Skip to main content

Pipecolic acid induces oxidative stress in vitro in cerebral cortex of young rats and the protective role of lipoic acid

Abstract

Pipecolic acid (PA) levels are increased in severe metabolic disorders of the central nervous system such as Zellweger syndrome, infantile Refsum disease, neonatal adrenoleukodystrophy and hyperlysinemia. The affected individuals present progressive neurological dysfunction, hypotonia and growth retardation. The mechanisms of brain damage of these disorders remain poorly understood. Since PA catabolism can produce H2O2 by oxidases, oxidative stress may be a possible mechanism involved in the pathophysiology of these diseases. Lipoic acid (LA) is considered an efficient antioxidant and has been shown to prevent oxidative stress in experimental models of many disorders of the neurologic system. Considering that to our knowledge no study investigated the role of PA on oxidative stress, in the present work we investigated the in vitro effects of PA on some oxidative stress parameters and evaluated the LA efficacy against possible pro-oxidant effects of PA in cerebral cortex of 14-day-old rats. The activities of catalase (CAT), glutathione peroxidase (GPx), glucose 6-phosphate dehydrogenase (G6PD), and glutathione S-transferase (GST) along with reduced glutathione (GSH) content were significantly decreased, while superoxide dismutase (SOD) activity and thiobarbituric acid-reactive substances (TBA-RS) were significantly enhanced by PA. LA was able to prevent these effects by improving the activity of antioxidant enzymes, increasing GSH content and reducing TBA-RS. In contrast, glutathione reductase and 6-phosphogluconate dehydrogenase activities and sulfhydryl content were not affected. Taken together, it may be presumed that PA in vitro elicits oxidative stress and LA is able to prevent these effects.

This is a preview of subscription content, access via your institution.

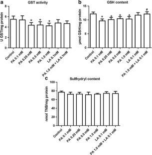
Fig. 1
Fig. 2
Fig. 3
Fig. 4
Fig. 5

References

  • Aebi H (1984) Catalase in vitro. Methods Enzymol 105:121–126

    CAS  PubMed  Article  Google Scholar 

  • Aksenov MY, Markesbery WR (2001) Changes in thiol contet and expression of glutathione redox system genes in the hippocampus and cerebellum in Alzheimer’s disease. Neurosci Lett 302:141–145

    CAS  PubMed  Article  Google Scholar 

  • Bast A, Haenen GR (2003) Lipoic acid: a multifunctional antioxidant. Biofactors 17:207–213

    CAS  PubMed  Article  Google Scholar 

  • Baxter P (2003) Pyridoxine-dependent seizures: a clinical and biochemical conundrum. Biochim Biophys Acta 1647:36–41

    CAS  PubMed  Article  Google Scholar 

  • Behl C, Moosmann B (2002) Antioxidant neuroprotection in Alzheimer’s disease as preventive and therapeutic approach. Free Radic Biol Med 33:182–191

    CAS  PubMed  Article  Google Scholar 

  • Biewenga GP, Haenen GR, Bast A (1997) The pharmacology of the antioxidant lipoic acid. Gen Pharmacol 29:315–331

    CAS  PubMed  Article  Google Scholar 

  • Broquist HP (1991) Lysine-pipecolic acid metabolic relationships in microbes and mammals. Annu Rev Nutr 11:435–448

    CAS  PubMed  Article  Google Scholar 

  • Browne RW, Armstrong D (1998) Reduced glutathione and glutathione disulfide. Methods Enzymol 108:347–352

    CAS  Google Scholar 

  • Calberg I, Manervik B (1985) Glutathione reductase. Methods Enzymol 113:484–49

    Article  Google Scholar 

  • Carter N, Pamba A, Duparc S et al (2011) Frequency of glucose-6 phosphate dehydrogenase deficiency in malaria patients from six African countries enrolled in two randomized anti-malarial clinical trials. Malar J 10:241

    CAS  PubMed Central  PubMed  Article  Google Scholar 

  • Cox RP (2001) Errors of Lysine metabolism. In: Scriver CR et al (eds) The metabolic and molecular bases of inherited disease, 8th edn. McGraw-Hill, New York, pp 1965–1970

    Google Scholar 

  • Dickinson DA, Forman HJ (2002) Cellular glutathione and thiols metabolism. Biochem Pharmacol 64:1019–1026

    CAS  PubMed  Article  Google Scholar 

  • Dickinson DA, Moellering DR, Iles KE et al (2003) Cytoprotection against oxidative stress and the regulation of glutathione synthesis. Biol Chem 384:527–537

    CAS  PubMed  Article  Google Scholar 

  • Esterbauer H, Cheeseman KH (1990) Determination of aldehydic lipid peroxidation products: malonaldehyde and 4-hydroxynonenal. Methods Enzymol 186:407–421

    CAS  PubMed  Article  Google Scholar 

  • Ezgu F, Eminoglu T, Okur I et al (2011) An infantile case of Zellweger syndrome presented with Kabuki-like phenotype. Genet Couns 22:217–220

    CAS  PubMed  Google Scholar 

  • Gérard-Monnier D, Chaudiere J (1996) Metabolism and antioxidant function of glutathione. Pathol Biol 44:77–85

    PubMed  Google Scholar 

  • Gutierrez MC, Delgado-Coello BA (1989) Influence of pipecolic acid on the release and uptake of [3H] GABA from brain slices of mouse cerebral cortex. Neurochem Res 14:405–408

    CAS  PubMed  Article  Google Scholar 

  • Habig WH, Pabst MJ, Jacoby WB (1974) Glutathione S-Transferase: the first enzymatic step in mercapturic acid formation. J Biol Chem 249:7130–7139

    CAS  PubMed  Google Scholar 

  • Hagen TM, Ingersoll RT, Lykkesfeldt J et al (1999) (R)-α-lipoic acid-supplemented old rats have improved mitochondrial function, decreased oxidative damage, and increased metabolic rate. FASEB J 13:411–418

    CAS  PubMed  Google Scholar 

  • Halliwell B, Gutteridge JMC (2007) Free radicals in biology and medicine, 4th edn. Oxford University Press Inc., New York

    Google Scholar 

  • Hashida K, Sakakura Y, Makino N (2002) Kinetic studies on the hydrogen peroxide elimination by cultured PC12 cells. Biochim Biophys Acta 1572:85–90

    CAS  PubMed  Article  Google Scholar 

  • Inoue H, Sakata Y, Nishio H et al (2011) A simple and highly sensitive HPLC method with fluorescent detection for determination of pipecolic acid in mouse brain areas. Biol Pharm Bull 34:287–289

    CAS  PubMed  Article  Google Scholar 

  • Ketterer B, Coles B, Meyer DJ (1983) The role of glutathione in detoxication. Environ Health Perspect 49:59–69

    CAS  PubMed Central  PubMed  Article  Google Scholar 

  • Kleinkauf-Rocha J, Bobermin LD, Machado PM et al (2013) Lipoic acid increases glutamate uptake, glutamine synthetase activity and glutathione content in C6 astrocyte cellline. Int J Dev Neurosci 31:165–170

    CAS  PubMed  Article  Google Scholar 

  • Kletzien RF, Harris PKW, Foellmi LA (1994) Glucose 6-phosphate dehydrogenase: a “housekeeping” enzyme subject to tissue-specific regulation by hormones, nutrients and oxidant stress. FASEB J 8:174–181

    CAS  PubMed  Google Scholar 

  • Leong SF, Clark JB (1984) Regional enzyme development in rat brain. Enzymes associated with glucose utilization. Biochem J 218:131–138

    CAS  PubMed  Google Scholar 

  • Lissi E, Caceres T, Videla LA (1986) Visible chemiluminescence from rat brain homogenates undergoing autoxidation. I. Effect of additives and products accumulation. Free Radic Biol Med 2:63–69

    CAS  Article  Google Scholar 

  • Liu S, Baker JC, Andrews PC, Roche TE (1995) Recombinant expression and evaluation of the lipoyl domains of the dihydrolipoyl acetyltransferase component of the human pyruvate dehydrogenase complex. Arch Biochem Biophys 316:926–940

    CAS  PubMed  Article  Google Scholar 

  • Lowry OH, Rosebrough NJ, Farr AL, Randall RJ (1951) Protein measurement with the folin phenol. J Biol Chem 193:265–275

    CAS  PubMed  Google Scholar 

  • Luzzatto L, Mehta A, Vulliamy T (2001) Glucose-6-phosphate dehydrogenase deficiency. In: Scriver CR et al (eds) The metabolic & molecular bases of inherited disease, vol 3. McGraw Hill, New York, pp 4517–4553

    Google Scholar 

  • Manda G, Nechifor MT, Neagu TM (2009) Reactive oxygen species, cancer and anti-cancer therapies. Curr Chem Biol 3:342–366

    CAS  Article  Google Scholar 

  • Marí M, Morales A, Colell A et al (2009) Mitochondrial glutathione, a key survival antioxidant. Antioxid Redox Signal 11:2685–2700

    PubMed  Article  Google Scholar 

  • Marklund SL (1985) Pyrogallol autoxidation. In: Greenwald RA (ed) CRC handbook of methods for oxygen radical research. CRC Press, Boca Raton, pp 243–247

    Google Scholar 

  • Matalon R, Stumpf DA, Michals K et al (1984) Lipoamide dehydrogenase deficiency with primary lactic acidosis: favorable response to treatment with oral lipoic acid. J Pediatr 104:65–69

    CAS  PubMed  Article  Google Scholar 

  • Mazzola PN, Karikas GA, Schulpis KH, Dutra-Filho CS (2013) Antioxidant treatment strategies for hyperphenylalaninemia. Metab Brain Dis 28:541–550

    CAS  PubMed  Article  Google Scholar 

  • Meister A (1988) Glutathione metabolism and its selective modification. J Biol Chem 263:17205–17208

    CAS  PubMed  Google Scholar 

  • Moraes TB, Zanin F, Rosa A et al (2010) Lipoic acid prevents oxidative stress in vitro and in vivo by an acute hyperphenylalaninemia chemically-induced in rat brain. J Neurol Sci 292:89–95

    CAS  PubMed  Article  Google Scholar 

  • Moraes TB, Jacques CE, Rosa AP et al (2013) Role of catalase and superoxide dismutase activities on oxidative stress in the brain of a phenylketonuria animal model and the effect of lipoic acid. Cell Mol Neurobiol 33:253–260

    CAS  PubMed  Article  Google Scholar 

  • Muthuswamy AD, Vedagiri K, Ganesan M, Chinnakannu P (2006) Oxidative stress-mediated macromolecular damage and dwindle in antioxidant status in aged rat brain regions: role of L-carnitine and DL-alpha-lipoic acid. Clin Chim Acta 368:84–92

    CAS  PubMed  Article  Google Scholar 

  • O’Brien ML, Tew KD (1996) Glutathione and related enzymes in multidrug resistence. Eur J Cancer 32:967–978

    Article  Google Scholar 

  • Packer L, Witt EH, Tritschler HJ (1995) Alpha-Lipoic acid as a biological antioxidant. Free Radic Biol Med 19:227–250

    CAS  PubMed  Article  Google Scholar 

  • Packer L, Tritschler HJ, Wessel K (1997) Neuroprotection by the metabolic antioxidant alphalipoic acid. Free Radic Biol Med 22:359–378

    CAS  PubMed  Article  Google Scholar 

  • Pederzolli CD, Rosa AP, de Oliveira AS et al (2010) Neuroprotective role of lipoic acid against acute toxicity of N-acetylaspartic acid. Mol Cell Biochem 344:231–239

    CAS  PubMed  Article  Google Scholar 

  • Plecko B, Hikel C, Korenke GC et al (2005) Pipecolic acid as a diagnostic marker of pyridoxine-dependent epilepsy. Neuropediatrics 36:200–205

    CAS  PubMed  Article  Google Scholar 

  • Roy S, Sen CK, Tritschler HJ, Packer L (1997) Modulation of cellular reducing equivalent homeostasis by alpha-lipoic acid. Mechanisms and implications for diabetes and ischemic injury. Biochem Pharmacol 53:393–399

    CAS  PubMed  Article  Google Scholar 

  • Samuel S, Kathirvel R, Jayavelu T et al (2005) Protein oxidative damage in arsenic induced rat brain: influence of DL-a-lipoic acid. Toxicol Lett 155:27–34

    CAS  PubMed  Article  Google Scholar 

  • Scott BC, Aruoma OI, Evans PJ et al (1994) Lipoic and dihydrolipoic acids as antioxidants: a critical evaluation. Free Radic Res 20:119–133

    CAS  PubMed  Article  Google Scholar 

  • Seminotti B, Leipnitz G, Amaral AU et al (2008) Lysine induces lipid and protein damage and decreases reduced glutathione concentrations in brain of young rats. Int J Dev Neurosci 26:693–698

    CAS  PubMed  Article  Google Scholar 

  • Seminotti B, Fernandes CG, Leipnitz G et al (2011) Neurochemical evidence that lysine inhibits synaptic Na+, K+-ATPase activity and provokes oxidative damage in striatum of young rats in vivo. Neurochem Res 36:205–214

    CAS  PubMed  Article  Google Scholar 

  • Siddique YH, Ara G, Afzal M (2012) Estimation of lipid peroxidation induced by hydrogen peroxide in cultured human lymphocytes. Dose Response 10:1–10

    CAS  PubMed Central  PubMed  Article  Google Scholar 

  • Tew KD, Townsend DM (2012) Glutathione-s-transferases as determinants of cell survival and death. Antioxid Redox Signal 17:1728–1737

    CAS  PubMed  Article  Google Scholar 

  • Tian WN, Pignatare JN, Stanton RC (1994) Signal transduction proteins that associate with the platelet-derived growth factor (PDGF) receptor mediate the PDGF-induced release of glucose-6-phosphate dehydrogenase from permeabilized cells. J Biol Chem 269:14798–14805

    CAS  PubMed  Google Scholar 

  • Wajner M, Latini A, Wyse AT, Dutra-Filho CS (2004) The role of oxidative damage in the neuropathology of organic acidurias: insights from animal studies. J Inherit Metab Dis 27:427–448

    CAS  PubMed  Article  Google Scholar 

  • Wanders R et al (2001) Single peroxisomal enzyme deficiencies. In: Scriver CR et al (eds) The metabolic and molecular bases of inherited disease, 8th edn. McGraw-Hill, New York, pp 3219–3256

    Google Scholar 

  • Wendel A (1981) Glutathione peroxidase. Methods Enzymol 77:325–332

    CAS  PubMed  Article  Google Scholar 

  • Williams AC, Ford WCL (2004) Functional significance of the pentose phosphate pathway and glutathione reductase in the antioxidant defenses of human sperm. Biol Reprod 71:1309–1316

    CAS  PubMed  Article  Google Scholar 

  • Zhang Z, Yang Z, Zhu B et al (2012) Increasing glucose 6-phosphate dehydrogenase activity restores redox balance in vascular endothelial cells exposed to high glucose. PLoS ONE. doi:10.1371/journal.pone.0049128

    Google Scholar 

  • Ziegler D, Reljanovic M, Mehnert H, Gries FA (1999) Alpha-lipoic acid in the treatment of diabetic polyneuropathy in Germany: current evidence from clinical trials. Exp Clin Endocrinol Diabetes 107:421–430

    CAS  PubMed  Article  Google Scholar 

Download references

Acknowledgments

This study was supported by the research grants from Conselho Nacional de Desenvolvimento Científico e Tecnológico (CNPq), Coordenação de Aperfeiçoamento de Pessoal de Nível Superior (CAPES), Fundação de Amparo à Pesquisa do Estado do Rio Grande do Sul (FAPERGS) and PROPESQ/UFRGS.

Conflict of interest

The authors declare that they have no conflict of interest.

Author information

Affiliations

Authors

Corresponding author

Correspondence to Carlos Severo Dutra-Filho.

Rights and permissions

Reprints and Permissions

About this article

Cite this article

Dalazen, G.R., Terra, M., Jacques, C.E.D. et al. Pipecolic acid induces oxidative stress in vitro in cerebral cortex of young rats and the protective role of lipoic acid. Metab Brain Dis 29, 175–183 (2014). https://doi.org/10.1007/s11011-013-9466-3

Download citation

  • Received:

  • Accepted:

  • Published:

  • Issue Date:

  • DOI: https://doi.org/10.1007/s11011-013-9466-3

Keywords

  • Pipecolic acid
  • Oxidative stress
  • Lipoic acid
  • Antioxidant
  • Rat cerebral cortex