla U (\Delta [n])\) est contractile.
Lemme 4
Si un foncteur \( F : \mathcal{S}\rightarrow \mathcal{S}\), muni d’un morphisme fonctoriel \(\rho : \mathrm{id} \rightarrow F\), vérifie les conditions i), ii) et iii) du lemme précédent, alors \(\rho \) est une équivalence d’homotopie.
Démonstration du lemme 3
Les deux premières propriétés proviennent du fait que ce foncteur possède un adjoint à droite et un adjoint à gauche. Posons \(F = \nabla U\) et montrons plus généralement que \(F\) transforme des applications \(f,g : X \rightarrow Y\) homotopes (rel points bases) en des applications homotopes (rel points bases). Cela résulte du fait que \(F\) commute aux produits et du fait que \(F(\Delta [1]) \) n’est autre que la réunion de deux exemplaires de \(\Delta [1]\) mis bout-à bout:
Le complément concernant les points bases vient de l’égalité \(F(\Delta {[0]}) = \Delta {[0]}\).
\(\diamondsuit \)
Démonstration du lemme 4
Elle utilise le résultat technique suivant, dont on peut aussi énoncer une version pointée: soient \(\mathcal{C}\) et \(\mathcal{C'}\) deux carrés cocartésiens de la catégorie \(\mathcal{S}\)
où les flèches verticales sont des monomorphismes, et soit \(f =(f_A,f_B,f_C,f_D): \mathcal{C}\rightarrow \mathcal{C'}\) un morphisme. Alors si \(f_A,f_B\) et \(f_C\) sont des équivalences d’homotopies, il en va de même de \(f_D\) (Lemme d’amalgamation).
où \(x\) parcourt l’ensemble des \(n\)-simplexes non dégénérés de \(X\). Appliquons lui le foncteur \(F\), il vient un carré cocartésien \(\mathcal{C'}\) dont les flèches verticales sont encore des monomorphismes:
Prenons pour morphisme \(f : \mathcal{C} \rightarrow \mathcal{C'}\), le morphisme induit par le morphisme fonctoriel \(\rho \). Comme \(\rho _{\Delta [n]}\) est une équivalence d’homotopie d’après iii), et que \(\rho _{\dot{\Delta }[n] }\) et \(\rho _{\mathrm{Sk}^{n-1}(X)}\) sont des équivalences d’homotopie d’après l’hypothèse de récurrence, il résulte du résultat technique que c’est aussi vrai pour \(\rho _{\mathrm{Sk}^n(X)}\).
Pour terminer la démonstration, il suffit de prendre la colimite des lignes du diagramme dont toutes les flèches verticales, induites par \(\rho \) sont des équivalences d’homotopies:
et donc, à la limite, \(\rho _X\) aussi. \(\diamondsuit \)
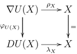
3.2 Un diagramme commutatif. La flèche \(\Delta [0] \buildrel \Delta [\partial ^1]\over {{\rightarrow } } \Delta [1] \) induit une application \(\lambda _X : \mathcal{H} \mathrm{om} ( \Delta [1] , X)\rightarrow \mathcal{H} \mathrm{om} ( \Delta [0] , X)\) qui est une homotopie équivalence (utiliser le morphisme \(\Delta [1] \times \Delta [1] \rightarrow \Delta [1]\) défini par l’application croissante \( h : [1] \times [1] \rightarrow [1]\), telle que (0, 0), (1, 0), (0, 1) vont sur 0 et (1, 1) sur 1). Puisque l’on a \(\lambda _X \circ j_X = \mathrm{id}\), \(j_X\) est aussi une équivalence d’homotopie.
La flèche \( [p] \buildrel u_p\over {\rightarrow }[2p+1] \), avec \(u_p = \partial ^{2p+1} \circ \partial ^{2p}\circ \cdots \circ \partial ^{p+1}\), induit une application \(X_{2 p+1} \rightarrow X_p\) et, mieux, un morphisme \( \rho _X : \nabla U(X) \rightarrow X\).
Lemme 5
Le diagramme
est commutatif.
Démonstration
En effet, par adjonction, et compte tenu des explicitations précédentes, on se ramène à la commutativité du diagramme
dont la flèche horizontale provient de \((0,i)\mapsto i, (1,i)\mapsto n +i + 1\), la flèche oblique de droite de \(i \mapsto (0,i) \) et celle de droite de \(i \mapsto i \) pour \(0\le i \le n\). \(\diamondsuit \)
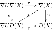
Comme on a \(\rho _{X}\circ i_{X} = \mathrm{Id}_{X}\) et que d’après la Proposition 1, \(i_{X}\) est une équivalence, il en va de même pour \(\rho _{X}\), et le diagramme commutatif précédent montre que le théorème est vrai pour les ensembles bisimpliciaux de la forme \(U(Y)\).
Il reste à ramener le cas général à celui-ci.
est l’identité, et nous savons déjà que \(j_{D(X)}\) est une équivalence d’homotopie, donc aussi \(D({\psi }_X)\). Nous pouvons résumer ces résultats dans le diagramme ci-dessous
dont le carré du haut est homotopiquement commutatif, et celui du bas est commutatif, et où les flèches marquées d’un \(\sim \) sont des équivalences d’homotopie.
Plaçons nous maintenant dans la catégorie homotopique où ces équivalences d’homotopie deviennent des isomorphismes, et les applications homotopes deviennent égales. Nous avons un diagramme commutatif
dans lequel \(\rho \) et \(g\) sont des isomorphismes. Mais alors, \(\varphi \) est un isomorphisme d’inverse \(bg^{-1}\), ce qui achève la démonstration.
Footnotes
- 1.
Ce texte est une version remaniée en 1990 d’un manuscrit de 1987 destiné à Jean-Marc Cordier [4] qui avait besoin de ce résultat pour terminer sa thèse. La première démonstration publiée du théorème se trouve dans l’article de Cegarra-Remedios de 2005 [3]. Depuis 2005, d’autres démonstrations ont parues. Je remercie Antonio Martinez Cegarra qui m’a incité à publier celle-ci.
References
- 1.Artin, M., Mazur, B.: On the Van Kampen theorem. Topology 5, 179–189 (1966)zbMATHMathSciNetCrossRefGoogle Scholar
- 2.Quillen, D.: Spectral sequences of a double semi-simplicial group. Topology 5, 155–157 (1966)zbMATHMathSciNetCrossRefGoogle Scholar
- 3.Cegarra, A.M., Remedios, J.: The relationship between the diagonal and the bar-constructions on a bisimplicial set. Topol. Appl. 153, 21–51 (2005)zbMATHMathSciNetCrossRefGoogle Scholar
- 4.Cordier, J.-M.: Sur les limites homotopiques de diagrammes homotopiquement cohérents. Compositio Math. 62, 367–388 (1987)zbMATHMathSciNetGoogle Scholar











