Skip to main content

Are preoperative sex-related differences of affective symptoms in primary brain tumor patients associated with postoperative histopathological grading?

Abstract

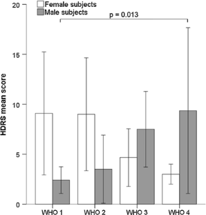
Our objective was to explore the impact of the histopathological tumor type on affective symptoms before surgery among male and female patients with supratentorial primary brain tumors. A total of 44 adult patients were included in the study. Depression and anxiety were measured using the Beck Depression Inventory (BDI) and the State-Trait Anxiety Inventory. Additionally, clinical interviews, including the Hamilton Depression Rating Scale (HDRS), were conducted. The general function of patients was measured with the Karnofsky Performance Status scale (KPS). All measures were obtained before surgery and therefore before the final histopathological diagnosis. All self-rating questionnaires but not the HDRS, showed significantly higher scores in female patients. The functional status assessed with the KPS was lower in female patients and correlated to the somatic part of the BDI. We further found a tendency for higher HDRS scores in male patients with a WHO grade 4 tumor stage compared to female patients. This finding was supported by positive correlations between HDRS scores and WHO grade in male and negative correlations between HDRS scores and WHO grade in female patients. In conclusion the preoperative evaluation of affective symptoms with self-rating questionnaires in patients with brain tumors may be invalidated by the patient’s functional status. Depression should be explored with clinical interviews in these patients. Sex differences of affective symptoms in this patient group may also be related to the malignancy of the tumor, but further studies are needed to disentangle this relationship.

This is a preview of subscription content, access via your institution.

Fig. 1

References

  1. Giovagnoli AR, Tamburini M, Boiardi A (1996) Quality of life in brain tumor patients. J Neurooncol 30(1):71–80

    CAS  PubMed  Article  Google Scholar 

  2. Litofsky NS, Farace E, Anderson F Jr, Meyers CA, Huang W, Laws ER Jr (2004) Depression in patients with high-grade glioma: results of the Glioma Outcomes Project. Neurosurgery 54(2):358–366

    PubMed  Article  Google Scholar 

  3. Mainio A, Hakko H, Niemela A, Koivukangas J, Rasanen P (2006) Gender difference in relation to depression and quality of life among patients with a primary brain tumor. Eur Psychiatry 21(3):194–199

    PubMed  Article  Google Scholar 

  4. Pelletier G, Verhoef MJ, Khatri N, Hagen N (2002) Quality of life in brain tumor patients: the relative contributions of depression, fatigue, emotional distress, and existential issues. J Neurooncol 57(1):41–49

    PubMed  Article  Google Scholar 

  5. Armstrong CL, Hunter JV, Ledakis GE, Cohen B, Tallent EM, Goldstein BH, Tochner Z, Lustig R, Judy KD, Pruitt A, Mollman JE, Stanczak EM, Jo MY, Than TL, Phillips P (2002) Late cognitive and radiographic changes related to radiotherapy: initial prospective findings. Neurol 59(1):40–48

    CAS  Article  Google Scholar 

  6. Arnold SD, Forman LM, Brigidi BD, Carter KE, Schweitzer HA, Quinn HE, Guill AB, Herndon JE, Raynor RH (2008) Evaluation and characterization of generalized anxiety and depression in patients with primary brain tumors. Neuro Oncol 10(2):171–181

    PubMed Central  PubMed  Article  Google Scholar 

  7. D’Angelo C, Mirijello A, Leggio L, Ferrulli A, Carotenuto V, Icolaro N, Miceli A, D’Angelo V, Gasbarrini G, Addolorato G (2008) State and trait anxiety and depression in patients with primary brain tumors before and after surgery: 1-year longitudinal study. J Neurosurg 108(2):281–286

    PubMed  Article  Google Scholar 

  8. Kilbride L, Smith G, Grant R (2007) The frequency and cause of anxiety and depression amongst patients with malignant brain tumours between surgery and radiotherapy. J Neurooncol 84(3):297–304

    PubMed  Article  Google Scholar 

  9. Rooney A, van Nieuwenhuizen D, Reijneveld J, Grant R (2009) Female gender is not a proven risk factor for depression in glioma. J Neurooncol 95(3):449

    PubMed  Article  Google Scholar 

  10. Mor V, Laliberte L, Morris JN, Wiemann M (1984) The Karnofsky performance status scale: an examination of its reliability and validity in a research setting. Cancer 53(9):2002–2007

    CAS  PubMed  Article  Google Scholar 

  11. Kleihues P, Burger P, Scheithauer B (1993) Histological typing of tumours of the central nervous system, 2nd edn. Springer, Berlin

    Book  Google Scholar 

  12. Talairach J, Tournoux P (1988) Co-planar stereotaxic atlas of the human brain. 3-Dimensional proportional system: an approach to cerebral imaging. Thieme Medical Publishers, New York

    Google Scholar 

  13. Beck A, Ward C, Mendelson M, Mock J, Erbaugh J (1961) An inventory for measuring depression. Arch Gen Psychiatry 4:561–571

    CAS  PubMed  Article  Google Scholar 

  14. Schotte CKW, Maes M, Cluydts R, De Doncker D, Cosyns P (1997) Construct validity of the Beck Depression Inventory in a depressive population. J Affect Disord 46(2):115–125

    CAS  PubMed  Article  Google Scholar 

  15. Hamilton M (1960) A rating scale for depression. J Neurol Neurosurg Psychiatry 23:56–62

    CAS  PubMed Central  PubMed  Article  Google Scholar 

  16. Williams JBW (1988) A structured interview guide for the Hamilton Depression Rating Scale. Arch Gen Psychiatry 45(8):742–747. doi:10.1001/archpsyc.1988.01800320058007

    CAS  PubMed  Article  Google Scholar 

  17. Laux L, Glanzmann P, Schaffner P, Spielberger C (1981) The State-Trait Anxiety Inventory [Das State-Trait-Angstinventar]. Beltz, Weinheim

    Google Scholar 

  18. Litofsky N, Resnick A (2009) The relationships between depression and brain tumors. J Neurooncol 94(2):153–161

    PubMed  Article  Google Scholar 

  19. Rooney AG, Carson A, Grant R (2011) Depression in cerebral glioma patients: a systematic review of observational studies. J Natl Cancer Inst 103(1):61–76. doi:10.1093/jnci/djq458

    PubMed  Article  Google Scholar 

  20. Gathinji M, McGirt MJ, Attenello FJ, Chaichana KL, Than K, Olivi A, Weingart JD, Brem H, Quinones-Hinojosa A (2009) Association of preoperative depression and survival after resection of malignant brain astrocytoma. Surg Neurol 71(3):299–303. doi:10.1016/j.surneu.2008.07.016S0090-3019(08)00653-8

    PubMed  Article  Google Scholar 

  21. Irle E, Peper M, Wowra B, Kunze S (1994) Mood changes after surgery for tumors of the cerebral cortex. Arch Neurol 51(2):164–174

    CAS  PubMed  Article  Google Scholar 

  22. Pringle AM, Taylor R, Whittle IR (1999) Anxiety and depression in patients with an intracranial neoplasm before and after tumour surgery. Br J Neurosurg 13(1):46–51

    CAS  PubMed  Article  Google Scholar 

  23. Anderson SI, Taylor R, Whittle IR (1999) Mood disorders in patients after treatment for primary intracranial tumours. Br J Neurosurg 13(5):480–485

    CAS  PubMed  Google Scholar 

  24. Goebel S, Mehdorn HM (2013) Development of anxiety and depression in patients with benign intracranial meningiomas: a prospective long-term study. Support Care Cancer 21(5):1365–1372. doi:10.1007/s00520-012-1675-5

    PubMed  Article  Google Scholar 

  25. Mainio A, Hakko H, Niemela A, Koivukangas J, Rasanen P (2005) Depression and functional outcome in patients with brain tumors: a population-based 1-year follow-up study. J Neurosurg 103(5):841–847

    PubMed  Article  Google Scholar 

  26. Hagedoorn M, Sanderman R, Bolks HN, Tuinstra J, Coyne JC (2008) Distress in couples coping with cancer: a meta-analysis and critical review of role and gender effects. Psychol Bull 134(1):1–30. doi:10.1037/0033-2909.134.1.1

    PubMed  Article  Google Scholar 

  27. Keller M, Henrich G (1999) Illness-related distress: does it mean the same for men and women? Gender aspects in cancer patients’ distress and adjustment. Acta Oncol 38(6):747–755

    CAS  PubMed  Article  Google Scholar 

  28. Mainio A, Hakko H, Timonen M, Niemela A, Koivukangas J, Rasanen P (2005) Depression in relation to survival among neurosurgical patients with a primary brain tumor: a 5-year follow-up study. Neurosurgery 56(6):1234–1241

    PubMed  Article  Google Scholar 

Download references

Author information

Affiliations

Authors

Corresponding author

Correspondence to Andre Richter.

Electronic supplementary material

Table with additional tumor characteristics and clinical data ordered by the type of the tumors (N = 44)

Supplementary material 1 (DOC 53 kb)

Rights and permissions

Reprints and Permissions

About this article

Verify currency and authenticity via CrossMark

Cite this article

Richter, A., Jenewein, J., Krayenbühl, N. et al. Are preoperative sex-related differences of affective symptoms in primary brain tumor patients associated with postoperative histopathological grading?. J Neurooncol 126, 151–156 (2016). https://doi.org/10.1007/s11060-015-1950-7

Download citation

  • Received:

  • Accepted:

  • Published:

  • Issue Date:

  • DOI: https://doi.org/10.1007/s11060-015-1950-7

Keywords

  • Anxiety
  • Depression
  • Primary brain tumor
  • Sex