Abstract
Traditionally, rock engravings were studied through their visual characteristics. They have been analyzed with comparative and interpretative methodologies of iconography and iconology. However, there has been a recent shift towards identifying production processes, allowing reconstruction of operational characteristics through various methods. Nevertheless, the studies of the technological aspects typically focus on the operational and the mechanical, often omitting the visuality of the outcome. In the current paper, we are using ArchCUT3-D software for computational analysis of 3-D data acquired from various rock engravings located in Timna Park, southern Israel. We show how micro-morphological evidence, extracted from the engraved lines, can decode technical trends and variabilities in a technique’s particular implementation. Then, we conduct a focused examination of one group of engraved figures in order to establish a link between execution techniques and visual considerations. Based on our results and the following discussion, we suggest the term Techné to indicate the choice of technique that goes beyond the instrumental or purely operative perspectives. We highlight the intentional choice, which designs the visual rhetoric of the engraved marks and suggests cultural concepts that contrived the procedural processes.
Similar content being viewed by others
Avoid common mistakes on your manuscript.
Introduction
In studies of past material cultures, there is a dichotomy between the visual and the technological research approaches. The dichotomy between the visual and the technique originates in German philosophies of art, inspired by Kant’s transcendental idealism which focused on the epistemological awareness and not the objects themselves, thus favoring the perception of the objects over the material aspects of their realization (Jamme, 2013; Hendriksen, 2017, 2020). Henceforth, modern art research has been dominated by the study of visual style, greatly influenced by Meyer Schapiro (1953) defining style (reflected in formalistic characteristics) as a classification tool, and while the visual style was given the leading role, the technical aspects were demoted to a secondary, supportive—and sometimes even marginal—position (Belting, 2005; Hendriksen, 2017). In-depth study of production processes was allotted to conservation studies, a research field that flourished as a result of the growth of the museums and the need to develop knowledge and methods pertaining to restoration, preservation, and management of museum articles (Ainsworth, 2021; Schorsch, 2019). In the past decade, there has been an advance in Technical Art History, transpiring from within the museum conservation practices unto academic research, reinforced by Digital Humanities tools (Cardinali, 2017, 2019; Dupré, 2017; Hendriksen, 2020; Hermens, 2012; Jansson, 2021; Streeton, 2022; Weil, 2007).
On the other hand, studies of technological perspective tended to introduce only the practical and the mechanical aspects of production acts (Cardinali, 2019; Costin, 2016 and references therein; Dobres, 2000; Jansson, 2021; Parry, 2008). Indeed, studies of technological style, practiced in archaeological research since the 1970s of the last century (Smith, 1970), focused on classifications of technique implementations, ignoring the visuality of the outcome. Accordingly, stylistic research and research into technology (and technological style) represented different foci of research, i.e., different research objectives and different research methodologies (Belting, 2005; Cardinali, 2019; Dupré, 2017; Fowler, 2019; Hendriksen, 2017, 2020; Jansson, 2021).
Moving beyond the longstanding dichotomy between the visual versus technological methodologies, post-processual archaeology, that accentuates symbolic and social significances, present style as a “way of doing” that communicates the maker and their identity (Hodder, 1985; Sanz & Fiore, 2014; Wiessner, 1990). This aligns with Schapiro’s (1953) conceptualization of style. In both instances, the cognitive, interpretive, symbolic, and human-centric facets of deciphering past cultures are in focus. Schapiro underscores the artist’s agency in the creation of style, a viewpoint that mirrors the post-processual focus on human agency and the influence of individuals and groups in molding material culture. However, unlike Shapiro, post-processual archaeology adopts the technological perspective occasionally combining it with the analysis of visual style (e.g., Sanz & Fiore, 2014; Wiessner, 1990).
Recently, studies (Fiore, 2020; Santos da Rosa et al., 2023) have integrated technological and cognitive factors, encouraging an exploration of what they term “techno-visual affordances.” This aligns with the Greek concept of techné, which encompasses skill application, practical action on materials, technical knowledge, awareness of the creative process, and the resulting outcomes (see Costin, 2016; Dobres, 2000; Fiore, 2020 in archaeology; Staten, 2019 in arts). The combination of these factors in the specific act of production always depends on the context and portrays variations that differentiate it from other parallel acts (Brennan, 2016; Pollitt, 1974). In fact, from the ancient Greeks to the eighteenth century, the techné standpoint was the dominant narrative in art history writing—with the invested skill and the technical processes playing a major part in the creation of “meaning” (e.g., Vasari, 1907/1960). Here, we choose to adopt the techné approach as it enables us to propose a more integrative view on the production act, recombining the technological aspects with the ensuing visuality and intentions standing behind a concrete action of making. This approach will be endorsed through a computational analysis for the understanding of the procedural aspects in the production of rock engravings.
The study of rock engravings is a prominent example of the previously mentioned tendency to separate between stylistic research and research into technology. The distinctive trait of the engravings in archaeological research is their dominant visual component, which demanded a specific research approach, in-between standard art history research and standard archaeological methodologies. It is one of the few fields in archaeology that advocated the visual style approach formulized in the discipline of art history (Francis, 2001), adopting it as a main analytical tool for classifying and interpreting findings (Chippindale & Taçon, 1998; Francis, 2001; Jones, 2017; Jones & Cochrane, 2018; Moro Abadía & González Morales, 2020).
Archaeological studies of rock engravings suggested visual style as an indicator of their cultural origin (since the formal characteristics are the reflection of religious, social, and ethical values of a distinct society) accordingly classifying motifs, identifying images and attributes, and interpreting modes of presentation (see study cases in Anati, 2015, 2023; Angás et al., 2021; Bourdier et al., 2015; Dupuy, 1995; Eisenberg Degen, 2012; Güth, 2012; Lankester, 2012; López et al., 1999; Mandt, 1995; Rothenberg, 1972; Seidl et al., 2015; Tebes, 2017; Tratebas, 1993, 1999; Zeppelzauer et al., 2016; Zotkina et al., 2022). While the organization and classification of the visual data have been implemented using methodologies from the aesthetics/art history fields (e.g., Schneider Adams, 2018), the focus of stylistic research was the product, i.e., the outcome of the “artistic” process. Thus, it is not a coincidence that rock engravings were often classified as traces of “artistic” activity and were labeled as “rock art.”
However, an evaluation of the outcome/product of the engraving process assumes that it is sufficient to interpret only the visual aspects in order to understand the reasoning behind the engraving. Nonetheless, the interpretation of ancient visual language from a contemporary perspective is debatable, considering that visual vocabulary and syntax are deeply intra-cultural (Bednarik, 2011; Layton, 1991). Given the absence of a real possibility to understand the ancient meaning of the forms and their arrangement, our capability to offer an interpretation of the elements of the visual style is extremely limited. This is especially true for non-textual communities’ remains, or in the cases in which only a few examples are available. Any interpretation, beyond being subjective, will be based on models of art creation and consumption in complex societies, and an assumption that the aesthetic principles guiding contemporary scholars, i.e., that they are similar to those which were relevant for past societies (Francis, 2001), can be completely off tangent. Therefore, although research of visual style of rock engravings has at times included descriptive accounts, image classifications, and efforts to understand their meanings through iconography and iconology, we opted for a different direction. We will avoid discussions of imagery and iconography, aligning instead with a more recent research path, that concentrates on the procedural aspects of rock mark-making while examining the perceptive qualities achieved through various techniques and procedures (see Bourdier 2013; Bourdier et al., 2017; Feruglio et al., 2019; Garate et al., 2023; Troncoso & Armstong 2023). We consider this approach beneficial; our contribution lies in providing a detailed examination of procedural consistencies and variations at the micromorphological level, through in-depth analysis of technique and visuality.
Our methods align with a growing tendency in the archaeological studies of engravings to depart from observational methods (Moro Abadía & González Morales, 2020) and the search for the meaning of visual aspects (Tomášková, 2020), rather emphasizing and tracing the acts involved in the making of the engraving/s (Dobres, 2000, 2010; Moro Abadía & González Morales, 2020; Tomášková, 2020). The analysis of mobile engraved artifacts has been based on the identification of overlaps and directionality sequences of the engraved lines (Bello et al., 2020; d’Errico & Cacho, 1994; Farbstein, 2011; Fritz, 1999; Green, 2010, 2016; Lechtman, 1977; Leroi-Gourhan, 1993; Schlanger, 1994). In other cases, the study of the cross-section cuts along the incised paths has been considered as providing indication for the methods of execution. For example, incision’s cross-cuts has been assumed to reveal the nature and state of the material when it was marked (e.g., During & Nilsson, 1991; Greenfield, 2006); allowing characterization of the marks (Domínguez-Rodrigo et al., 2009); providing an estimate of the number of movements involved in creating each incision (e.g., in engraved bones, Bello et al., 2013; Rivero & Garate, 2020; in engraved stone plaquettes, Bello et al., 2020); demonstrating mechanical and gestural properties of tool use (e.g., Bello, 2011; Bello & Soligo, 2008; Rivero & Garate, 2020), and giving evidence of the nature of tools used to create the incision (e.g., Bello & Soligo, 2008; Boschin & Crezzini, 2012; Greenfield, 2006; Lewis, 2008; Moclán et al., 2018; Moretti et al., 2015). The field of taphonomy is especially advancing in development of digital techniques classifying marks (e.g., Arriaza et al., 2017; Barreau et al., 2022; Boschin & Crezzini, 2012; Cifuentes-Alcobendas & Domínguez‐Rodrigo, 2019; Courtenay et al., 2019, 2021; Knüsel & Robb 2016; Maté‐González et al., 2023; Pineda et al., 2023; Yravedra et al., 2017). Similar methodologies have been implemented in some analytical research efforts studying the technological aspects of parietal sites. These studies have contributed to the understanding of the tools and methods used to create rock engravings (Aubry et al., 2011; Bard & Busby, 1974; Bednarik, 1998; Cantin et al., 2022; d’Errico et al., 2002; Fiore, 2007, 2018; Jones & Díaz-Guardamino, 2019; Ruiz López et al., 2019; Santos Da Rosa et al., 2014; Tapper, 2020; Tomášková, 2020; Vergara & Troncoso, 2015; Zotkina & Davydov, 2022; Zotkina & Kovalev, 2019; Zotkina et al., 2020).
While research on visual style continues to predominate in the study of engravings, other archaeological studies have embraced technological analysis methods for several decades (Burke & Spencer-Wood, 2018; Dobres, 2000; Dobres & Hoffman, 1994; Hegmon, 1998; Killick, 2004; Lemonnier, 1993). The term technological style has been advocated from the 1970s of the last century (Smith, 1970 credited with coining the term, see also Childs, 1991; d’Ercole et al., 2017; Green, 2016; Hansen, 2000; Hegmon, 1998; Hurst, 2009; Lechtman, 1984; Lechtman & Merrill, 1977; Moore, 2010; Patel, 2017; Thornton & Lamberg-Karlovsky, 2004; Tschauner, 2006). As there are usually several ways to perform a task, and since the transfer of technological knowledge in pre-industrial societies depends on social structures (e.g., communities of practice), the technologies have been advocated as a product of the social frameworks (Bordes, 1969; Childs, 1991; Close, 2000; Dobres, 1999; Harush & Grosman, 2021; Harush et al., 2019; Lechtman, 1984; Roux, 2020; Valletta et al., 2021; Warnier, 2007; Wendrich, 2012; Wright, 2002).
We propose that through examination of the engraving techniques and the particularities of their application, particularly by analyzing the micromorphological characteristics of engraved surfaces, we can uncover insights into both the sociocultural background of the engravers and their individual actions. Our assumption is that social structure influences production methods and systems, with the production outcome reflecting the individual applications of these methods. We argue that certain social constructs are mirrored in the decisions related to technique selection and their implementations, which can be discerned through an analysis of the micromorphological features of the engravings.
Following the advocates of the production act as integrating cognitive factors (skill, knowledge, awareness of the creative process, and the resulting outcomes) with technological factors (materials and techniques) (see Fiore, 2020 and references therein) and adopting the concept of techné as describing the productive act as a knowledgeable act of “creation of meaning” (Costin, 2016; Dobres, 2000; Staten, 2019), we propose the techné concept as an appropriate approach for studying any singular production act. This allows us to highlight the dynamic interactions between the maker’s cognition and the material world upon which he is working.
We demonstrate this through our newly formulated analytical method with results of a computational analysis of 3-D data obtained from rock engravings and toolmarks in Timna Park, southern Israel (Fig. 1). To enable it, we developed a software and methodology (ArchCUT3-D), presented in detail elsewhere (Dubinsky et al., 2023). We applied this methodology during a two-step analysis: in the first stage, we performed techniques recognition and outlined the micromorphological features within the vertical engraved lines in two engravings and two toolmarks. The variability observed within a specific group of figures required the second step detailed analysis. Our results suggest that the micromorphological characterization of toolmarks left by rock engravers reveals the particular technique mode and enables addressing the features of the visual language.
Timna Park, southern Israel. Map data © MapaGISrael, Google (base: https://maps-for-free.com)
Apparently, through study of the technology, it is possible to reach broader understandings that connect both fields—the technological processes and the visual values. Consequently, we have embraced techné for the characterization of fabrication procedure in the broadest sense, incorporating the duality of the technological and the visual.
Materials
The engravings and intentional rock marks are located at Timna Park, southern Israel (Fig. 1), where there is evidence of 500 years of continuous copper mining and smelting activities, from the fourteenth through the nineteenth century BCE (Ben-Yosef et al., 2010; Ben-Yosef et al., 2012; Ben-Yosef et al., 2019). Several rock engravings are scattered across the area. Each engraving complex is considered to be unique, and no connection was observed between the different complexes. Several other intentional rock marks were traced here, including mining marks, inscriptions, and graffiti. We center this study on two of the most remarkable engravings and mining toolmarks with the goal of defining various techniques of rockwork on site.
Egyptian Stela Engraving (Site 200)
A high located engraved Stela (Site 200) was discovered by Rothenberg in 1972 (Fig. 2). This site, as other sites excavated by the Rothenberg team, had been numbered according to the order of the excavation works. The boundaries of the sites are not defined, but there is an account of their content (see Rothenberg, 1972). Site 200 comprises a worship temple, discovered by A. Nussbaumer in 1964 and excavated since 1969 onwards by Rothenberg. The temple structure incorporates elements of Midianite and Egyptian architectural elements and artifacts (Avner, 2014; Rothenberg, 1972; Schulman, 1976; Ventura, 1974). The Stela Engraving is located about 20 m above the temple.
The overall height of the rock engraving is 1 m, and its overall width is slightly more than half a meter. The Stela portrays engravings of ideological and royal motifs from the Ramsesian period, based on Egyptian prototypes (Schulman, 1976; Ventura, 1974).
Previous research presented this Stela through an iconographic analysis of the motifs and the iconology of the scene (Rothenberg, 1972; Schulman, 1976; Ventura, 1974; Wimmer, 2010). The human figures have been identified as king Rameses III on the left and that of the goddess Hathor on the right (Rothenberg, 1972; Schulman, 1976; Ventura, 1974); the figures are depicted facing each other. The Stela also includes two cartouches between the figures—one in the heads’ area and one in the legs’ area (Rothenberg, 1972, Schulman, 1976; Ventura, 1974). A hieroglyphic inscription is placed under the figure’s feet possibly pointing to Ramesses’ messenger who was present at the site (Schulman, 1976).
The Chariots Engraving (Site 25)
The Chariots Engraving is considered the largest engraving in the park’s area (Fig. 3). It was discovered by the Arabah Expedition (1959–1970) led by Rothenberg (Rothenberg, 1972, 2003). The engraving is situated at the bottom of the cliff’s vertical surface in a narrow creek at Site 25, near an ancient copper mine located in the site's center. Today, the Chariots Engraving is located at about 2 m above ground level, yet the original distance from the ground when the engraving was done is unknown.
The overall dimensions of the engraved scene are 9 m in length and about 2 m high, comprising a total of 72 figures: 31 human figures, 33 animal figures, and 8 chariots. Its graphic language is minimal, composed mostly of linework with occasional filled-in shapes.
Previous studies of the Chariots Engraving were based on iconographic analysis and iconological comparisons. It was interpreted as describing hunting activities alongside a mystic scene attended by Egyptian soldiers and/or representatives of Midianite/Philistines’ local workforce (Anati, 1979, 1999; Rothenberg, 1972, 2003; Tebes, 2017; Yekutieli, 2016).
Mining Shaft NW2 and Mining Shaft N (Site 25)
Walls with toolmarks (Fig. 4) were discovered in the partially collapsed mines near the Chariots Engraving (Rothenberg, 2003). These toolmarks constitute one of the many types of evidence of copper mining in Timna Park. The mines have been dated to the Egyptian New Kingdom (Rothenberg, 2003).
Methods
Three-Dimensional (3-D) Data Acquisition and Registration
The Chariots Engraving was 3-D scanned by POLYMETRIC PT-M4 structured light scanner (for a detailed account of our scanning workflow, see previous publication Dubinsky et al., 2023).
3-D models were created with 0.29-mm point spacing in x-y. The z resolution is 0.036 mm with 0.086-mm depth accuracy. The scanning procedures were conducted at a distance of ca 120 cm from the engraving. The scanner internal program QTSculptor (QTS, Polygon Technology by Polymetric GmbH) had removed redundancies in the measured points, smoothing the mesh without a loss of accuracy, and re-projected the mesh to keep the precision. This registration was done only for the measured data, without any filling. No other filtering, masking, filling, or smoothing processes were employed. The data was registered in a high-resolution mesh, with 0.22 mm average edge length (i.e., the average size of the triangles’ sides in the meshed files).
For the scanning of the Stela and the mine toolmarks, located in hard-to-approach areas, we used the Creaform HandySCAN mobile scanner. The Stela Engraving was scanned while the researchers climbed to the high location on the rock by ladder and top rope (Fig. 5). The accuracy of the created 3-D models is 0.05 mm. This scanning procedure was conducted at a distance of 30–40 cm from the engravings. We were able to place the retro-reflective targets on the un-engraved surfaces of the rock near the lines of the engraving, thus preventing “blind spots” inside the engraved areas. All the optional scan parameters (optimization, fill, decimation, or boundary optimization) were set at the default 0 value. The internal process requires VXelements software to create automatic and direct mesh output represented in real-time, allowing us to check the completeness of the dataset during the scanning process, contributing to the generation of a complete mesh on-site. The final resolution of the Stela Engraving 3-D model is 0.36 mm average edge length and the mine’s toolmarks is 0.25 mm average edge length.
3-D model of each figure in the engraving was trimmed by MeshLab software with a few centimeters of background (e.g., untreated rock surface) around it, without affecting the geometry of the files. The trimming was done to allow for focused observation and analysis.
Analysis of the Engravings
In order to examine the engraved lines, the authors used an originally developed ArchCUT3-D: MATLAB® based software (available for download here: https://sourceforge.net/projects/archcut3-d/). This software characterizes the geometry of an engraving by extracting 3-D slices from the available 3-D data (see Dubinsky et al., 2023).
The ArchCUT3-D software is designed to allow the examination of the object through a two-step process: (1) slicing of the engraved line to obtain a visual representation of the incision’s 3-D micromorphology and (2) extracting measurements from the obtained slices (Fig. 6). Utilizing the first step, we have studied all the existing lines in the engravings to identify the variety of techniques employed in each engraving. For the quantification analysis, we selected sequences along chosen lines.
ArchCUT3-D analysis overview. Left: software interface (a). Right: output of the analysis: individual slice representation (b); AS representation (c); computational analysis: aperture angle in a relative scale enhancing the form of the slice (d), in true-to-scale mode (e), and depth and FWHM measurements extraction (f)
Our goal was to identify the technique used to create the incisions through morphological examination of slices and their sequences and to detect variations in technique implementation by extracting measurements. The techniques were identified based on the inputs of ArchCUT3-D and their association with known stone-working techniques by one of the authors (LD) whose expertise is based on years of practical experience in engraving of Supraduro gypsum. The number of lines selected for quantified analysis from each engraving was dependent on the specific circumstances such as the total number of the engraved figures as well as the number of the individual incisions, their distribution, the state of their conservation, and their micromorphological particularities.
Recognizing the possibility for variations in the morphology of the active zone of the tool during the production of engravings, we apply a multi-faceted analysis that encompasses both morphological and quantified examinations. Accordingly, we are able to take into account local changes, including the wear of the tool. Our analytical framework prioritizes the identification of recurring characteristics that manifest consistently across samples, rather than isolated or potentially anomalous features. Furthermore, our approach is based on the analysis of sequences of slices rather than isolated cuts. This sequential analysis enables us to trace the evolution of morphological characteristics over time, thereby facilitating their gradual nature. By focusing on patterns that emerge across these sequences, our method enhances the accuracy of technique identification, ensuring that transient variations do not skew the interpretation of the data. Through this process, we ensure that our conclusions are drawn from a synthesis of evidence, where corroborative morphological and quantitative data converge to support the identification of specific techniques.
In our methodology, identifying the engraving techniques involved a comprehensive examination of all engraved lines through micromorphological analysis. Technique recognition was based on morphological characteristics including the slice shape, the number of minima points (MP) in each slice, the variations in MP number and placement along the path, and the continuity and variations in the morphology of AS (for details see Dubinsky et al., 2023). As a result of technique recognition, more confined sections were subject to a detailed study, followed by quantified analysis to determine the dimensions, and then statistical examination to interpret these findings. The vertical line was selected as the primary unit for quantified analysis. Our assumption is that they display the rock-marking gestures optimally and most advantageously since during their production, the mark-makers are not required to adjust their movements to the direction of the line path. Being ergonomically straightforward, it more accurately reflects variations in technique rather than variations in path direction, a distinction we have demonstrated in our previous work (Dubinsky et al., 2023).
The second phase of the analysis (see the “Chariot’s Engraving Human Figure Analysis Method” section) investigates engravers’ rationale for employing a variety of techniques. This phase offers an in-depth analysis of the engravers’ decision-making processes throughout the engraving of the Chariots Engraving, with a specific focus on the human figures. In this phase, every line and shape that constitute the human figures was examined through micromorphological analysis and quantification.
Vertical Lines Analysis
Our analysis originally focused on the Chariots Engraving, encompassing more than 83 figures. Recognizing the need for a comparative element to thoroughly examine theories related to diverse technological choices found in the Chariots Engraving, and the nuanced interpretation of engraving practices involving multiple techniques, we selected the Stela Engraving and mine toolmarks for comparison. The Stela Engraving exemplifies the act of engraving using a singular technique, whereas the mine toolmarks, aimed at the practical task of material extraction from rock, provide a functional perspective for interpreting the engraving technique on the Stela.
The sample size for extracting quantitative data was determined based on the findings to facilitate comparison. Considering that most figures within the Chariots Engraving feature at least one vertical line, and occasionally more, we chose to analyze one vertical line from each figure. This selected length strategically avoids edges and line intersections.
For the Stela, all vertical lines were sampled to select those for quantitative analysis. The vertical lines analyzed through quantitative assessment represent different areas of each of the two Stela figures: upper part, upper middle, lower middle, and lower parts. Given that this engraving experienced more environmental damage compared to the Chariots Engraving, evident in phenomena such as water paths intersecting the lines, sections were chosen that exhibit a repeated pattern undisturbed by erosion (Fig. 7). Similarly, we avoided edge areas and areas where lines intersect.
The comparative sample from toolmarks is more limited, including one representative line from each of the mines.
With ArchCUT3-D, the vertical lines were further segmented to avoid line edges or line-crossings. Then automatic sequence (AS) of slices and representation of each individual slice was extracted within each selected segment. The software ensured the presentation of the entire morphological sequence in this mode, not just the individual sections or cuts.
In the Chariots Engraving, AS was produced from 30 human figures, 33 animal figures, and 6 chariots, disregarding figures with no vertical lines (see explanation above). Each figure was marked according to its affiliation and count (e.g., HF60 = human figure, 60th figure from the left; HF = human figure; AF = animal figure; Ch = Chariot). The slicing width was determined according to the size of the incision and ranged from 8 to 20 mm. Slicing tolerance was set to 1 mm (Fig. 8).
In the Stela Engraving, AS was produced from vertical engraved lines in both human figures (see explanation above). Each path was marked according to its affiliation, whether Hathor vertical lines (Hv) or Ramses vertical lines (Rv), and numbered (e.g., Hv0.2 = Hathor figure, vertical line, second from the top). The slicing width was determined according to the size of the incision and ranged from 8 to 20 mm. The slicing tolerance was set to 0.5 mm to provide an accurate analysis of the irregularities that had been observed.
In order to have a comparative sample, a slicing of vertical miner toolmarks found in two of the mines on Site 25 was executed. The toolmarks were sliced in analysis width set to 20–30 mm. The slicing was of 1-mm tolerance.
Slices for further quantitative analysis (aperture angle, depth, and full width at half maximum (FWHM) were selected as follows: when the AS was found to be consistent—the sampled slices were selected at a regular interval; when the AS showed significant fluctuations—the most indicative (salient) slices were chosen.
Chariot’s Engraving Human Figure Analysis Method
As the results (see below) indicated variability in the computational data in vertical incisions of human figures in the Chariots Engraving (compared with the consistency in other figures), we have decided to analyze the morphological characteristics and measurements in every line that constitutes the human figures herein (31 figures, comprising 6–12 engraved lines each). Same workflow was implemented on every line of the human figures similar to that applied to the vertical lines referred to above (see the “Vertical Lines Analysis” section) (Fig. 9).
Results
Vertical Lines- Technique Recognition Results
The examination of AS extracted from the incisions of the Hathor and Ramses figures in the Stela Engraving showed a consistent cyclic “waves” configuration. Each “wave” is in a straight path (no significant change in the minima point on x and y axes) with a deep indentation followed by slices descending in depth. The indentations appear on the path in regular distances (Fig. 10a). The majority of the slices have a single MP, with only a few slices with two MPs. The same morphological characteristics were observed in the AS from the mines’ toolmarks (Fig. 10b). On the other hand, the AS morphology of the vertical lines of the Chariots Engraving presents a continuous linear sequence, with path continuity of MP points that vary in number—single, double, or multiple (Fig. 10c).
The above suggests a single uniformed technique in the Stela and the mine’s toolmarks, the “chisel-and-hammer” technique (i.e., chasing technique). The morphology of the waves indicates that they are a result of the application of focused force in one spot, as the “center of the blow” is clearly shown where the slice is deeper than its other parts, while initiating at the same level of the surface. The following slices reflect the shape of the line created with the impact of the blow. Occasional entry of additional MP signifies overlaps between the next blow and the previous impact.
In the Chariots Engraving, we detected a different technique—the stroking technique—with three different implementation methods. The stroking technique can be identified by MP drawn along several slices, indicating a continuous marking gesture. The MP count indicates the number of times the tool’s tip went over the given incision line. Thus, changes of MP count along the path helpidentify the particularities of the stroking technique implementation in each case: a single MP indicates a single-stroking method; two MPs indicate a double-stroking method, and three and more MPs indicate multiple stroked incisions.
To summarize the result of the technical recognition of vertical lines, we have found that the Stela Engraving was created using the chisel-and-hammer technique. In the toolmarks on the mine’s walls, we recognized the same execution technique as on the Stela. The Chariots Engraving vertical lines were created using the stroking technique, which appears in three different implementation methods: single-strokes, double-strokes, and multiple-strokes.
Vertical Lines- Measurements Extraction Results
The results of the quantitative analysis conducted on four “center of the blow” slices in eight segments of the Stela Engraving portrayed consistency in measured depth and width in all the segments, with low values in the standard deviation (Fig. 11a, b). The execution of the Hathor figure is more consistent compared to that of Ramses.
Slice’s measurements extracted from vertical incisions in Stela and the toolmarks found in the mines: depth values of Stela Engraving (a), FWHM values of Stela Engraving (b), aperture angle values of Stela Engraving (c), depth values of the mines (d), FWHM values of the mines (e), and aperture angle values of the mines (f). Rv represents the vertical lines extracted from Rameses figure; Hv represents the vertical lines extracted from Hathor figure; the mine’s incisions marked by the mine’s location on site 25
In the mines, as expected, higher values were obtained compared to those obtained from the Stela. Analysis of the “blow center” slices showed internal consistency of the quantitative data in each of the incisions. However, differences were revealed between marks produced in the Northwestern and Northern mines (Fig. 11d, e).
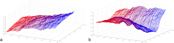
Comparative analysis between the Chariots, Stela, and the mine toolmarks (Figure 12) showed that the mine toolmarks are considerably deeper (Figure 12a) than all the other engraved elements (probably due to the different purpose of the marking act—extracting material in the mines vs. visualization in the engravings). The Chariots Engraving and the Stela show great similarity in depth, indicated by the low SD measurements (Figure 12a). The same trend is observed in the width measurements of the engravings (12b), except the greatest variability in width that is present in the human figures of the Chariots Engraving (see below detailed analysis). A comparative study of the aperture angles obtained from the engravings figure’s incisions and the mine’s toolmarks showed sharper angles in those of the toolmarks (Figure 12c).
Measurements extracted from vertical lines of the Chariots Engraving, Stela Engraving, and the miner toolmarks. Depth values (a); FWHM values (b); aperture angle values (c); the results show consistency of the data within the animal and chariots figure, as well as between the figures in Stela; variations can be identified on the FWHM values of human figures in the Chariots and the depth values in the mine toolmarks
The final phase of the vertical lines analysis was to separate the measurements of depth and width per technique. Lines made by chisel-and-hammer technique showed consistency across the incisions of both figures in the Stela Engraving. The mine toolmarks showed higher values of depth and width than those of the Stela Engraving as clustered in Figure 13. Vertical lines made by the stroking technique in the Chariots Engraving showed more consistency in the animal and chariot figures than in the human figures measurements (Figure 14).
Detecting and Measuring Technique Variability in Human Figures of Chariots Engraving
Following the results of variability, recognized in vertical lines measurements, AS was extracted from each body element of the human figures in Chariots Engraving. Technological identification was performed, and measurements of representative slices of each element were extracted. Consequently, two techniques were identified—the pecking and stroking techniques (Figure 15).
Technique classification: exemplified by slices and AS from the Chariots Engraving’s HF60: representative slice from “body” incision—multiple-stroke technique (a); representative slice from “posterior leg” incision—double-stroke technique (b); representative slice from “posterior arm” incision—single-stroke technique (c); representative slice from “head” incision—pecking technique (d); AS of pecked shape—“head” incision (e); AS of stroked line—“posterior arm” incision (f)
The pecking technique shows an AS configuration that does not have linear consistency; the MPs do not continue between the slices. The form of the slices is characterized by a significant width and multiple MPs.
The stroking technique is identified by MP continuity along several slices, indicating a continuous marking gesture. Following the count of MP in the slices, we recognized three methods of implementation of the stroking technique: single-stroking, double-stroking, and multiple-stroking.
In 94% of the human figures, three or four variations of pecking and stroking techniques were identified (45% contain all four variations). Only 6% portray two variations.
The analysis of technical variability as a function of figures’ elements (representing different body parts) showed consistency in the implementation of the multiple-stroking and the pecking for marking the head and the body, as opposed to the diversity in the choices in the execution of the other human’s figures elements (Figure 16).
FWHM values as an outcome of the applied engraving methods showed that the widest marks were created using multiple-stroking and pecking. As expected, the single-stroked incisions are narrower than other mark-making methods (Figure 17a). FWHM values of the different elements of the human figures showed that the widest marks were consistently used to create the head and the body (Figure 17b).
Summarizing, great variability was detected in the engraver’s choice of engraving methods for different body parts of the human figures. However, the patterns of technical combinations were overall consistent and repetitive, with regularity in the measurement values.
Discussion
We have shown that the examination of the micromorphology with advanced computational tools helps identify and sort engraving techniques used at Timna Park. The results of this technological identification unequivocally exposed considerable differences between engraved clusters. In Stela Engraving, we identified a single execution technique—the chisel-and-hammer technique—that was also recognized in the comparative sample, the mine’ toolmarks. While in the Chariots Engraving, two different techniques were identified—stroking and pecking. The stroking was performed in three different operative methods—single, double, and multiple stroking. These two techniques with their various method implementations are identified as distributed throughout the entire engraved scene.
Our results revealed that the pecking and the multiple stroking produced wider—and thus—more visible lines. As such, when we are approaching the discussion of the product of technological structures, we must first establish that one cannot make a dichotomic separation between the technological aspects and the visual outcome. We must move beyond a simplistic division between the “technological” and the “visual,” and instead explore the ways in which these aspects are intertwined.
Our study has underscored the interplay between technology and visuality, affirming the significance of integrating these aspects in the analysis of rock engravings. In light of this, we follow a methodological approach encapsulated by the term techné, which emphasizes the complex and interrelated processes of fabrication and meaning-making. This approach, while not unprecedented, aligns with and builds upon existing scholarly works that have similarly recognized the importance of considering both technological and visual elements as integral parts of the fabrication process (see the “Introduction” section). The application of techné seeks to further engage with and contribute to ongoing archaeological discussions on this topic.
In order to suggest that the visual variability is intentional, and achieved through deliberate technical choices, we should first discuss both the consistent and variable patterns of our data.
Consistency and Variability
Commonly, it is assumed that consistency of the engraving action reflects the high level of engraving expertise and previous experience of the maker, while major fluctuations resulting in an irregular, messy, and wobbling execution indicate an unskilled engraver, compensating for the inability to leave a desirable mark through repeated stroking (Rivero & Garate, 2020). In our previous analysis (Dubinsky et al., 2023), we presented the graffiti “Gigi” found near the Chariots Engraving made by an inexperienced passerby by the stroking technique. The low level of skill of the execution is easily observed through the differences and inconsistencies of the engraved line measurements (Dubinsky et al., 2023). These results, as well as other experimental studies (Rivero & Garate, 2020), indicate that an operation based on prior experience shows consistency in the performance of the engraving. They suggest that a consistent pattern in strokes application in Stela figures and two groups of figures in the Chariots Engraving (see Figure 12) results from a skilled arm and hand movement, grounded in previous practical experience.
We have found that there is consistency of the depth and width values extracted from eight sliced sections of the Stela incisions. Results showing slightly more consistency in the execution of Hathor when compared to Ramses raise the question of whether the two figures were engraved by the same hand. Based on the obtained results, we cannot determine it with certainty. The other option to consider is that the slight differences in the quantitative parameters of the incision’s slices belonging to the Ramses figure can be related to other factors such as the accessibility of the engraved surfaces or the position of the engraver in relation to the rock during her/his work (which can fluctuate as the engraved area is not accessible from the ground and probably required some sort of scaffolding). Poor accessibility can affect factors such as hand positioning, change in the tool grip, and a change of the angle of the tool’s working edge, which influences the regulation of the engraver’s blowing gesture.
Quantification of the aperture angle is informative as to the shape of the tool’s working edgeoperated against the rock surface. A comparison of the slice’s angle within the Stela incisions showed only slight variations, which can result from differences in the grip of the tool (as said, since the variation is slight, we cannot determine with certainty that it indicates another hand). To exemplify this point, we can refer to the shape of modern chisels. Having a wide face and a narrow face any change in the grip of the tool or in the direction of the incision can affect the angle of the tool’s working edge touching the stone resulting in fluctuations of the aperture angle of the incisions.
The mine toolmarks are deeper and wider than the Stela engraved lines, created by the same chisel-and hammer-technique. Herewith, our assumption is that the mine toolmarks, as intentional and functional marks, bear characteristics of a regulated action defined by its efficiency in removing rock material; given the functional purpose of the mining incisions (to remove as much material as possible) as opposed to the purpose of the Stela Engraving act (accuracy of the image-making act), it is clear that intensity of the hitting gesture required in these two cases substantially differs. Thus, during the mining operation, the main emphasis is on the power applied while subtracting the rock surface and not on the visibility or accuracy of the marks on the rock surface. At the same time, the noticeable differences between the mining incisions of the two mines can suggest different hands. Assuming that overall, the goal is to remove as much material as possible, it is probably testifying to two miners whose blowing intensity was different—whether due to physiological differences or any other factors.
The angles measured in the mining marks significantly differ from the angles measured in the Stela Engravings. The similarity of the angle in the marks from the two mines indicates the probability that the miners used a standardized tool.
The sharper angle of the mining marks corresponds to the main action of chipping off maximum rock’ material. On the other hand, the wider angle of the Stela incisions aimed assumingly, to achieve more visible, distinct lines.
The quantitative parameters of the Chariots incisions reveal consistency in the angle and depth dimensions. Interestingly, the results of the slice’s width within the group of the human figures are of significant variability, while those of the other elements—the chariot and the animal figures—show consistency. Since the chariot and the animal figures are arrayed across the entire engraved area of the Chariots Engraving, the detected consistency allows to assume that this engraving is an outcome of an operation of a single engraver or a group using the same engraving protocol.Footnote 1 This consistency enables us to examine the Chariots Engraving (excluding a few exceptions that will be mentioned further) as a unified product or as a product of a continuous act, in which an exception can prove the rule. At the same time, the consistency in the portraying of the animals and the chariots requires to understand the variability observed in the human figures. Assuming a single authorship, how can we understand the variability detected in this one group?
Techniques and Visual Language
We have learned that the same modes of execution were evenly distributed according to the figure’s elements. Almost all the human figures of the Chariots Engraving show a combination of at least three mark-making methods. In the majority of cases, the pecking technique was chosen to mark the head, while the multiple stroking was chosen to mark the body. The only exceptions are two figures—HF66 and HF83—which portray only two mark-making methods. When first recorded those figures were named “the rider” and “the shaman” because of the different visual language and their distinct, apart, placement. A possible explanation for this exception is that these two figures were created by a different mark-maker. It seems that the pecking and the multiple-stroking produce wider marks in the depiction of human figures. Is the use of these particular techniques due to practical reasoning such as minimal labor investment?
Discussing the possible reasoning behind the variability in the number of strokes invested in each line, we should discuss how many strokes are needed to achieve any visibility. The soft Nubian sandstone of the Chariots Engraving and its vertical surface allowed the engraver to invest more pressure during the engraving of vertical, top-to-bottom lines, resulting in an easy and efficient execution of the said lines. Thus, in order to achieve any visibility, it would have been sufficient to invest only one gesture, given the optimal stroking conditions (from top to bottom) and following the principle of economy of effort. Conversely, less convenient conditions will require repetitions of the stroking act in order to obtain similar visibility. Nevertheless, our analysis of the FWHM values as a function of the technique showed that the labor-intense techniques achieve a wider and thus more visible marks on the rock. Important to note that wider incisions gather more shadow, while the shadow is what creates the visibility. Accordingly, the body lines were incised more widely into the rock surface when compared to lines marking the limbs, which implies that the lines of the body, produced by a more laborious technique, achieved enhanced visibility. We can assume that investment of repetitive gestures in producing body lines indicates an intention to manage the degree of visuality (through the employment of labor-intensive techniques). As for the head elements, theoretically, it seems more efficient to produce them by fast marking technique, such as a contouring line. However, in most of human figures, the head was produced with the more time-consuming pecking technique, producing a filed-in (and as such—more visible) element.
It seems that the chosen techniques do not follow practical operational considerations (intentional minimal labor investment) but entitle other factors that guided the engraving process (Fiore, 2007; Rivero & Garate, 2020). We suggest that there was an intentional technological choice related to the visual intensity of an incision. The mark-making methods (different line execution and shape formation) decode figurative expression, structuring the visual language of the Chariots Engraving.
Understanding the production processes in this way provides valuable information on the engraver’s mastering of the visual language and the use of the visual rhetoric. We suppose that technological structures may serve, potentially, a key for recognizing visual canons, deriving from the cultural background of the engraver and the representational systems drawn from them (Gombrich & Bell, 1976; Semper, 2004). The wider incisions in the body lines may reflect an attempt to create an emphasis on that element and may be inferred as a key feature in the legibility of the sign. Similar suggestions can be made when examining the changes in the production technique in the head area. The choice of pecking—rather than the engraver’s primary method of stroking—in order to create the dominancy of the head, follows the same logic. As a result, it establishes a note of accord in the visual grammar of the engraved figure. This choice would mark the head as the visually dominant element, while the body would be classified as a subdominant element, with subordinate lines creating the other elements of the figure. The visual hierarchy of the elements structures the components of visual literacy. Consequently, we can link the former to the techniques used in their production. The quantified data acquired from the analysis of technique distribution by element reflect visual emphasis on specific elements and thus—visual codes embodied through the hierarchical design of elements of the human figures. The technological variations, in what seems to be a limited grouping of schematic elements, form visual statements that regulate these elements’ recognition and reading, creating perceptive characteristics (Figure 18).
In sum, it appears that labor intense techniques of multiple stroking and pecking, used repeatedly for the body and head elements, did not create just any sort of visibility but were used as a tool for creating emphasized, directed visibility. Our results allow us to acknowledge the techniques distribution in the Chariots Engraving as a tool to decode visuality.
We have shown that the study of the engraving acts enables an understanding of the techniques and, as a follow-up—the particularities of visual language and visual rhetoric that they regulate. We have indicated, with computational tools, that these two aspects are entwined and inseparable.
As mentioned above, the stylistic research has its roots in art history, while the research of techniques and technological styles has been endorsed in the archaeological domain. But is the separation between the practical knowledge, its individual application (singular variations and skills), and visual rhetoric of the outcome fundamental, decisive, or necessary? Our results show that while the technical can be principal, objective, and generalized (Ingold, 1997), it also contains particularities of personal, skilled tool-use as well as reasoning of meaning-creation throughout the visual aspects of the outcome. Therefore, the Greek concept of techné (see the “Introduction” section) is not limited to practical skill with a material. It is both concrete and variable; its application depends on the intellectual, cultural, and individual context. Allowing to revoke the division between the technological and the visual, it is found to be useful in defining analytical tools for unveiling the techniques, bound with the subjective reasoning behind their implementation (including the visuality of the outcome). Surely it can represent the united nature of the technical action with the visual language it constructs. Recognizing the regularities and variabilities in technique implementation enables the revelation of the visual reasoning that, possibly, guided these actions. Thus, one can seek for links between societal structures and their values, as they are portrayed by the individual productive process. This is where great research potential is to be found.
Unlocking the Perspectives Behind the Technical Process
We can further speculate about the nature of operative choices driven by cultural and cognitive factors and discuss possible links between pragmatic and conceptual aspects of the engraving act.
Technique identification allows us to gauge the operational knowledge structures that can be related to each of the engravings. The technological tendencies in the Stela, made by the chisel-and-hammer technique, and the Chariots Engraving, made by pecking and stroking methods, indicate differences in the technological background of the engravers. These differences suggest that they likely originated from two distinct communities, each characterized by its own visual language and engraving techniques.
In the literature, the most frequently mentioned rock and stone engraving techniques are stroking, scraping, and pecking (called otherwise “direct percussion”) (Baird & Taylor, 2011; Fiore, 2007 and references therein; Morris, 1988). The wide use of stroking and pecking techniques is usually associated with absence of previous experience (see experiments in Bednarik, 1998 and references therein; Fiore, 2007; Rivero & Garate, 2020; and discussions in Huntley, 2017; Keegan, 2014), and no need for dedicated tools, as any pointed hard object can suffice (e.g., Bard & Busby, 1974; Bednarik, 1998; Fiore, 2007 and references therein; Keegan, 2014). Occasionally, the resulting marks are referred to unflatteringly as “scratching” or “scribbling” (Baird, 2018; Baird & Taylor, 2011; Ragazzoli et al., 2017; Stern, 2018). Studies focused on low-placed engraved complexes, comprised of stroked and pecked marks, interpret them as graffiti produced by children (for ancient Roman Pompeii and Compania see Huntley, 2012, 2017; for 20th century Parisian streets, see Hopkins, 2015). This conclusion supports the presumption that stroking and pecking techniques can be considered intuitively natural and do not necessarily require previous experience.
Difficulties to distinguish meaningful (to research) stroked engravings from common graffiti, doodling, or vandalism—sometimes causing dismissing of engraved complexes (Fernandes, 2009; Hopkins, 2015)—are yet another reflection of presumptions regarding the low-skill nature of this engraving technique. In closer connection to our study case, this perception is well exemplified in the contemporary erasure of the left upper part of the Chariots Engraving panel since it was suspected to be a product of a vandalistic act (Holzer, personal communication; Rothenberg, 2003).
On the other hand, the chisel-and-hammer technique is commonly associated with the development of metal and considered high-skilled practice that requires expertise and knowledge transfer (Meilach, 1970; Miller, 1948; Rockwell, 1990, 1993). Starting with the Egyptian Pharaonic era and onwards, it became the dominant and standard manual technique in the professional training of stoneworkers, stone sculptors, and engravers up to the present days with no, or just minor, changes (Adam, 1966; Dunn, 2010; Lucas, 1948; Miller, 1948; Rockwell, 1990, 1993; Shaw, 2012; Smith, 1949; Stocks, 2003, 2020; Van Voorhis, 2018). The catalyst for the standardization of chisel-and-hammer technique in ancient Egypt was the technological evolution in the field of metal processing that allowed hardening the metal, resulting in the development of metal chisels (Adam, 1966; Etienne, 1968; Freed, 1984; Lucas, 1948; Miller, 1948; Smith, 1949; Stocks, 2020, Weinstein, 1974). This technique became further common through time until our days, called a “universal technique” due to its optimal labor efficiency, alongside potential precision (Rockwell, 1993). Stela’s surroundings were previously shown to be institutional, both through the studies of labor organization of the mining and smelting activities in Timna (Ben-Yosef et al., 2010, Ben-Yosef et al., 2012, Ben-Yosef et al., 2019; Rothenberg, 1972, 2003), and through the recognition of the royal content of the Stela Engraving (Rothenberg, 1972; Schulman, 1976; Ventura, 1974; Wimmer, 2010). The availability of copper technologies, during the quarrying activities at Timna, supports our hypothesis that the Stela engraver originated from a community with the knowledge and capability to manage complex metalwork. Interesting to note that the iconography compliments our technological observations. The formal/institutional technique we identified, probably depended on the advancements in metalworking, employed to produce formal/institutional content. Once again, it can verify the Egyptian royal representative attendance in the Timna area. While during our study we chose not to refer to the iconography, but to the technological aspects only, we can now point out that both aspects complement each other—the identified formal/institutional technique, used to create the formal/institutional content.
The predictability of the visual outcome, required by the institutional visual language, depends on the consistency of the technical action. In the current case—a stable implementation of a single technique. Here, we harness for the current discussion the theoretical perspective, originating in the theory of craftmanship. The standardization of effort/execution detected in the Stela Engraving is a sign of social structures that demand “workmanship of certainty” (Pye, 1968). Technical standardization serves as a testament to the necessity of “certainty,” or the regulation and predictability of execution, which is crucial for the establishment to ensure the final product aligns with its dictates, impositions, and edicts. Our assumption links the chisel-and-hammer technique to the standardization of visual canons in Ancient Egypt. The uniformity of the technique hints that the emphasis is placed on imagery as the primary tool for meaning-making. Unsurprisingly, the Stela Engraving relies on familiar visual catalogs that originated within the hierarchical system of the Egyptian establishment, while our results hint at the standardization of the operational act as one that serves the institutionalized visual language.
Nevertheless, the technical variabilities (and their distribution) in the Chariots Engraving testify to a different kind of complexity. While we have established expertise, indicated by executive consistency (see the “Consistency and Variability” section), we have also observed technological variability in the human figures suggesting non-operative, but visual, considerations (see the “Techniques and Visual Language” section). This demonstrates the second definition of Pye’s theory—the “workmanship of risk” (Pye, 1968:20). It is a “free process” workmanship (ibid.) that creates diversity on the smallest visible scale, recognized only at “very close range” (ibid., 64). Hence, we can envision Chariots Engraving as the product of an engraver who implemented a protocol that features mutual relationships between the imagery and the technique. Unlike in the case of Stela, where the regulation of imagery dictates a predictable and uniform technical execution, in Chariots Engravings, the technical aspects and visual elements are much more interconnected, and variations in technique control the image readability. The visual language is minimal and, at first sight, appears similar to a wide range of other engraved findings worldwide (referred to as “stick-figures”) and assigned to different groups. Nonetheless, through micromorphological inspection, these can be distinguished from other stick-like engravings. We have demonstrated that the employment of techniques as rhetorical tools of the engraving medium indicates that this engraver controls both aspects, while the technological one regulates the perceptual aspects of the workmanship, potentially evolving during the engraving act itself.
Summary
The present study, focusing on two engravings in Timna Park, enabled us to construct a framework for studying technological choices, defining and analyzing their outcome with a computational tool. We have shown that it is possible to identify not only the technique that was used but also the characteristics of the visual language that guided the application of the techniques. We believe that the individual representational schemes, carried out by the engraver, can provide us with socio-cultural insights gained through the study of technique variations and the characterization of quantitative parameters.
Developments in digital tools harnessed for archaeological studies make it possible to advance our research approach and to offer progressive methods for exploring engraved surfaces, in order to gain a deeper understanding of the actions, skills, and techniques required to produce them.
While recognizing the standardization of execution methods in the Stela Engraving, our methodology revealed that the Chariots engraver’s decisions during the production process did not follow purely practical technological constraints. Indicative characteristics of production conventions and the variabilities in the technique application can serve as clues to the conceptual schemes that guided the engraver and may provide a link between execution techniques and visual considerations. The visual modes, when defined or inferred through differences in the execution of features and elements, enable discussion on the “techno-visual codes” as a signature of mark-makers. The concept of techné can be fruitful for creating links between the principled and the personal aspects of know-how, with the ultimate aim of identifying social codes. Thus, it is being not only informative as to application aspects, but, on a closer look, conceals cognitive perceptions and perspectives that can be beneficial for socio-cultural characterization of the engravers.
Given the long history of occupation in Timna area, and as most engraved clusters within it are considered to be unique, it is difficult to provenance their makers based solely on stylistic characteristics. Our approach, i.e., a comparison between the production techniques of the engravings and the micromorphological properties of its lines, can aid and provide sound platform for comparison. A computational method for identifying ancient technologies means there is the ability to differentiate between particular techniques reflecting cultural conventions, incorporating aspects of material availability, geographical locations (see Dubinsky et al., 2023), level of technological development, societal connections, and learning networks.
The analysis presented above moves us a significant step forward on the way to identifying the “fingerprints” of engraved complexes and unlocking hidden concepts behind the creative process.
Data Availability
The dataset analyzed during the current study and the ArchCUT3-D software (and future updated versions) are available for download on the SourceForge repository: https://sourceforge.net/projects/archcut3-d/.
Notes
Since we cannot definitely conclude whether the authorship of this engraving is by a single person or by a group that uses the same protocol, we will henceforth, for the sake of convenience, refer to the engraver of Chariots Engraving as a single person.
References
Adam, S. (1966). The technique of Greek sculpture in the archaic and classical periods. Thames and Hudson.
Ainsworth, M. W. (2021). From connoisseurship to technical art history: The evolution of the interdisciplinary study of art. In J. Marstine, & O. Ho Hing Kay (Eds.), Curating Art (pp. 27–32). Routledge. https://doi.org/10.4324/9781315686943
Anati, E. (1979). L’arte Rupestre del Negev e del Sinai. Milan: Jaca Books
Anati, E. (1999). The rock art of the Negev desert. Near Eastern Archaeology, 62(1), 22–34. https://doi.org/10.2307/3210720
Anati, E. (2015). Rock art of Negev and Sinai (3rd ed.). Capo di Ponte: Atelier
Anati, E. (2023). The origins of religion (2nd ed.). Capo di Ponte: Atelier.
Angás, J., Bea, M., Jasim, S. A., Uribe, P., & Farjas, M. (2021). New insights into human occupation through rock art at Khatm al Melaha archaeological site (Sharjah, United Arab Emirates). Journal of Archaeological Science: Reports, 39, 103147. https://doi.org/10.1016/j.jasrep.2021.103147
Arriaza, M. C., Yravedra, J., Domínguez-Rodrigo, M., Mate-González, M. Á., García Vargas, E., Palomeque-González, J. F., Aramendi, J., González-Aguilera, D., & Baquedano, E. (2017). On applications of micro-photogrammetry and geometric morphometrics to studies of tooth mark morphology: The modern Olduvai Carnivore Site (Tanzania). Palaeogeography, Palaeoclimatology, Palaeoecology, 488, 103–112. https://doi.org/10.1016/j.palaeo.2017.01.036
Aubry, T., Sampaio, J., & Luís, L. (2011). Approche expérimentale appliquée à l’étude des v estiges du Paléolithique supérieur de la Vallée d u Côa (Portugal). In A. Morgado, J. Baena Preysler, & D. García González (Eds.), La Investigación Experimental Aplicada a la Arqueología. Vol. 1: Tecnología y Traceologí a Lítica Prehistórica y Su Experimentación (pp. 87–96). Granada: Universidad de Granada.
Avner, U. (2014). Egyptian Timna – reconsidered. In J. M. Tebes (Ed.), Unearthing the wilderness: Studies on the history and archaeology of the Negev and Edom in the Iron Age (pp. 103–162). Peeters.
Baird, J. A. (2018). In small scratches forgotten: New perspectives on graffiti from ancient Dura-Europos. Tijdschrift Voor Geschiedenis, 131(1), 17–33. https://doi.org/10.5117/TVGESCH2018.1.BAIR
Baird, J. A. & Taylor C. (Eds.). (2011). Ancient graffiti in context. Routledge. https://doi.org/10.4324/9780203840870
Bard, J. C., & Busby, C. I. (1974). The manufacture of a petroglyph: A replicative experiment. Contribs. Of the University of California Archaeology Res. Faculty, 20, 83–101.
Barreau, J.-B., Gagnier, A., Gaugne, R., Marchand, G., Calvo Gómez, J., Gouranton, V., & Colleter, R. (2022). Use of different digitization methods for the analysis of cut marks on the oldest bone found in Brittany (France). Applied Sciences, 12, 1381. https://doi.org/10.3390/app12031381
Bednarik, R. G. (1998). The technology of petroglyphs. Rock Art Research, 15, 23–35.
Bednarik, R. G. (2011). Ethnographic analogy in rock art interpretation. Man in India, 91(2), 223–234.
Bello, S. M., & Soligo, C. (2008). A new method for the quantitative analysis of cutmark micromorphology. Journal of Archaeological Science, 35(6), 1542–1552. https://doi.org/10.1016/j.jas.2007.10.018
Bello, S. M., De Groote, I., & Delbarre, G. (2013). Application of 3-dimensional microscopy and micro-CT scanning to the analysis of Magdalenian portable art on bone and antler. Journal of Archaeological Science, 40(5), 2464–2476. https://doi.org/10.1016/j.jas.2012.12.016
Bello, S. M., Blinkhorn, E., Needham, A., Bates, M., Duffy, S., Little, A., Pope, M., Scott, B., Shaw, A., Welch, M. D., Kinnaird, T., Millar, L., Robinson, R., & Conneller, C. (2020). Artists on the edge of the world: An integrated approach to the study of Magdalenian engraved stone plaquettes from Jersey (Channel Islands). PLOS ONE, 15(8), e0236875. https://doi.org/10.1371/journal.pone.0236875
Bello, S. M. (2011). New results from the examination of cut-marks using three-dimensional imaging. In N. Ashton, S. G. Lewis, & C. Stringer (Eds.) The Ancient Human Occupation of Britain (pp. 249-262), Elsevier. https://doi.org/10.1016/B978-0-444-53597-9.00013-3
Belting, H. (2005). Toward an anthropology of the image. In M. Westermann (Ed.), Anthropologies of art (pp. 41–58). Williamstown: Sterling and Francine Clark Art Institute.
Ben-Yosef, E., Tauxe, L., & Levy, T. E. (2010). Archaeomagnetic dating of copper smelting site F2 in the Timna Valley (Israel) and its implications for the modelling of ancient technological developments: Archaeomagnetic dating of site F2 in the Timna Valley (Israel). Archaeometry, 52(6), 1110–1121. https://doi.org/10.1111/j.1475-4754.2010.00528.x
Ben-Yosef, E., Shaar, R., Tauxe, L., & Ron, H. (2012). A new chronological framework for iron age copper production at Timna (Israel). Bulletin of the American Schools of Oriental Research, 367, 31–71. https://doi.org/10.5615/bullamerschoorie.367.0031
Ben-Yosef, E., Liss, B., Yagel, O. A., Tirosh, O., Najjar, M., & Levy, T. E. (2019). Ancient technology and punctuated change: Detecting the emergence of the Edomite Kingdom in the Southern Levant. PLOS ONE, 14(9), e0221967. https://doi.org/10.1371/journal.pone.0221967
Bordes, F. (1969). Reflections on typology and techniques in the Palaeolithic (J Kelley & J Cinq-Mars, Trans). Arctic Anthropology, 6(1), 1–29.
Boschin, F., & Crezzini, J. (2012). Morphometrical analysis on cut marks using a 3D digital microscope: A new tool for understanding taphonomy. International Journal of Osteoarchaeology, 22(5), 549–562. https://doi.org/10.1002/oa.1272
Bourdier, C. (2013). Rock art and social geography in the Upper Paleolithic Contribution to the socio-cultural function of the Roc-aux-Sorciers rock-shelter (Angles-sur-l’Anglin, France) from the viewpoint of its sculpted frieze. Journal of Anthropological Archaeology, 32(4), 368–382. https://doi.org/10.1016/j.jaa.2013.05.005
Bourdier, C., Fuentes, O., & Pinçon, G. (2015). Contribution of 3D technologies to the analysis of form in late Palaeolithic rock carvings: The case of the Roc-aux-Sorciers rock-shelter (Angles-sur-l’Anglin, France). Digital Applications in Archaeology and Cultural Heritage, 2(2–3), 140–154. https://doi.org/10.1016/j.daach.2015.05.001
Bourdier, C., Fuentes, O., Pinçon, G., & Baleux, F. (2017). Methodological contribution to the integrated study of European Palaeolithic rock art: The issue of the audience and the perceptibility of Roc-aux-Sorciers rock art (Angles-sur-l’Anglin, France). Quaternary International, 430, 114–129. https://doi.org/10.1016/j.quaint.2016.12.009
Brennan, T. (2016). Technē. In Routledge Encyclopedia of Philosophy (1st ed.). Routledge. https://doi.org/10.4324/9780415249126-A135-1
Burke, C., & Spencer-Wood, S. M. (2018). Crafting in the world: Materiality in the making. Cham: Springer Nature International Publishing.
Cantin, A., Valentin, B., Thiry, M., & Guéret, C. (2022). Social context of Mesolithic rock engravings in the Fontainebleau sandstone region (Paris Basin, France): Contribution of the experimental study. Journal of Archaeological Science: Reports, 45, 103554. https://doi.org/10.1016/j.jasrep.2022.103554
Cardinali, M. (2017). Technical art history and the first conference on the scientific analysis of works of art (Rome, 1930). History of Humanities, 2, 221–243. https://doi.org/10.1086/690580
Cardinali, M. (2019). Digital tools and technical views: The intersection of digital art history and technical art history in a digital archive on the painting technique of Caravaggio and his followers. Visual Resources, 35(1–2), 52–73. https://doi.org/10.1080/01973762.2019.1555351
Childs, S. T. (1991). Style, technology, and iron smelting furnaces in Bantu-speaking Africa. Journal of Anthropological Archaeology, 10(4), 332–359. https://doi.org/10.1016/0278-4165(91)90006-J
Chippindale, C., & Taçon, P. S. C. (1998). The archaeology of rock-art. Cambridge University Press.
Cifuentes-Alcobendas, G., & Domínguez-Rodrigo, M. (2019). Deep learning and taphonomy: High accuracy in the classification of cut marks made on fleshed and defleshed bones using convolutional neural networks. Scientific Reports, 9(1), 18933. https://doi.org/10.1038/s41598-019-55439-6
Close, A. E. (2000). Reconstructing movement in prehistory. Journal of Archaeological Method and Theory, 7(1), 49–77. https://doi.org/10.1023/A:1009560628428
Costin, C. L. (2016). Introduction. In C. L. Costin (Ed.), Making value, making meaning: Techné in the pre-Columbian world. Dumbarton Oaks Research Library and Collection. https://www.hup.harvard.edu/catalog.php?isbn=9780884024156
Courtenay, L. A., Yravedra, J., Huguet, R., Ollé, A., Aramendi, J., Maté-González, M. Á., & González-Aguilera, D. (2019). New taphonomic advances in 3D digital microscopy: A morphological characterisation of trampling marks. Quaternary International, 517, 55–66. https://doi.org/10.1016/j.quaint.2018.12.019
Courtenay, L. A., Herranz-Rodrigo, D., Yravedra, J., Vázquez-Rodríguez, J. M., Huguet, R., Barja, I., Maté-González, M. Á., Fernández, M. F., Muñoz-Nieto, Á. -L., & González-Aguilera, D. (2021). 3D insights into the effects of captivity on wolf mastication and their tooth marks; implications in ecological studies of both the past and present. Animal, 11(8), 2323. https://doi.org/10.3390/ani11082323
d’Ercole, G., Budka, J., Sterba, J. H., Garcea, E. A. A., & Mader, D. (2017). The successful ‘recipe’ for a long-lasting tradition: Nubian ceramic assemblages from Sai Island (northern Sudan) from prehistory to the New Kingdom. Antiquity, 91(355), 24–42. https://doi.org/10.15184/aqy.2016.262
d’Errico, F., & Cacho, C. (1994). Notation versus decoration in the Upper Palaeolithic: A case-study from Tossal de la Roca, Alicante. Spain. Journal of Archaeological Science, 21(2), 185–200. https://doi.org/10.1006/jasc.1994.1021
d’Errico, F., Sacchi, D., & Vanhaeren, M. (2002). L’analyse technique de l’art gravé de Fornols-Haut, Campôme, France. Implications dans la datation des représentations de style paléolithique à l’air libre. In D. Sacchi (Ed.), L’art paléolithique à l’air libre: Le paysage modifié par l’image. Actes du Colloque International sur L’art Pal’olithique á l’air libre. (pp. 75–86). Carcassonne: Gaep & Géopré.
Dobres, M.-A. (1999). Technology’s links and chaînes: The processual unfolding of technique and technician. In M.-A. Dobres & C. R. Hoffman (Eds.), The social dynamics of technology: Practice, politics, and world views (pp. 124–146). Smithsonian Institution Press.
Dobres, M.-A. (2010). Archaeologies of technology. Cambridge Journal of Economics, 34(1), 103–114. https://doi.org/10.1093/cje/bep014
Dobres, M.-A., & Hoffman, C. R. (1994). Social agency and the dynamics of prehistoric technology. Journal of Archaeological Method and Theory, 1(3), 211–258. https://doi.org/10.1007/BF02231876
Dobres, M.-A. (2000). Technology and social agency: Outlining a practice framework for archaeology. Oxford: Blackwell.
Domínguez-Rodrigo, M., de Juana, S., Galán, A. B., & Rodríguez, M. (2009). A new protocol to differentiate trampling marks from butchery cut marks. Journal of Archaeological Science, 36(12), 2643–2654. https://doi.org/10.1016/j.jas.2009.07.017
Dubinsky, L., David, M., & Grosman, L. (2023). Recognizing technique variation in rock engravings: ArchCUT3-D for micromorphological analysis. Humanities and Social Sciences Communications, 10, 316. https://doi.org/10.1057/s41599-023-01742-7
Dunn, C. (2010). Lost technologies of ancient Egypt: advanced engineering in the temples of the pharaohs. Inner Tradition/Bear & Co.
Dupré, S. (2017). Materials and techniques between the humanities and science: Introduction. History of Humanities, 2(1), 173–178. https://doi.org/10.1086/690577
Dupuy, C. (1995). Saharan nomadic pastoral peoples with a rock engraving tradition. In K. Helskog & B. Olsen (Eds.), Perceiving rock art: Social and political perspectives (pp. 146–168). The Institute for Comparative Research in Human Culture.
During, E. M., & Nilsson, L. (1991). Mechanical surface analysis of bone: A case study of cut marks and enamel hypoplasia on a neolithic cranium from Sweden. American Journal of Physical Anthropology, 84(2), 113–125. https://doi.org/10.1002/ajpa.1330840202
Eisenberg Degen, D. (2012). Rock art of the central Negev: documentation, stylistic analysis, chronological aspects, the relation between rock art and the natural surroundings, and reflections on the mark makers‘ society through the art. [Ph.D., Ben Gurion University of the Negev].
Etienne, H. J. (1968). The chisel in Greek sculpture: A study of the way in which material, technique and tools determine the design of the sculpture of ancient Greece. Leiden: Brill.
Farbstein, R. (2011). Technologies of art: a critical reassessment of Pavlovian art and society, using chaîne opératoire method and theory. Current Anthropology, 52(3), 401–432. https://doi.org/10.1086/660057
Fernandes, A. P. B. (2009). Vandalism, graffiti or “just” rock art? The case of a recent engraving in the Côa Valley rock art complex in Portugal. Congresso Internacional Da IFRAO, 2009, 729–743.
Feruglio, V., Bourdier, C., Delluc, M., Mora, P., Aujoulat, N., & Jaubert, J. (2019). Rock art, performance and Palaeolithic cognitive systems. The example of the Grand Panel palimpsest of Cussac Cave, Dordogne. France. Journal of Anthropological Archaeology, 56, 1–13. https://doi.org/10.1016/j.jaa.2019.101104
Fiore, D. (2007). The economic side of rock art: Concepts on the production of visual images. Rock Art Research, 24(2), 149–160.
Fiore, D. (2018). The materiality of rock art: Image-making technology and economy viewed from Patagonia. In A. Troncoso, F. Armstrong, & G. Nash (Eds.), Archaeologies of rock art: South American perspectives (pp. 23–57). Routledge.
Fiore, D. (2020). The art of making images: Technological affordance, design variability and labour organization in the production of engraved artefacts and body paintings in Tierra del Fuego (Southern South America). Journal of Archaeological Method and Theory, 27(3), 481–510. https://doi.org/10.1007/s10816-020-09474-7
Fowler, C. (2019). Technical art history as method. The Art Bulletin, 101(4), 8–17. https://doi.org/10.1080/00043079.2019.1602446
Francis, J. E. (2001). Style and classification. In D. S. Whitley (Ed.), Handbook of Rock Art Research (pp. 221–246). Altamira Press.
Freed, R. E. (1984). The Development of middle kingdom Egyptian relief sculptural schools of late dynasty xi with an appendix on the trends of early dynasty XII (2040—1878 BC) [Ph.D., New York University]. Retrieved December 6, 2022, from https://www.proquest.com/docview/303308275/abstract/56F02308FEA0486CPQ/1
Fritz, C. (1999). Towards the reconstruction of Magdalenian artistic techniques: The contribution of microscopic analysis of mobiliary art. Cambridge Archaeological Journal, 9(2), 189–208. https://doi.org/10.1017/S0959774300015377
Garate, D., Rivero, O., Rios-Garaizar, J., Medina-Alcaide, M. Á., Arriolabengoa, M., Intxaurbe, I., Ruiz-López, J. F., Marín-Arroyo, A. B., Rofes, J., García Bustos, P., Torres, A., & Salazar, S. (2023). Unravelling the skills and motivations of Magdalenian artists in the depths of Atxurra Cave (Northern Spain). Scientific Reports, 13(1), 17340. https://doi.org/10.1038/s41598-023-44520-w
Gombrich, E. H., & Bell, Q. (1976). Canons and values in the visual arts: A correspondence. Critical Inquiry, 2(3), 395–410. https://doi.org/10.1086/447849
Green, A. S. (2010). Reconstructing operational sequences: A new methodology for the study of seal carving in the Indus civilization. Man and Environment, 35(2), 15–34. https://doi.org/10.1016/j.jas.2016.06.008
Green, A. S. (2016). Finding Harappan seal carvers: An operational sequence approach to identifying people in the past. Journal of Archaeological Science, 72, 128–141. https://doi.org/10.1016/j.jas.2016.06.008
Greenfield, H. J. (2006). Slicing cut marks on animal bones: Diagnostics for identifying stone tool type and raw material. Journal of Field Archaeology, 31(2), 147–163. https://doi.org/10.1179/009346906791071972
Güth, A. (2012). Using 3D scanning in the investigation of Upper Palaeolithic engravings: First results of a pilot study. Journal of Archaeological Science, 39(10), 3105–3114. https://doi.org/10.1016/j.jas.2012.04.029
Hansen, E. F. (2000). Ancient Maya burnt-lime technology: Cultural implications of technological styles [Ph.D., University of California, Los Angeles]. Retrieved May 11, 2022, from https://www.proquest.com/dissertations-theses/ancient-maya-burnt-lime-technology-cultural/docview/304581793/se-2?accountid=14546
Harush, O., & Grosman, L. (2021). Toward the identification of social signatures in ceramic production – an archaeological case study. PLOS ONE, 16(7), e0254766. https://doi.org/10.1371/journal.pone.0254766
Harush, O., Glauber, N., Zoran, A., & Grosman, L. (2019). On quantifying and visualizing the potter’s personal style. Journal of Archaeological Science, 108, 104973. https://doi.org/10.1016/j.jas.2019.104973
Hegmon, M. (1998). Technology, style and social practices: Archaeological approaches. In M. Stark (Ed.), The Archaeology of Social Boundaries (pp. 264–279). Smithsonian Institution Press.
Hendriksen, M. M. A. (2017). “Art and technique always balance the scale”: German philosophies of sensory perception, taste, and art criticism, and the rise of the term Technik, ca. 1735–ca. 1835. History of Humanities, 2(1), 201–219. https://doi.org/10.1086/690579
Hendriksen, M. M. A. (2020). Building the ARTECHNE database: how to develop a multi-purpose database for an interdisciplinary project. IDEAH 1 (1). https://doi.org/10.21428/f1f23564.e6779c76
Hermens, E. (2012). Technical art history: The synergy of art, conservation and science. In M. Rampley, T. Lenain, H. Locher, A. Pinotti, Ch. Schoell-Glass, & K. Zijlmans (Eds.), Art History and Visual Studies in Europe (pp. 151–165). Brill.
Hodder, I. (1985). Postprocessual archaeology. Advances in archaeological method and theory, 8, 1–26. https://www.jstor.org/stable/20170185.
Hopkins, T. (2015). Virtual graffiti: Dyscribing humans [Ph.D., Carleton University]. https://doi.org/10.22215/etd/2015-10675
Huntley, K. V. (2012). Identifying children’s graffiti in roman Campania: A developmental psychological approach. In J. A. Baird & C. Taylor (Eds.), Ancient graffiti in context (pp. 69–89). Routledge.
Huntley, K. V. (2017). The writing on the wall: Age, agency, and material culture in Roman Campania. In C. Laes & V. Vuolanto (Eds.), Children and Everyday Life in the Roman and Late Antique World (pp. 137–154). Routledge.
Hurst, H. (2009). Murals and the ancient Maya artist: A study of art production in the Guatemalan lowlands [Ph.D., Yale University]. Retrieved May 11, 2022, from https://www.proquest.com/docview/60354683/24128C5770D148D6PQ/1
Ingold, T. (1997). Eight themes in the anthropology of technology. The International Journal of Social and Cultural Practice, 41(1), 106–138.
Jamme, C. (2013). The legacy of Idealism and the rise of academic aesthetics. In N. Boyle, L. Disley, C. Jamme, & I. Cooper (Eds.), The Impact of Idealism: The Legacy of Post-Kantian German Thought (pp. 11–22). Cambridge University Press. https://doi.org/10.1017/CBO9781139626699.002
Jansson, E. (2021). Toward a “theory” for technical art history. Materia: Journal of Technical Art History, 1(1), 66–72.
Jones, A. M. (2017). Rock art and ontology. Annual Review of Anthropology, 46(1), 167–181. https://doi.org/10.1146/annurev-anthro-102116-041354
Jones, A. M. & Cochrane, A. (2018). The archaeology of art: Materials, practices, affects. Taylor & Francis. Retrieved October 15, 2022, from https://www.routledge.com/The-Archaeology-of-Art-Materials-Practices-Affects/Jones-Cochrane/p/book/9781138913592
Jones, A. M., & Díaz-Guardamino, M. (2019). Making a mark: Image and process in Neolithic Britain and Ireland. Oxford: Oxbow.
Keegan, P. (2014). Graffiti in antiquity. Routledge.
Killick, D. (2004). Social constructionist approaches to the study of technology. World Archaeology, 36(4), 571–578. https://doi.org/10.1080/0043824042000303746
Knüsel, C. J., & Robb, J. (2016). Funerary taphonomy: An overview of goals and methods. Journal of Archaeological Science: Reports, 10, 655–673. https://doi.org/10.1016/j.jasrep.2016.05.031
Lankester, F. (2012). Predynastic & Pharaonic era rock-art in Egypt’s central eastern desert: Distribution, dating & interpretation. [Ph.D., Durham University]. Retrieved April 6, 2022, from https://api.semanticscholar.org/CorpusID:128154074
Layton, R. (1991). Figure, motif and symbol in the hunter-gatherer rock art of Europe and Australia. In P. Bahn & R. Rosenfeld (Eds.), Rock Art and Prehistory (pp. 28–38). Oxbow Books.
Lechtman, H. (1977). Style in technology some early thoughts. In H. Lechtman & R. Merrill (Eds.), Material culture: Styles, organization, and dynamics (pp. 3–20). St Paul.
Lechtman, H. (1984). Andean value systems and the development of prehistoric metallurgy. Technology and Culture, 25(1), 1–36. https://doi.org/10.2307/3104667
Lechtman, H., & Merrill, R. S. (Eds.). (1977). Material culture: Styles organization, and dynamics of technology. West Publishing.
Lemonnier, P. (Ed.). (1993). Technological choices: Transformation in material cultures since the Neolithic. Routledge.
Leroi-Gourhan, A. (1993). Gesture and speech. MIT Press.
Lewis, J. E. (2008). Identifying sword marks on bone: Criteria for distinguishing between cut marks made by different classes of bladed weapons. Journal of Archaeological Science, 35(7), 2001–2008. https://doi.org/10.1016/j.jas.2008.01.016
López, S. R., González, L. J. M., & Paleolíticos, L. D. E. (1999). Chronostylistic elements for the dating of the open-air rock art assemblage of Domingo García (Segovia, Spain). Trabalhos de Arqueologia, 17, 183–203.
Lucas, A. (1948). Ancient Egyptian materials & industries. Edward Arnold Publishers.
Mandt, G. (1995). Alternative analogies in rock art interpretation: The West Norwegian case. In K. Helskog & B. Olsen (Eds.), Perceiving rock-art: Social and political perspectives: ACRA, the Alta Conference on Rock Art (pp. 263–291). Novus Forlag.
Maté-González, M. Á., Estaca-Gómez, V., Aramendi, J., Sáez Blázquez, C., Rodríguez-Hernández, J., Terreros J, Yravedra Sainz De Los., Ruiz-Zapatero, G., & Álvarez-Sanchís, J. R. (2023). Geometric morphometrics and machine learning models applied to the study of late iron age cut marks from Central Spain. Applied Sciences, 13(6), 3967. https://doi.org/10.3390/app13063967
Meilach, D. Z. (1970). Contemporary stone sculpture: Aesthetics, methods, appreciation. Crown.
Miller A. (1948). Stone and marble carving: A manual for the student sculptor. Berkeley and Los Angeles: University of California Press.
Moclán, A., Huguet, R., Márquez, B., Domínguez-Rodrigo, M., Gómez-Miguelsanz, C., Vergès, J. M., Laplana, C., Arsuaga, J. L., Pérez-González, A., & Baquedano, E. (2018). Cut marks made with quartz tools: An experimental framework for understanding cut mark morphology, and its use at the Middle Palaeolithic site of the Navalmaíllo Rock Shelter (Pinilla del Valle, Madrid, Spain). Quaternary International, 493, 1–18. https://doi.org/10.1016/j.quaint.2018.09.033
Moore, C. R. (2010). A macroscopic investigation of technological style and the production of middle to late archaic fishhooks at the Chiggerville, Read, and Baker Sites. Western Kentucky. Southeastern Archaeology, 29(1), 197–221. https://doi.org/10.1179/sea.2010.29.1.013
Moretti, E., Arrighi, S., Boschin, F., Crezzini, J., Aureli, D., & Ronchitelli, A. (2015). Using 3D microscopy to analyse experimental cut marks on animal bones produced with different stone tools. Ethnobiology Letters, 6(2), 267–275. https://doi.org/10.14237/ebl.6.2.2015.349
Moro Abadía, O., & González Morales, M. R. (2020). Art in the making: Recent developments in the study of Pleistocene and Holocene images. Journal of Archaeological Method and Theory, 27(3), 439–453. https://doi.org/10.1007/s10816-020-09479-2
Morris, D. (1988). Engraved in place and time: A review of variability in the rock art of the Northern Cape and Karoo. South African Archaeological Bulletin, 43, 109–121.
Parry, R. (2008). Episteme and techne. In E. N. Zalta (Ed.), The Stanford Encyclopedia of Philosophy (Winter 2021). Metaphysics Research Lab, Stanford University. Retrieved December 11, 2022, from https://plato.stanford.edu/archives/win2021/entries/episteme-techne/
Patel S. P. (2017). Dynamics of ceramic technological style and boundaries of the Sorath Harappans. [Ph.D., New York University]. Retrieved November 5, 2022, from https://www.proquest.com/openview/ca1143c8585387a3381b39659ba41824/1?pq-origsite=gscholar&cbl=18750
Pineda, A., Courtenay, L. A., Téllez, E., & Yravedra, J. (2023). An experimental approach to the analysis of altered cut marks in archaeological contexts from Geometrics Morphometrics. Journal of Archaeological Science: Reports, 48, 103850. https://doi.org/10.1016/j.jasrep.2023.103850
Pollitt, J. J. (1974). Ancient view of Greek art: Criticism, history, and terminology. New Haven: Yale University Press.
Pye, D. (1968). The nature and art of workmanship. Cambridge University Press.
Ragazzoli, C., Harmansah, Ö., Salvador, C., & Frood, E. (Eds.). (2017). Scribbling through history: Graffiti, places and people from antiquity to modernity. Bloomsbury Academic.
Rivero, O., & Garate, D. (2020). Motion and gesture: Analysing artistic skills in Palaeolithic Art. Journal of Archaeological Method and Theory, 27(3), 561–584. https://doi.org/10.1007/s10816-020-09476-5
Rockwell, P. (1990). Stone-carving tools: A stone-carver’s view. Journal of Roman Archaeology, 3, 351–357. https://doi.org/10.1017/S1047759400011193
Rockwell, P. (1993). The art of stoneworking: A reference guide. Cambridge University Press.
Rothenberg, B. (2003). Egyptian chariots, Midianites from Hijaz/Midian (Northwest Arabia) and Amalekites from the Negev in the Timna Mines. Institute for Archaeo-Metallurgical Studies Newsletter, 23, 9–14.
Rothenberg, B. (1972). Timna: Valley of the biblical copper mines. Thames and Hudson.
Roux, V. (2020). Chaîne opératoire, technological networks and sociological interpretations. Cuadernos de Prehistoria y Arqueología de La Universidad de Granada, 30, 15–34. https://doi.org/10.30827/cpag.v30i0.15370
Ruiz López, J. F., Hoyer, C. T., Rebentisch, A., Roesch, A. M., Herkert, K., Huber, N., & Floss, H. (2019). Tool mark analyses for the identification of palaeolithic art and modern graffiti. The case of Grottes d’Agneux in Rully (Saône-et-Loire, France). Digital Applications in Archaeology and Cultural Heritage, 14, e00107. https://doi.org/10.1016/j.daach.2019.e00107
Santos da Rosa, N., Fiore, D., & Viñas, R. (2023). Testing recipes: An experimental approach to paint production processes in Levantine rock art (Spain). Archaeometry, 65(4), 816–832. https://doi.org/10.1111/arcm.12856
Santos da Rosa N., Cura, S., Garcês, S., & Cura, P. (2014). Between tools and engravings: Technology and experimental archeology to the study of Cachão do Algarve rock art. In S. Cura, J. Cerezer, M. Giurova, B. Santander, L. Oosterbeek, & J. Cristóvão (Eds.), Technology and Experimentation in Archaeology (pp. 87-96). Oxford: Archaeopress.
Sanz, I. D., & Fiore, D. (2014). Style: Its role in the archaeology of art. In C. Smith (Ed.), Encyclopedia of Global Archaeology (pp. 7104–7111). Springer. https://doi.org/10.1007/978-1-4419-0465-2_1276
Schapiro, M. (1953). Style. In A. L. Kroeber (Ed.), Anthropology today: An encyclopaedic inventory (pp. 287–312). The University of Chicago press.
Schlanger, N. (1994). Mindful technology: Unleashing the chaîne opératoire for an archaeology of mind. In C. Renfrew & E. Zubrow (Eds.), The ancient mind: Elements of cognitive archaeology (pp. 143–151). Cambridge University Press.
Schneider Adams, L. (2018). The methodologies of art: An introduction. Routledge. https://doi.org/10.4324/9780429494444
Schorsch, D. (2019). Technical examination and material analysis. In A. C. Gunter (Ed.), A companion to ancient near eastern art (pp. 153–177). John Wiley & Sons.
Schulman, A. R. (1976). The royal butler Ramessesemperrēʿ. Journal of the American Research Center in Egypt, 13, 117–130. http://www.jstor.com/stable/40001124.
Seidl, M., Wieser, E., & Alexander, C. (2015). Automated classification of petroglyphs. Digital Applications in Archaeology and Cultural Heritage, 2(2–3), 196–212. https://doi.org/10.1016/j.daach.2015.03.001
Semper, G. (2004). Style in the technical and tectonic arts, or practical aesthetics. Getty Publications.
Shaw, I. (2012). Ancient Egyptian technology and innovation. Bloomsbury Publishing.
Smith, W. S. (1949). A history of Egyptian sculpture and painting in the Old Kingdom. Oxford University Press & G.
Smith, C. S. (1970). Art, technology, and science: Notes on their historical interaction. Technology and Culture, 11(4), 493–549. https://doi.org/10.2307/3102690
Staten, H. (2019). Techne theory: A new language for art. Bloomsbury Academic. https://doi.org/10.5040/9781350101371
Stern, K. B. (2018). Writing on the wall: Graffiti and the Forgotten Jews of Antiquity. Princeton University Press.
Stocks, D. A. (2003). Experiments in Egyptian archaeology: Stoneworking technology in ancient Egypt. Routledge. https://doi.org/10.4324/9780203430231
Stocks, D. A. (2020). The materials, tools, and work of carving and painting. In The Oxford handbook of Egyptian epigraphy and palaeography (p. 115). Oxford University Press. https://doi.org/10.1093/oxfordhb/9780190604653.013.8
Streeton, N. L. W. (2022). Conservators at the interface with history of art: Technical art history, multi-disciplinarity and material culture. In A. Vila & A. Murray (Eds.) Conservation 360°, 2(Diagnosis. Before, During, After.) (pp. 58–83). https://doi.org/10.4995/360.2022.657201
Tapper, B. (2020). Exploring relationality: Perspectives on the research narratives of the rock art of the Algonquian-speaking peoples of central and eastern Canada. Journal of Archaeological Method and Theory, 27(3), 723–744. https://doi.org/10.1007/s10816-020-09467-6
Tebes, J. M. (2017). Iconographies of the sacred and power of the desert nomads: A reappraisal of the desert rock art of the late bronze/Iron age southern Levant and northwestern Arabia. Die Welt Des Orients, 47(1), 4–24. http://www.jstor.org/stable/26384886.
Thornton, C. P., & Lamberg-Karlovsky, C. C. (2004). A new look at the prehistoric metallurgy of southeastern Iran. Iran, 42(1), 47–59. https://doi.org/10.1080/05786967.2004.11834645
Tomášková, S. (2020). Prehistoric art as a boundary object: Technology and temporality of South African petroglyphs. Journal of Archaeological Method and Theory, 27(3), 526–544. https://doi.org/10.1007/s10816-020-09470-x
Tratebas, A. M. (1993). Stylistic chronology versus absolute dates for early hunting style rock art on the North American Plains. In P. Bahn & M. Lorblanchet (Eds.), Rock art studies: The post-stylistic era (pp. 163–178). Oxbow.
Tratebas, A. M. (1999). The earliest petroglyph tradition on the North American plains. In M. Strecker & P. Bahn (Eds.), Dating the earliest known rock art (pp. 15–28). Oxbow.
Troncoso, A., & Armstrong, F. (2023). Making rock art: Correspondences, rhythms, and temporalities. Journal of Archaeological Method and Theory, 30(2), 611–635. https://doi.org/10.1007/s10816-022-09571-9
Tschauner, H. (2006). Chimu craft specialization and political economy: A view from the provinces. In W. H. Isbell & H. Silverman (Eds.), Andean archaeology III: north and south (pp. 171–196). Springer US. https://doi.org/10.1007/0-387-28940-2_8
Valletta, F., Dag, I., & Grosman, L. (2021). Identifying local learning communities during the terminal Palaeolithic in the southern levant: Multi-scale 3-D analysis of flint cores. Journal of Computer Applications in Archaeology, 4(1), 145–168. https://doi.org/10.5334/jcaa.74
Vasari, G. (1960). Vasari on technique. Dover.
Ventura, R. (1974). An Egyptian rock stela in Timna. Tel Aviv, 1(2), 60–63. https://doi.org/10.1179/033443574788593421
Vergara, F., & Troncoso, A. (2015). Rock art, technique and technology: An exploratory study of hunter-gatherer and agrarian communities in Pre-Hispanic Chile (500 to 1450 ce). Rock Art Research: The Journal of the Australian Rock Art Research Association (AURA), 32(1), 31–45.
Van Voorhis, J. (2018). The sculptor’s workshop. Reichert Verlag.
Warnier, J.-P. (2007). The pot-king: The body and technologies of power. Brill.
Weil, P. D. (2007). Technical art history and archaeometry I, patina: Historical scientific and practical considerations. Revista Brasileira de Arqueometria, Restauração e Conservação, 1(2), 60–66.
Weinstein, J. (1974). A fifth dynasty reference to annealing. Journal of the American Research Centre in Egypt, 11, 23–25. https://doi.org/10.2307/40000770
Wendrich, W. (2012). Archaeology and apprenticeship: body knowledge, identity, and communities of practice. University of Arizona Press.
Wiessner, P. (1990). Is there a unity to style? In M. Conkey & C. Hastorf (Eds.), The uses of style in archaeology (pp. 105–112). Cambridge University Press.
Wimmer, S. J. (2010). A proto-Sinaitic inscription in Timna/Israel: New evidence on the emergence of the alphabet. Journal of Ancient Egyptian Interconnections, 2(2), 1–12. https://doi.org/10.2458/azu_jaei_v02i2_wimmer
Wright, R. P. (2002). Archaeology and culture: Sites of power and process. In R. G. Fox, & B. J. King (Eds.), Anthropology beyond culture (pp. 147–168). Routledge. https://doi.org/10.4324/9781003084631
Yekutieli, Y. (2016). The Chariots Engraving of Timnaʿ (Israel) revisited. Bulletin of the American Schools of Oriental Research, 375, 171–184. https://doi.org/10.5615/bullamerschoorie.375.0171
Yravedra, J., García-Vargas, E., Maté-González, M. Á., Aramendi, J., Palomeque-González, J. F., Vallés-Iriso, J., Matesanz-Vicente, J., González-Aguilera, D., & Domínguez-Rodrigo, M. (2017). The use of micro-photogrammetry and geometric morphometrics for identifying carnivore agency in bone assemblages. Journal of Archaeological Science: Reports, 14, 106–115. https://doi.org/10.1016/j.jasrep.2017.05.043
Zeppelzauer, M., Poier, G., Seidl, M., Reinbacher, C., Schulter, S., Breiteneder, C., & Bischof, H. (2016). Interactive 3D segmentation of rock-art by enhanced depth maps and gradient preserving regularization. Journal on Computing and Cultural Heritage, 9(4), 1–30. https://doi.org/10.1145/2950062
Zotkina, L. V., & Davydov, R. V. (2022). Tools used in Tagar rock art: Findings of an experimental traceological study. Archaeology, Ethnology & Anthropology of Eurasia, 50(3), 60–71. https://doi.org/10.17746/1563-0110.2022.50.3.060-071
Zotkina, L. V., & Kovalev, V. S. (2019). Lithic or metal tools: Techno-traceological and 3D analysis of rock art. Digital Applications in Archaeology and Cultural Heritage, 13, e00099. https://doi.org/10.1016/j.daach.2019.e00099
Zotkina, L. V., Cretin, C., Plisson, H., Geneste, J.-M., & Molodin, V. I. (2020). Technological parameters of rock art at the Kalgutinsky Rudnik site on the Ukok Plateau, Russian Altai region. Quaternary International, 559, 188–197. https://doi.org/10.1016/j.quaint.2020.05.051
Zotkina, L. V., Malikov, D. G., Shnaider, S. V., Sayfulloev, N. N., & Kolobova, K. A. (2022). Boar or bear? Rock art of the Shakhty rock-shelter (Eastern Pamir). Archaeological Research in Asia, 32, 100415. https://doi.org/10.1016/j.ara.2022.100415
Acknowledgements
We are extremely grateful to Ann Belfer-Cohen for her helpful advice and reading of the final versions of this paper. Thanks also go to the Timna Park staff for their help and cooperation and Asaf Holzer for his support during our work at Timna Park. We would like to thank Marcelo David for his contribution to the ArchCUT3-D software development and the team of the Computational Archaeology Laboratory of the Institute of Archaeology at the Hebrew University of Jerusalem in particular Ortal Harush, Francesco Valletta, Asaf Ben-Haim, Talia Yashuv, Keren Nebenhaus, Hadas Goldgeier, Neta Friedman, and Liron Narunsky for their help. We wish to thank the Robert W. Wilson Charitable Trust for its financial support.
Funding
Open access funding provided by Hebrew University of Jerusalem. This work was supported by the Robert W. Wilson Charitable Trust.
Author information
Authors and Affiliations
Contributions
DL and GL designed and conceptualized the work. GL developed the software used in the work. DL made the analysis of the 3D data. DL and GL interpret the data. DL and GL wrote and revised the article.
Corresponding author
Ethics declarations
Ethical Approval and Informed Consent
This study did not require ethical approval. The research was conducted only by the authors, and it involved no other participants. Informed consent: this study involved no participants.
Competing Interests
The authors declare that they have no known competing financial interests or personal relationships that could have influenced the work reported in this paper.
Additional information
Publisher's Note
Springer Nature remains neutral with regard to jurisdictional claims in published maps and institutional affiliations.
Rights and permissions
Open Access This article is licensed under a Creative Commons Attribution 4.0 International License, which permits use, sharing, adaptation, distribution and reproduction in any medium or format, as long as you give appropriate credit to the original author(s) and the source, provide a link to the Creative Commons licence, and indicate if changes were made. The images or other third party material in this article are included in the article's Creative Commons licence, unless indicated otherwise in a credit line to the material. If material is not included in the article's Creative Commons licence and your intended use is not permitted by statutory regulation or exceeds the permitted use, you will need to obtain permission directly from the copyright holder. To view a copy of this licence, visit http://creativecommons.org/licenses/by/4.0/.
About this article
Cite this article
Dubinsky, L., Grosman, L. Techné of Rock Engravings—the Timna Case Study. J Archaeol Method Theory 31, 1917–1953 (2024). https://doi.org/10.1007/s10816-024-09658-5
Accepted:
Published:
Issue date:
DOI: https://doi.org/10.1007/s10816-024-09658-5




















