Abstract
During the 4th millennium BC, an intensive artefact circulation system existed among the hunter-gatherer peoples of north-eastern Europe. Along with other goods, ring-shaped ornaments that were mainly made of different kinds of slates or tuffites were commonly distributed. Although commonly referred to as ‘slate rings’, these ornaments consist mainly of fragments of rings. In this paper, we suggest that the ‘slate rings’ were never meant to be intact, complete rings, but were instead fragmented on purpose and used as tokens of social relationships relating to the gift-giving system. By refitting artefact fragments together, analysing their geochemical composition, micro details, and use-wear, we were able to prove that these items were not only intentionally fragmented but also likely worn as personal ornaments. Moreover, ED-XRF analysis of 56 of the artefacts showed a correlation between their geochemical characteristics and stylistic detailing, suggesting different production phases or batches. Comparative data analysis confirmed the provenance hypothesis that the majority of the analysed objects, or at least their raw materials, were exported over hundreds of kilometres from the Lake Onega region.
Introduction
The emergence of pottery among the hunter-gatherer populations of north-eastern Europe during the 6th and 5th millennia cal BC coincides with the appearance of the so-called slate ring ornaments, e.g. ring-shaped artefacts, or fragments of such artefacts, that are predominantly made of slate or tuff (Fig. 1; Kopisto, 1959; Zhulnikov, 2010). Although these types of ornaments were used for a considerable time, they seem to have been most common among the hunter-gatherer groups associated with the so-called Typical Comb Ware (henceforth TCW; ca. 3900–3500 cal BC). This archaeological complex has many local variations (e.g. Nordqvist & Kriiska, 2015; Nordqvist & Mökkönen, 2017), and its wide distribution area covers large areas of modern-day north-western Russia, Finland, and the Baltic States. Known especially for their rich ‘amber burials’ (Zagorska, 2001; Zagorskis, 2004, p. 75; Nilsson Stutz et al., 2013; Ahola, 2019) and semisubterranean houses (Mökkönen, 2011; Khrustaleva et al., 2020), these people might also have practised small-scale cultivation (Kriiska, 2009, pp. 165–168; Alenius et al., 2013). Nonetheless, their subsistence relied strongly on hunting, fishing, and gathering.
The ringed ornaments were manufactured either by drilling with some kind of a pair of compasses, or by knapping (Fig. 2; Kopisto, 1959, p. 9; Huurre, 1998, p. 212). The ornaments also show temporal and stylistic variation (Kopisto, 1959; Zhulnikov, 2010): while the earliest ringed ornaments have a square-shaped cross-section and decorated edges (Fig. 3), ornaments discovered from TCW contexts are thinner, have an oval cross-section, and lack any further decoration (e.g. Fig. 1g, h, k and o). In addition to this variation in thickness and cross-section, the diameter of the ringed ornaments also varies, with the smallest rings having a diameter of ca. 3 cm and the largest ca. 15 cm (Kopisto, 1959, p.15). Since some of the ringed ornaments — especially the fragmented artefacts — contain a fastening hole or groove (Fig. 1), the items seem to represent personal ornamentation and were possibly intended to be worn on a string or sewn onto clothes (Kopisto, 1959, p. 15; Zhulnikov, 2010, p. 114). The largest ornaments could also have been used as bracelets (Fig. 1a–b; Kopisto, 1959, p. 15; Huurre, 1998, p. 213). Indeed, when unearthed from burial contexts, the items are usually located together with amber pendants and are physically closely associated with the buried body (Ahola, 2017, p. 209). For example, several ringed ornaments have been discovered together with amber pendants from a TCW burial in the Kukkarkoski I cemetery in western Finland (Torvinen, 1979, pp. 46–48). Although no preserved human bones were discovered from this burial, as is the case in most Stone Age burials from the Finnish region (Ahola et al., 2016), the ornaments were located in thick ochre deposits — probably related to the position of the buried body — and could represent parts of a composite item (Fig. 4).
Even though they are commonly referred to as ‘slate rings’ (Halinen, 2015; Huurre, 1998; Kopisto, 1959; Zhulnikov, 2010), in reality, many of the ringed ornaments are not intact rings, but fragments. In prior studies (Huurre, 1998, p. 213; Zhulnikov, 2010), this phenomenon has been considered to be accidental, and e.g. Zhulnikov (2010, p. 115) suggests that the fragmented rings might have been repaired by drilling holes into the fragments and tying them together. And indeed, in some fragmented ringed ornaments discovered from the same context, the fastening holes are in fragments that fit together (Torvinen, 1979, Fig. 15e). Although this seems to support Zhulnikov’s (2010) interpretation, such fastening holes — or several holes side-by-side — are also occasionally present in intact rings (Fig. 5), suggesting that the hole might also relate to the way the artefact was used. In fact, as the fastening hole or groove of the ornament fragments is commonly present only at one end (Fig. 1), at least these items were likely used as pendants. Even though the modern mind sees such items as fragments, in the deep past this shape might also have been something that was actually sought after. As Kopisto (1959, p. 15) has noted, the shape of the ringed ornament fragments are reminiscent of an animal tooth pendant, artefacts that were commonly used as personal ornaments through prehistory in north-eastern Europe (e.g. Jonuks & Rannamäe, 2018; Macāne et al., 2019; Mannermaa et al., 2021). In other words, even if we refer to these items as ‘ringed ornaments’, the form of a full circle might not have always been the preferred shape of the ornament, while the drilled holes might not always represent attempts to repair the ornaments into their original form.
Two large intact rings (diameter of ca. 9 cm) discovered in an early 4th millennium BC hunter-gatherer burial, together with the five flint projectile points. Note the two fastening holes side-by-side. Although the item is intact, the fastening holes seem to be separated by a hair fragment visible in between these holes. Photo: M. Miettinen 1988/Finnish Heritage Agency
As archaeology deals with a fragmented picture of the past, we also have the tendency to see fragmentation of prehistoric artefacts as accidental. However, as Chapman (2000, p. 6) suggests, such fragmentation can also be very much intentional:
Two people who wish to establish as some form of social relationship or some kind of transaction agree on a specific artefact appropriate to the interaction in question and break it in two or more parts, each keeping one or more parts as a token of the relationship. There may well be limits of size on how often a single object can be successfully fragmented to maintain the impetus of the enchained relationship. Thus, the part of the object may itself be further broken and parts passed down the chain, to a third party. The fragments of the object are then kept until reconstruction of the relationship is required, in which case the part(s) may be deposited in a structured manner.
Seen from this perspective, such fragments — the materialisation of enchained relationships — might have even been considered more valuable than intact objects of the same sort (cf. Sainsbury et al., 2021). In other words, the fragmentation and reuse of the fragmented objects might have been intentional and important social practice, embodying immaterial cultural characteristics into the materiality of the artefacts.
From this perspective, it is interesting that a fragmented ringed ornament has been unearthed from a multiple burial of three individuals dating to the TCW period (Halinen, 1997; Fig. 6). However, instead of being located in the grave side-by-side — as the burial gift of a single individual — the fragments were positioned so that the director of the excavations assigned them to two differing burials, one for the so-called Individual A and one for Individual B (Halinen, 1997, p. 6). Although the fragments could have moved within the grave due to the decomposition of the bodies, in the light of Chapman’s (2000) theory, the phenomenon is intriguing. Was the ringed ornament fragmented intentionally to underline the relationship of the buried individuals? Furthermore, even with the two fragments that were fitted together, the artefact was still missing some parts. If the holes of the fragments (Fig. 6) were used to fix the broken artefact, why were not all the fragments present in the grave? Or was the missing part given to, or retained by, a third party — perhaps someone still living?
This being said, in another hunter-gatherer burial dated to the same period, a very similar ringed ornament was positioned alongside the burial of a single individual (Torvinen, 1979, pp. 46–48, Fig 15). Indeed, even though this ringed ornament was also fragmented in several pieces — and all these fragments were accompanied by fastening holes — none of the fragments were missing. Was this a case where a broken ornament was fixed, or does it represent a structured deposit, where the fragments of a single object were brought together again to reconstruct the relationship the object symbolised? To complicate the picture even further, in another burial from this same site, two fragments from two different ringed ornaments were placed with one individual (Torvinen, 1979, pp. 40–46). Since this burial was the deepest grave at the cemetery and was accompanied by more artefacts than any other burial at the site, it is likely that the buried individual was somehow special (Ahola, 2015, pp. 33–34). In this sense, it is likely that the items placed in the grave were also laden with meaning — whether broken or not.
Although the meaning of the ringed ornaments within the hunter-gatherer funerary rituals is blurred, it is evident that these items held special value for the community performing the ritual. Indeed, personal ornaments not only relate to decoration but are also commonly used e.g. to express one’s identity and status and to provide protection from supernatural powers (Baysal, 2019, p. 3), or — as Chapman (2000) suggests — as facilitators of communication. Accordingly, by circulating these items, the communities not only circulated goods or prestige items but also created powerful links between people and places (e.g. Baysal, 2019; Bradley, 2000; Fowler, 2004; Martínez-Sevilla, 2019; Morton et al., 2019; Nyland, 2021). Indeed, according to anthropologist Marcel Mauss (1872–1950), there is no such thing as a free gift (Mauss, 2002 [1950]). By this idea, Mauss means that the identity of the gift giver is bound to the gift, and accordingly, the act of gift-giving always creates a debt that needs to be recognised and repaid. In other words, the gift exchange creates a social bond that continues until a future moment of giving and taking.
At the same time, a bond might also be created to the location where the item was originally manufactured or the raw material acquired. For example, Cristiani and Borić (2017) have suggested that the value of C. neritea marine gastropod shell ornaments among the Late Mesolithic communities of the Danube Gorges was in their long, over 400 km voyage from Mediterranean Europe to the Balkans. Although these items were common in Mediterranean Europe, to the people of the Danube Gorges, they represented ‘distal coastal regions that might have remained outside the direct experience and perception of most of the community members throughout their lifetimes’ (Cristiani & Borić, 2017, p. 63). Perhaps these distant locations were even considered to be somehow mythical. Indeed, in northern Norway, many Mesolithic axe heads made in coastal areas have been discovered as votive deposits in inland areas (Bradley, 2000, p. 82). Remarkably, the stone quarries where the raw material for these axes was derived were located not only next to several rock art sites (Bruen Olsen & Alasker, 1984) but also in locations that were not easy to access (Lødøen, 1998). According to Bradley (2000, pp. 82–83), these attributes might well have affected the importance of the axes, and accordingly might have been one reason why these artefacts were given a special treatment as votive deposits. In other words, similarly to the marine gastropod shell ornaments of the Danube Gorges, the voyage and the origins of the artefact or the raw material contributed to the way people understood and valued these items.
Considering the above, it is interesting that the ringed ornaments have long been connected with the extensive artefact circulation system that existed between the Neolithic hunter-gatherer communities of the European boreal zone during the 4th millennium BC (e.g. Edgren, 1984; Herva et al., 2014; Kriiska, 2015; Tarasov & Gogolev, 2018; Tarasov & Nordqvist, 2021; Zhulnikov, 2010). This is because some of the ornaments discovered in the modern-day territories of Finland and Estonia are likely made of a foreign raw material, greenish slate or metatuff, that originated on the western shores of Lake Onega in north-western Russia (Kopisto, 1959; Kriiska, 2015). Indeed, along with artefacts made of Baltic amber and Russian flint — that also travelled within this circulation system — ringed ornaments made of Onega metatuff have been considered to be prestige items that could have been used as an indicator of social status (Edgren, 1984; Herva et al., 2014; Kriiska, 2015). Even though the 4th millennium BC artefact circulation systems were likely not ruled by the ‘law of supply and demand’ (e.g. Renfrew, 1984), some individuals could have reached powerful positions through their control over the circulation of specific objects (e.g. Bradley & Edmonds, 1993; Delgado-Raack et al., 2020; Pétrequin et al., 2019). In this sense, these distribution networks can be understood as a social strategy that was used to establish and maintain important relationships by obtaining and circulating specific objects.
Indeed, even though the discussion concerning the 4th millennium BC exchange networks in Europe is more commonly associated with the agricultural societies (e.g. Bradley & Edmonds, 1993; Delgado-Raack et al., 2020; Ibáñez et al., 2016; Pétrequin et al., 2019), the giving and taking networks of the hunter-gatherer groups of north-eastern Europe seem to show evidence of a similar pattern in which local interaction was complemented by long-distance transactions by some of the participants (Herva et al., 2014; Kriiska, 2015; Tarasov & Nordqvist, 2021). For example, a recent study dealing with axes and adzes made of Lake Onega metatuff (Tarasov & Nordqvist, 2021) has suggested that these widely distributed items testify to the use of sophisticated technology and the specialised, large-scale production of objects intended for exchange. In this sense, this lithic industry did not only aim to manufacture everyday functional tools, but also served as a medium for communication and the construction of social and ritual relationships (Tarasov & Nordqvist, 2021, pp. 11–14).
In this paper we will investigate this entangled relationship of artefact circulation, gift-giving, landscape, social bonds, fragmentation, and enchainment from the perspective of the ringed ornaments that have been discovered in the Finnish region. Accordingly, by presenting up-to-date archaeological, geochemical, and microscopic use-wear analyses of the artefacts and their fragments that are kept in the collections of the Finnish Heritage Agency (henceforth FHA), we aim to explore (1) the visual, morphological, and compositional characteristics of this material group and (2) evidence of their intentional fragmentation and enchainment. Furthermore, we seek to confirm the hypothesis that these artefacts were made of slate or metatuff originating from the Lake Onega region — meaning that these objects or their raw materials were transported for hundreds of kilometres via long-distance exchange networks.
Materials and Methods
The research material of the study consists of ringed ornaments or ring ornament fragments that are currently (2021) kept in the collections of FHA. The data was collected by the authors from the FHA find catalogue (NM), unpublished excavation reports, and publications and divided into two categories: (1) fragmented ornaments and (2) intact ornaments (also including discs, i.e. artefacts that represent the centre part of a ringed ornament that have likely emerged during the manufacture process). For the purposes of this paper, the data was compiled in Online Resource 1Footnote 1.
The research material compiled to Online Resource 1, consisting a total of 197 artefacts or artefact fragments, was investigated on the premises of the FHA in Helsinki. During this research, all items were measured for length, width, thickness, and inner diameter. Furthermore, detailed information on the colour, possible raw material, fastening type, and patterns of polish in the fracture of ends of the fragments were collected based on visual observations. In addition, all items were photographed from two sides.
To investigate whether fragments within one or several find contexts could have derived from a single artefact, the artefact fragments that, in general, shared the above-mentioned attributes (e.g. shape, size, cross-section and colour) were refitted. The refitting analysis was conducted manually by taking into account that fragments of single objects might not always share a point of breakage. Consequently, the items were not only refitted together but compared in regards to their inner diameter, cross-section, and thickness. Still, the process of refitting was often tentative at best; once separated, fragments might also have been worn or altered in ways that might have impacted the way the fragments could be fitted back together. For example, the fragments might have been cut or polished further — processes that could easily have altered the original shape and size of the fragment. Similarly, the colour of the stone might vary in different parts of one artefact (Fig. 1c), making estimations based on colour also ambiguous.
In consequence, the refitting analysis was supported by geochemical fingerprinting via energy dispersive X-ray fluorescence (ED-XRF) analysis that was also used to examine compositional variation between the objects. For the ED-XRF data acquisition, we employed a Rigaku NEX-DE VS bench-top ED-XRF spectrometer based in the Laboratory of Archaeology at the University of Helsinki. The data was acquired in a helium atmosphere, using a tube voltage of 60 kV, 35 kV, and 6.5 kV and a measuring time of 60, 60, and 100 s for high-Z, mid-Z, and low-Z elements, respectively (see Holmqvist et al., 2020 for the analytical protocol). The instrument was operated in point-analysis mode with the beam diameter adjusted to 3 mm to analyse major, minor, and trace elemental concentrations of clean and even artefacts surfaces. As a general principle, homogenised and flat samples are required for quantitative XRF data acquisition (Jenkins, 1999, pp. 141–145; Jenkins et al., 1995, pp. 283–287; Markowicz, 2011, pp. 221–324); however, invasive sampling was not an option for these archaeological artefacts. The artefacts are fine-grained and display even, polished surfaces, and therefore we chose a non-invasive analytical strategy of repeated measurements to ensure a result representative of the sample bulk composition and to control the particle size and matrix heterogeneity effects, and concentrated on heavy element concentrations, demonstrated in previous studies to be less sensitive to surface effects of non-homogenised samples in XRF (Potts et al., 1997a, b; Williams-Thorpe et al., 1999, p. 235), and thus likely to provide the most reliable data structures for the geochemical grouping of the artefacts. The results were quantified using the spectrometer’s software and fundamental parameters.
Accordingly, in the statistical analysis, mean concentrations measured for Fe2O3, Rb2O, SrO, ZrO2, ZnO, and BaO were applied, and the reported results are normalised mean values of 3–5 measured points. The IBM SPSS 25 software was used for the statistical data processing of the ED-XRF data. In order to geochemically group the artefacts and to examine artefact-to-artefact compositional relationships, hierarchical cluster analysis (CA) using Ward’s Squared Euclidian method was employed. Principal component analysis (PCA) and bi-variate plots of the most significant elemental concentrations were also carried out to explore the inter-group relationships and data outlier characteristics.
The data quality was controlled by analysing a standard reference sample, NIST 76a, with precision values showing relative variation coefficients being below 1.5% for all the oxides with concentration values above 0.3 wt%. For accuracy, the average results compared to the certified value show relative errors lower than 10% for all reported oxides with contents above 0.5 wt%.
To create a reference material for the fragments that might derive from the same artefacts, we chose a sample of 51 ringed ornaments and ornament fragments (including the possible pairs) that were likely made of raw material originating from the Lake Onega region, along with three Onega metatuff adzes and one pendant and one ornament fragment made of dark-coloured slate (Table 1; Online Resources 3–10). To verify the tentative identification of the raw material, the geochemical composition of the objects was further compared to the results of a recent geochemical analysis of Lake Onega region metatuff presented in Tarasov & Gogolev, 2018. To detect possible use-wear and manufacture marks, the surfaces of the artefacts subjected to the ED-XRF analysis were examined under a Leica M80 stereomicroscope at the premises of the Archaeology Laboratory at the Helsinki University.
Results and Discussion
Fourth Millennium BC Ringed Ornaments from the Finnish Region
To date, 246 ringed ornaments or ornament fragments are known from the Finnish region (Online Resources 1 and 2). Of these, 35 represent intact ornaments and 211 fragmented ornaments. As was the case during the 1950s (Kopisto, 1959), most of the artefacts derive from settlement site contexts, and only 19 fragments or intact ornaments have been collected from burials. Some artefacts have also been collected as stray finds. Although the geographical distribution (Fig. 7) of the material covers most of Finland, some sites have yielded more ringed ornaments or fragments than others. Although this phenomenon was noted already by Kopisto (1959, p. 16), our study further supported this pattern by introducing new sites (such as Törmävaara in northern Finland and Nästinristi in western Finland; Fig. 7) from which ten or more ringed ornaments or ornament fragments have been discovered. According to the archaeological evidence (Vikkula, 1987; Engblom, 1992; Pesonen, 2002; Hakonen, 2021), these sites are large, central sites (or clusters of several sites) that also have contemporary burial sites located nearby (nine inhumation burials have been excavated from the Nästinristi site, while the Törmavaara site is located close to the contemporary Laajamaa 1 burial site). Accordingly, the sites have likely been special locations to which the hunter-gatherer communities returned time after time.
For the main part, the material consists of finely polished artefacts or artefact fragments. However, some preforms and more roughly polished items are also present in the assemblage. According to the data collected in Online Resource 1, the shape and size of the artefacts vary from tiny ornaments with an inner diameter of only 5 mm to large ornaments with a diameter of 90 mm. Decoration is rare and is present predominantly in ringed ornaments dated to the late 5th millennium BC (Fig. 2). Instead, most of the artefacts are finely polished. Furthermore, ring fragments were often rounded on either one or both of the fragmented ends, and occasionally a fastening hole, groove, or notches was added. As reported by the data collected in Online Resource 1, a hole (or several holes) seems to be the preferred fastening type (33 items), while grooves (17 items) and notches (4 items) were added less frequently. However, most of the fragments lack any type of fastening. This, on the other hand, suggests that the ornaments and ornament fragments might also have been tied to strings or carried in pouches. In the latter case, the ornaments would not, however, be meant to be visible. If this was the case, the meanings attached to the items would have been more important than the aesthetic qualities of the object.
Tentatively, ca. 50 ornaments of the material collected to Online Resource 1 have been identified as being made of Onega metatuff, while the majority of the artefacts are made from other raw materials, such as other tuffites, slate, mica schist, or diabase. Similarly, the colour of the artefacts varies from light brown to grey, and to different shades of green or even to a lilac colour (Fig. 1). Occasionally, the ornaments also portray the natural striped surface of the raw stone, which might have been intentionally used as a decorative element (e.g. Fig. 1c, g, and j). Curiously, none of the ornaments discovered from the Nästinristi site are made of Onega metatuff. Since the site dates slightly younger than TCW, roughly to the mid-4th millennium BC (Vikkula, 1987), the choice of material could be a temporal issue. Nonetheless, the visual and morphological traits of Nästinristi ornaments and ornament fragments suggest a continuation in the tradition of ringed ornaments.
Compositional Clusters Indicated by the ED-XRF Data
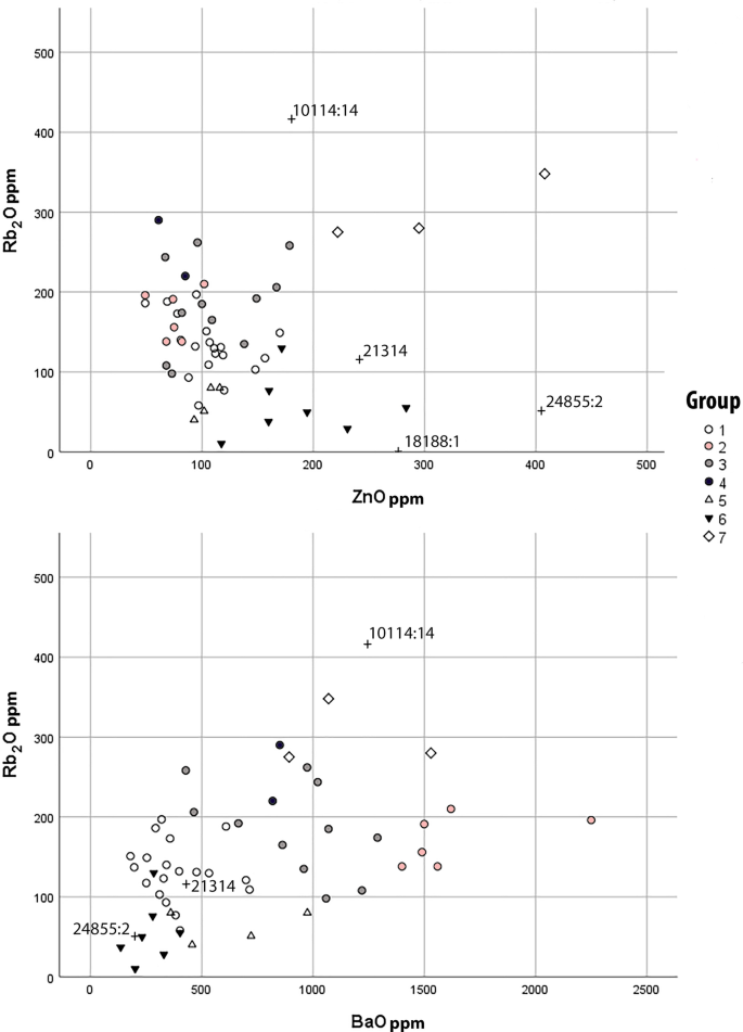
The cluster analysis dendrogram of the ED-XRF data of the 56 analysed artefacts indicated seven geochemical clusters in two primary branches, Clusters 1–5 in the first and Clusters 6–7 in the second branch (Table 2; Fig. 8). Accordingly, the artefacts belonging to Clusters 1–5 appear compositionally related. In particular, the artefacts in Clusters 1a–b, 2, and 3a–b show related ranges of concentration values; for instance, for Al2O3 (> 11 wt%), SiO2 (c. 61–71 wt %), Fe2O3 (3.6–8.2 wt%), K2O, CaO, V2O3, Cr2O3, NiO, SrO, and ZrO2 (Table 2; Fig. 9). The clusters and their subgroups correlate with stylistic differences among the artefacts, especially notable within the fragmented ornaments. Indeed, the ornament fragments of Cluster 1a represent small, flat, and well-polished items with funnel-like fastening-holes, while the fragments in Cluster 1b are slightly thicker and the fastening holes are more narrow (Fig. 8; Online Resources 3–4). Although Cluster 3a consists of only three items, when these are compared to the other clusters, they are clearly more robust and lighter in colour (Fig 8; Online Resource 6). Cluster 3b, on the other hand, consists of several flat, dim-coloured pendants that are larger and thicker compared to, for example, the items in Cluster 1a (Fig 8; Online Resource 7).
Cluster 2 is differentiated from 1 and 3 by high BaO concentrations (1400–2250 ppm). Curiously, this cluster differs from clusters 1 and 3 by the preferred fastening type; instead of fastening holes, most of the fragments in Cluster 2 contain grooves (Fig. 8; Online Resource 5). The overall shape of these items is also rounder than e.g., in Clusters 1a and 1b. The two artefacts forming Cluster 4 (NM 1691 and NM 14957:9) largely share the above-mentioned geochemical characteristics, and are also visually similar to the artefacts in Clusters 1–3 (Fig 8; Online Resource 8: a–b).
The artefacts in the final cluster (5) in the first branch — three adzes and one thick and visually anomalous ring (Fig 8; Online Resource 8:c–f) — show lower range of SiO2 and Al2O3 values (at c. 48.3–62.8 wt%, 8.6–11.3 wt%, respectively), and high CaO (> 4.2 wt%) and increased SrO (c. 120–210 ppm) values, compared to the other samples in this branch. The very high CaO of NM 5249:5 (24.1 wt%) questions the membership of this also visually anomalous object in Cluster 5, and may indicate that is was made from other than metatuff material. Although the droplet-shaped pendant NM 21314 (Online Resource 10: d) differs morphologically from other analysed materials, it nonetheless associates with the first branch, sharing similar general geochemical patterns (Figs. 8, 9 and 10).
In the second branch, the Cluster 6 samples are discriminated from the artefacts in the first branch by low SiO2 (< 56.7 wt%), BaO (< 400ppm), and Rb2O (< 130 ppm) values, high Fe2O3 (c. 13–17 wt%) and slightly increased TiO2 (> 1.6 wt%) and ZnO values (Figs. 8, 9, and 10, Table 2). Stylistically, Cluster 6 nonetheless shares similarities with the first branch, and especially with Cluster 1a: similar to Cluster 1a, the items in Cluster 6 are also mainly small and flat items with funnel-like fastening-holes (Fig 8; Online Resource 9). However, the artefacts are not as well polished as the artefacts in Cluster 1a, and the colour of the items in Cluster 6 is also slightly darker.
Finally, the artefacts in Cluster 7 display relatively low SiO2 concentrations (< 61 wt%), and high Rb2O and BaO values. Although visually similar to other intact rings, artefact NM 10114:14 (Online Resource 10: g) is also an outlier in the dataset (Figs. 8, 9, and 10). The disc-shaped artefact NM 24855:2 (Online Resource 10: e), on the hand, clusters next to Cluster 6, but is differentiated, for instance, by higher ZnO values (Fig. X3). Similarly, NM 18188:1, a button-like artefact with an almost a glass-like surface (Online Resource 10: f), clusters in the second branch but is an outlier in the data set (Figs. 9 and 10). Curiously, this item was recovered from a grave dating to the TCW period, together with NM 18188:2 (Online Resource 3: l), which belongs to Cluster 1a. Indeed, even though the geochemical clusters correlate with the stylistic attributes of the artefacts, the clusters do not associate with any particular find location. For example, grave finds from Laajamaa 1 burial site include items from Clusters 2 and 6. Similarly, artefacts from the Törmävaara settlement site belong to Clusters 1a and 6. Indeed, instead of reflecting geographical distribution, the artefacts within the clusters seem to be scattered all around the research area, i.e. Finland, and only the Cluster 5 artefacts may show a geographic pattern relating to the southern coastal area (Fig. 11)
To confirm the provenance hypothesis suggesting that the analysed artefacts originated from the Lake Onega region, we compared our results to ICP-MS results of Lake Onega metatuff raw materials published by Tarasov and Gogolev (2018). Although there are inter-method differences between the ED-XRF and ICP-MS datasets, and only a limited number of elements have been measured by both methods, it is apparent from the principal component analysis plot (Fig. 12), which contains both our ED-XRF results and the ICP-MS data of Tarasov and Gogolev for selected elements (BaO, Rb2O, ZrO2, and ZnO; moreover, see Grave et al., 2012, p. 1684 for concentrating on “ the most reliably measured and potentially most geochemically provenance sensitive elements” for the best elemental resolution), that the majority of the artefacts analysed in this study are compositionally related to the geochemical signatures of the Lake Onega metatuffs. However, the clear outliers in our dataset, the artefacts in Cluster 7 (NM 5873:3, NM 9578:7, and NM 9063), and NM 18188:1, NM 24855:2, and NM 10114:14 appear unrelated at least to the Lake Onega materials published by Tarasov and Gogolev, and may have derived from another source area. For the artefacts grouped in Clusters 1–6, however, the Lake Onega provenance appears very likely. It is possible that the minor compositional differences in our data, as shown in the compositionally related Clusters 1–6, and also correlating with different artefact styles and details per cluster, reflect different production phases or batches, and variance in the exact material extraction places in the Lake Onega region. As artefacts in Clusters 1a, 2, 4, and 6 also contained burial finds from graves dated to the TCW period (Table 2; for datings see Ahola, 2019; Online Resource 1), it is reasonable to assume that these artefacts date to the earlier part of the 4th millennium BC.
PCA plot of BaO, Rb2O, ZrO2, and ZnO concentrations, including ED-XRF measured data for the examined artefacts (marked by CA clusters) and ICP-MS concentrations for Lake Onega metatuff raw material samples (data retrieved from Tarasov & Gogolev, 2018) (first three components represent 92.1% of the total variation). Graph: E. Holmqvist 2021
Discovering and Confirming Possible Pairs
Of the 177 fragments subjected to the refitting analysis (Online Resource 1), we discovered one artefact that was clearly fragmented into three parts that fit together from their points of breakage (NM 22481:1115; NM 23399:672; KM 23399:688). However, all of these fragments were discovered from one settlement site that was excavated during the course of several years. Accordingly, it is not evident whether these fragments were, in fact, used by different people. In addition to this fragmented artefact we also discovered six fragments from five different sites that might represent three fragmented artefacts (Table 3). Although these fragments were not as evident fits as the above-mentioned fragments, they nonetheless fit together e.g., according to their shape, size, and colour. The fragments did not, however, share a breaking point. Moreover, as the fragments did not form a full ring, parts of the possible original artefacts are still missing. Notably, all of the artefacts were also likely made of raw material deriving from the Lake Onega region.
Of the possible ‘fragment pairs’, the geochemical composition of NM 28885:2 and NM 15194:51 (Fig. 13a) were very similar (with practically identical results e.g. for trace elements SrO, Y2O3, ZrO2, Nb2O5), and these fragments seem to be made of raw material coming from the same source. Interestingly, the fragments are discovered at the sites of Nikkarinmäki and Hietaniemenkangas that are located roughly 150 km apart (Fig. 7). Accordingly, if the fragments are from the same artefact, they could also have been used by different individuals. However, NM 15194:51 is clearly more finely worked than NM 28885: 2; it is polished more carefully and it has a perforated hole (Fig. 13a). In this sense, the fragments could also represent the products of a certain production centre that preferred the form of small rings. This being said, it must be noted that the parted fragments can also have differing biographies (Chapman & Gaydarska, 2007, 157–160). For example, the (presumably) different people might have used the ornament fragments in differing ways that results in divergent patterns of wear. At the case of the Nikkarinmäki and Hietaniemenkangas fragments, the fragmentation of the original artefact could have, for example, taken place when the artefact represented NM 28885: 2 while NM 15194:51 was reshaped further after the parting. In this sense, the differences between NM 15194: 51 and NM 28885: 2 could also represent the skills or personal preferences of two individuals — something that has also been noted in the case of Mesolithic animal tooth pendants (Mannermaa et al., 2021).
Although a clear geochemical connection was discovered between NM 28885:2 and NM 15194:51, the geochemical analysis proved that neither artefacts NM 9494:27 and NM 24472:1588 nor NM 11596:5 and 21599:552 derived from the same raw material source. Accordingly, these fragments did not derive from the same artefacts. Remarkably, even though NM 21599:552 did not pair up with NM 11596:5, by geochemical composition, it was grouped close by another fragment from cluster 6, NM 24472:1588. Although these items did not fit together by their inner diameter, NM 24472:1588 fit inside NM 21599:552 (Fig. 13b). As the natural striped surface of the stone raw material is also present on both fragments, these items seem to represent fragments that were born during the manufacturing process of several rings. Indeed, even though this practice does not represent as evident a materialisation of enchainment as breaking and sharing an artefact, the connection between fragments from the same manufacturing process — items that were given birth at the same time — could also be strong. In this sense, it is interesting that NM 24472:1588 is a grave good from the Laajamaa 1 burial site, while NM 21599:522 was discovered from the nearby settlement site of Törmävaara (Fig. 7). In fact, minor geochemical disparity between this pair probably derives from the ochre used in the burial ritual (Engblom, 1992): red-ochre stains on the surface of NM 24472:1588 enrich the iron values of the item and also affect other elemental concentrations. Nevertheless, it is probable that these items not only represent a social relationship between two people but also a connection between the living and the dead. In fact, in the light of these results, it is likely that the peoples inhabiting the Törmavaara site buried some of their dead at the Laajamaa 1 burial site.
Micro Detail and Use-Wear Analysis
The microscopic examination of the 56 artefacts analysed via ED-XRF aimed to investigate micro-details and use and manufacture marks on the object surfaces, indicative of use-wear caused by wearing these items e.g. on strings, and accidental vs intentional breakage, in particular. Most of the objects displayed carefully finished surfaces, and the polishing had strongly diminished the tool-marks from the shaping process. In addition, the central holes of intact rings were sometimes polished (e.g. NM 10864:30). The slate pendant, NM 21314, showed scratches on its fastening-hole (Fig. 14), which probably represent use-wear caused by wearing this item on a string. Similar ‘scarring’ appears on the fastening-holes of ornament fragments, e.g. NM 29954:7138, NM 33923:136, NM 29906:2014, NM 97494:21, NM 23809:1386, NM 6458:1, indicating that these items were also worn on a string or sewn onto clothes. In addition, some of the fragments showed worn, enlarged external diameters for the fastening-holes (NM 33923:136, NM 97494:21, NM 13671:86, NM 29906:2013, NM 19007:544, NM 21293:1415, NM 13306:1221, NM 10870), suggesting use-wear, but may also be linked to the drilling of the hole (Fig. 14). The small intact rings NM 10114:13 and NM 24855:2 also show potential use-wear relating to the ways these items might have been strung or attached to clothes.
In contrast, some of ring-fragments showed no signs of use, indicating they were unused, or used only for a short period (prepared for a special use?), e.g. ring-fragments NM 9494:27, NM 30675:1, NM 19902:164, and the button-like artefact NM 18188:1 showed no signs of wear and may have been unused. Of the above mentioned items, NM 18188:1 is a burial find, and could indeed have been manufactured solely for burial use. Conversely though, items NM 29906:2013 and NM 29906: 2014 mentioned above are also burial finds but show clear use-wear. It thus seems reasonable to assume that items with differing patterns of wear — possibly indicating differing biographies — were used in funerary rituals. In other words, some items might have been made during the course of the ritual while others could represent long-worn personal ornaments or of the buried individual or his/hers social contacts.
According to our use-wear analysis, some fragments also appeared to be unfinished, showed manufacturing flaws, or signs of interrupted manufacture (e.g. the hole preparation was disrupted in NM 30675:1, NM 14433:1). In some cases, we noted evidence of rough tool-marks (i.e. NM 10114:14) on unfinished, unpolished surfaces. Finally, some of the fragments have no holes, but display cut/blow-marks from shaping on the sides (NM 21599:552, NM 4063:1, NM 5249:5). The intact rings NM 10917 and NM 14957:9 show partly unfinished surface treatment, whereas the intact ornament NM 9578:7 was finely polished. As NM 14957: 9 has been discovered from a burial context, it testifies further to the use of artefacts with differing biographies as burial gifts. The three adzes, NM 16442:1, NM 5929:2, and NM 3920:1, all show potential use-wear at the edge of the blade.
Remarkably, in some cases, the fractured ends of the fragments showed both cut/blow-marks and fine polishing, suggesting intentional breakage. For example, items NM 28885:2, NM 33923:136, NM 21293:580, NM 22117:143, NM 11596:5 (Figs. 15 and 16) had ends that were carefully finished by polishing, whereas e.g. NM 29713:4337 and NM 28203:3440 had one polished end and one untouched end. This phenomenon was also noted with the naked eye throughout the entire research assemblage (Online Resource 1), and could indicate e.g. an unfinished status or an aesthetic preference. Leaving one end of the fragment unpolished on purpose could also relate to ideas of enchainment. However, even more obvious evidence of intentional fragmentation is seen in the presence of blow-marks on the fracture ends of several fragments (e.g. NM 27022:848, NM 5164:62, NM 5873:3). For example, NM 21293:580 was cut at the hole, and NM 22117:144 shows a tool-mark from cutting/hitting, demonstrating intentional cutting (Fig. 15). Accordingly, this phenomenon suggests that these were clearly not broken by accident.
Conclusions
During 4th millennium BC, an intensive artefact circulation system existed among the hunter-gatherer peoples of north-eastern Europe (e.g. Edgren, 1984; Herva et al., 2014; Kriiska, 2015; Tarasov & Gogolev, 2018; Tarasov & Nordqvist, 2021; Zhulnikov, 2010). Along with other goods, these people also commonly circulated ring-shaped ornaments that were mainly made of different kinds of slates or tuffs. In the light of our research, it seems that these items were not, however, mere ‘decorations’ or ‘exotic goods’. In fact, even though we were able to confirm that roughly one third of the Finnish ring-shaped ornaments in fact derive from the Lake Onega region, and thus represent the already previously mentioned long-distance give and take systems, most of the ringed-ornaments were made of other raw stone materials. Furthermore, intact ornaments were clearly a minority within this material. Indeed, we found tool marks and finishing details on the cut ends of the fragments — with or without fastening holes, grooves, or notches — suggesting that the creation and appearance of the fragments is not accidental but intentional. This interpretation is further supported by our micro detail and use-wear analysis, which shows that these fragments were not only intensively used but sometimes intentionally fragmented from the exact location of the fastening hole.
Accordingly, we suggest that the ringed ornaments were — for the most part — never meant to be intact, but were instead fragmented on purpose. It seems likely that these items were used as tokens of some form of social relationship that could have been related e.g. to the circulation system itself. This explanation is supported further by the results of our refitting and geochemical analyses which show that fragments from one and the same artefact might indeed be located at two different sites. In the light of Chapman’s (2000) theory of fragmentation and enchainment, we suggest that these items were carried by different individuals as tokens of social relationships. This being said, it must be noted though that even though these fragments share attributes such as shape, size, cross-section and colour, and are made from the same raw material, they do not share a point of breakage. Accordingly, the evidence is not entirely incontestable. Furthermore, as these fragments also show differences in the ways they were polished, they could also testify e.g. to the preferred ornament style of a single workshop. However, as parted fragments can also have differing biographies that result in different patterns of wear (Chapman & Gaydarska, 2007, pp. 157–160) — or as could be the case in our material — in differing patterns of polish, these fragments could also derive from one and the same artefact. As we do not note evidence of mass production of artefacts in certain shape and size within our research material, we suggest that the latter explanation is more plausible.
Since our research showed that most of the artefact fragments were collected from large, central settlement sites, it is probable that these sites also acted as the venue for social gatherings where people exchanged goods and created and re-created their relationships with each other. Since hunter-gatherer peoples commonly create connections to repeatedly visited focal places, e.g. with distinctive deposits or caching (e.g., Jordan, 2008, p. 241), it could be plausible that the large amount of fragments at these sites suggests that one part of the broken item was also given to the site itself. Accordingly, the 4th millennium BC hunter-gatherer gift-giving system not only formed bonds between people but also between people and places. In such an enchainment, the origins of the raw material of the circulated goods, such as the Lake Onega region, might also have played an important role.
Although initially we placed our attention on the practice of fragmentation, our research showed that breaking an item into several pieces was not the only way to create a connection between people, things, and places. Instead, the connection born during the manufacture process and the use of the same raw material might also have been important. This seems to be evident in the case of one pair of fragments that we discovered that did not derive from the same artefact, but instead, were from the same piece of stone that was used as the raw material for several ornaments. Remarkably, one of these fragments was discovered from a large settlement site complex while the other was unearthed from a nearby burial site. In the light of this discovery, it seems that these social bonds were not created only within the realm of the living but also between the living and the dead. It is noteworthy that our novel discovery also provides the first material connection between a settlement site and a contemporary burial site. Accordingly, the people living in this particular location very probably buried their dead in this specific burial site.
Aside from finding evidence of intentional fragmentation and enchainment, our research also brought to light minor compositional differences in our research material. This finding suggests that even though, in general, the foreign ornaments and ornament fragments derived from the Lake Onega region, the raw material was probably extracted from different places. In other words, several quarries or workshops likely existed in the Lake Onega region already during the earlier part of the 4th millennium BC. Indeed, to establish a better understanding of the quarries of the Lake Onega region, in the future, it would be fruitful to compare the visual, morphological, and compositional characteristics of the ringed ornaments discovered from this region to the Finnish material. Moreover, to gain more insight into the artefact circulation system, the foreign materials present in the region should also be explored. Indeed, we still do not know what was given as an exchange for the Lake Onega ornaments. Similarly, the provenance of the other materials present in the Finnish ringed ornaments has yet to be discovered. In the light of our research it is likely that more intentionally fragmented artefacts — now to be seen as tokens of social relationships — will also emerge from this material.
Availability of Data and Material
Data are available within the article or its supplementary materials.
Code Availability
Not applicable
Notes
Due to issues relating to availability, the data does not include, however, items that are part of the collection but were kept in museum displays, e.g. in other parts of Finland, or artefacts that are kept in other archaeological collections in Finland. Although not studied in detail, basic information concerning these items was nevertheless compiled to Online Resource 2 and taken into account in the total numbers of the ringed ornaments
References
Ahola, M. (2015). Tracing neolithic funerary practices from Finnish ochre graves – A case study from Kukkarkoski Comb Ware burial ground. In M.-L. Honkasalo, K. Koski, & K. Kanerva (Eds.), Theme issue: Images of Afterlife (4 (2) ed., pp. 23–41). Thanatos.
Ahola, M. (2017). The material culture of Finnish Stone Age hunter-gatherer burials. Fornvännen, 4, 201–215.
Ahola, M. (2019). Death in the Stone Age: Making sense of mesolithic-neolithic mortuary remains from Finland (ca. 6800-2300 Cal BC). [Doctoral thesis, University of Helsinki]. http://urn.fi/URN:ISBN:978-951-51-5301-2
Ahola, M., Salo, K., & Mannermaa, K. (2016). Almost gone: Human Skeletal material from Finnish Stone Age earth graves. Fennoscandia Archaeologica, 33, 95–122.
Alenius, T., Mökkönen, T., & Lahelma, A. (2013). Early farming in the northern boreal zone: Reassessing the history of land use in southeastern Finland through high-resolution pollen analysis. Geoarchaeology, 28, 1–24.
Baysal, E. M. (2019). Personal ornaments in prehistory. In An exploration of body augmentation from the Palaeolithic to the Early Bronze Age. Oxbow books.
Bradley, R. (2000). An archaeology of natural places. Routledge.
Bradley, R., & Edmonds, M. R. (1993). Interpreting the axe trade: Production and exchange in Neolithic Britain. New studies in archaeology. Cambridge University Press.
Bruen Olsen, A., & Alasker, S. (1984). Greenstone and diabase utilisation in the Stone Age of Western Norway. Norwegian Archaeological Review, 17, 71–103.
Chapman, J. (2000). Fragmentation in archaeology: People, places and broken objects in the prehistory of south-eastern Europe. Routledge.
Chapman, J., & Gaydarska, B. (2007). Parts and wholes. Fragmentation in prehistoric context. Oxbow books.
Cristiani, E., & Borić, D. (2017). Personal adornment and personhood among the last mesolithic foragers of the Danube Gorges in the central Balkans and beyond. In D. E. Bar-Yosef Mayer, C. Bonsall, & A. M. Choyke (Eds.), Not just for show. The archaeology of beads, beadwork, & personal ornaments (pp. 39–68). Oxbow books.
Delgado-Raack, S., Rich, R., Martínez-Fernández, F., & Rosas-Casals, M. (2020). Material principles and economic relations underlying Neolithic axe circulation in Western Europe. Journal of Archaeological Method and Theory, 27(2020), 771–798.
Edgren, T. (1984). Kivikausi. In Y. Blomstedt (Ed.), Suomen historia I (pp. 19–97). Weilin+Göös.
Engblom, L. (1992). Tervolan punamultahaudat. In M. Huurre, P. Halinen, M. Lavento, & J. Moisanen (Eds.), Kentältä poimittua: kirjoitelmia arkeologian alalta (pp. 50–57). Finnish Heritage Agency.
Fowler, C. (2004). The archaeology of personhood. An anthropological approach. Themes in Archaeology. Routledge.
Grave, P., Attenbrow, V., Sutherland, L., Pogson, R., & Forter, N. (2012). Non-destructive pXRF of mafic stone tools. Journal of Archaeological Science, 39, 1674–1686.
Hakonen, A. (2021). Communities beyond society: Divergence of local prehistories on the Bothnian Arc, Northern Europe. Open Archaeology, 7(1), 211–230.
Halinen, P. (1997). Kaustinen 2 Kangas. kivikautisen asuinpaikan ja kalmiston kaivaus. Finnish Heritage Agency. Retrieved March 6, 2020 from https://www.kyppi.fi/palveluikkuna/raportti/read/asp/hae_liite.aspx?id=102524&ttyyppi=pdf&kansio_id=236
Halinen, P. (2015). Kivikausi. In G. Haggrén, P. Halinen, M. Lavento, S. Raninen, & A. Wessman (Eds.), Muinaisuutemme jäljet: Suomen esi- ja varhaishistoria kivikaudelta keskiajalle (pp. 19–124). Gaudeamus.
Herva, V.-P., Nordqvist, K., Lahelma, A., & Ikäheimo, J. (2014). Cultivation of perception and the emergence of the Neolithic world. Norwegian Archaeological Review, 47(2), 141–160.
Holmqvist, E., Heinonen, T., Väisänen, R., Pihlman, A., Koivisto, A., & Russow, E. (2020). Ceramic fabrics and lead glazes of late medieval redware pots in the Helsinki, Turku and Tallinn regions (ED-XRF, SEM-EDS). Journal of Archaeological Science: Reports, 34, 102627. https://doi.org/10.1016/j.jasrep.2020.102627
Huurre, M. (1998). Kivikauden Suomi. Otava.
Ibáñez, J. J., Ortega, D., Campos, D., Khalidi, L., Méndez, V., & Teira, L. (2016). Developing a complex network model of obsidian exchange in the Neolithic Near East: Linear regressions, ethnographic models and archaeological data. Paléorient, 42(2), 9–32. https://doi.org/10.3406/paleo.2016.5718
Jenkins, R. (1999). X-ray fluorescence spectrometry. John Wiley & Sons.
Jenkins, R., Gould, R. W., & Gedcke, D. (1995). Quantitative X-ray spectrometry. Marcel Dekker.
Jonuks, T., & Rannamäe, E. (2018). Animals and worldviews: A diachronic approach to tooth and bone pendants from the Mesolithic to the medieval period in Estonia. In A. Livarda, R. Madgwick, & S. Riera Mora (Eds.), The Bioarchaeology of Ritual and Religion (pp. 162–179). Oxbow Books.
Jordan, P. (2008). Northern Landscapes, Northern mind: On the trail of an ‘archaeology of hunter-gatherer belief’. In D. S. Whitley & K. Hays-Gilpin (Eds.), Belief in the past. Theoretical approaches to the archaeology of religion (pp. 227–246). Routledge.
Khrustaleva, I., Roog, R., Kholkina, M. & Kriiska, A. (2020). Hunter-gatherer pit-houses in Stone Age Estonia. Archaeological and Anthropological Sciences, 12(2). https://doi.org/10.1007/s12520-020-01018-0
Kopisto, A. (1959). Die Schieferringe der kammkeramischen Kultur Finnlands. Suomen Museo, LXVI, 5–16.
Kriiska, A. (2009). The beginning of farming in the Eastern Baltic. In Dolukhanov, P. M., Sarson, G. R. & Shukurov, A. (Eds.), The east European plain on the eve of agriculture (pp. 159–179). British Archaeological Reports International Series, 1964. Oxbow books.
Kriiska, A. (2015). Foreign materials and artefacts in the 4th and 3rd millennia BCE Estonian Comb Ware Complex. In P. Espak (Ed.), When gods spoke: Researches and reflections on religious phenomena andartefacts. Studia in honorem Tarmo Kulmar (pp. 107-124). Tartu University Press.
Lødøen, T. (1998). Interpreting Mesolithic axe deposits from a region of western Norway. Archaeologica Baltica, 3, 195–204.
Macāne, A., Nordqvist, K., & Kostyleva, E. (2019). Marmot incisors and bear tooth pendants in Volosovo hunter-gatherer burials. New radiocarbon and stable isotope data from the Sakhtysh complex, Upper-Volga region. Journal of Archaeological Science: Reports, 26, 101908. https://doi.org/10.1016/j.jasrep.2019.101908
Mannermaa, K., Rainio, R., Girya, E. Y., & Gerasimov, D. E. (2021). Let’s groove: Attachment techniques of Eurasian elk (Alces alces) tooth pendants at the Late Mesolithic cemetery Yuzhniy Oleniy Ostrov (Lake Onega, Russia). Archaeological and Anthropological Sciences, 13, 3. https://doi.org/10.1007/s12520-020-01237-5
Markowicz, A. (2011). An overview of quantification methods in energy-dispersive X-ray fluorescence analysis. Pramana–Journal of Physics, 76(2), 321–329.
Martínez-Sevilla, F. (2019). Assessing the cultural and social value of Neolithic stone bracelets in the Iberian Peninsula. Journal of Anthropological Archaeology, 55, 101080. https://doi.org/10.1016/j.jaa.2019.101080
Mauss, M. (2002). The Gift: The form and reason for exchanges in archaic societies. Routledge (Original work published 1950).
Mökkönen, Т. (2011) Studies on Stone Age housepits in Fennoscandia (4000-2000 cal BC). Changes in ground plan, site location, and degree of sedentism. [Doctoral thesis, University of Helsinki]. http://urn.fi/URN:ISBN:978-952-10-6979-6
Morton, S. G., Awe, J. J., & Pendergrast, D. M. (2019). Shattered: Object fragmentation and social enchainment in the eastern Maya lowlands. Journal of Anthropological Archaeology, 56, 101108. https://doi.org/10.1016/j.jaa.2019.101108
Nilsson Stutz, L., Larsson, L., & Zagorska, I. (2013). The persistent presence of the dead: Recent excavations at the hunter-gatherer cemetery at Zvejnieki (Latvia). Antiquity, 87(338), 1016–1029. https://doi.org/10.1017/S0003598X00049838
Nordqvist, K. & Kriiska, A. (2015). Towards Neolithisation. The Mesolithic-Neolithic transition in the central area of the eastern part of the Baltic Sea. In J. Kabacinski, S. Hartz, D.C.M. Raemaekers & T. Terberger (Eds.), The Dabki Site in Pomerania and the Neolithisation of the North European Lowlands (c. 5000-3000 calBC) (pp. 537–556). Archaologie und Geschichte im Ostseeraum, 8. Verlag Marie Leidorf GmbH.
Nordqvist, K., & Mökkönen, T. (2017). Periodization of the Neolithic and radiocarbon chronology of the Early Neolithic and the beginning of Middle Neolithic in Finland. Documenta Praehistorica, 44, 78–87.
Nyland, A. J. (2021). Acknowledged authenticity. Or did the origin of rock matter in the Mesolithic? Archaeological Dialogues, 28, 77–94.
Pesonen, P. (2002). Semisubterrain houses in Finland - A review. In H. Ranta (Ed.), Huts and Houses. Stone Age and Early Metal Age Buildings in Finland (pp. 9–41). Finnish Heritage Agency.
Pétrequin, P., Cassen, S., Errera, M., Pailler, Y., Prodéo, F., Pétrequin, A.-M., & Sheridan, A. (2019). Disc-rings of Alpine rock in western Europe: Typology, chronology, distribution and social significance. In M. Gleser & D. Hofmann (Eds.), Contacts, boundaries & innovation. Exploring developed Neolithic societies in central Europe and beyond (pp. 305–334). Sidestone Press.
Potts, P. J., Webb, P. C., & Williams-Thorpe, O. (1997a). Investigation of a correction procedure for surface irregularity effects based on scatter peak intensities in the field analysis of geological and archaeological rock samples by portable X-ray fluorescence spectrometry. Journal of Analytical Atomic Spectrometry, 12, 769–776.
Potts, P. J., Williams-Thorpe, O. & Webb, P. C., (1997b). The bulk analysis of silicate rocks by portable X-ray fluorescence: Effect of sample mineralogy in relation to the size of the excited volume. Geostandards Newsletter, 21(1), 29–41.
Renfrew, C. (1984). Trade as action at a distance. In C. Renfrew (Ed.), Approaches to social archaeology (pp. 86–134). Edinburgh University Press.
Sainsbury, V., Bray, P., Gosden, C., & Pollard, A. M. (2021). Mutable objects, places and chronologies. Antiquity, 95(379), 215–227. https://doi.org/10.15184/aqy.2020.240
Tarasov, A., & Gogolev, M. (2018). ICP-MS analysis of metatuff from the Middle Neolithic/Eneolithic ‘green slate’ workshops in the Lake Onega area. Fennoscandia Archaeologica, 34, 32–45.
Tarasov, A., & Nordqvist, K. (2021). Made for exchange: The Russian Karelian lithic industry and hunter-fisher-gatherer exchange networks in prehistoric north-eastern Europe. Antiquity, 1–17. https://doi.org/10.15184/aqy.2021.133
Torvinen, M. (1979). Liedon Kukkarkosken kivikautinen kalmisto. Suomen museo, 82, 37–80.
Vikkula, A. (1987). The Stone Age graves of Nästinristi site in Laitila, SW Finland. Suomen Museo, 93, 5–17.
Williams-Thorpe, O., Potts, P. J., & Webb, P. C. (1999). Field-portable non-destructive analysis of lithic archaeological samples by X-ray fluorescence instrumentation using a mercury iodide detector: Comparison with wavelength-dispersive XRF and a case study in British stone axe provenancing. Journal of Archaeological Science, 26, 215–237.
Zagorska, I. (2001). Amber Graves of Zvejnieki Burial Ground. In Butrimas, A. (Ed.), Baltic Amber. Proceedings of the international interdisciplinary conference Baltic Amber in natural sciences, archaeology and applied arts 13 – 18 September, Vilnis, Palanga, Nida (pp. 109–124). Acta Academiae Artium Vilnesis, 21. Vilnius Academy of Fine Arts Press.
Zagorskis, F. (2004). Zvejnieki (Northern Latvia) Stone Age cemetery. Translated by V. Bērziņś. BAR International Series, 1292. Archaeopress. (Original work published 1987)
Zhulnikov, A. M. (2010). Slantsevye koltsa v kulture neoliticheskogo naseleniya Severnoy Yevropy. In V. M. Vorobyev, M. G. Zhilin, & A. V. Miretskiy (Eds.), Voprosy arkheologii i istorii kamennogo veka: sbornik nauchnykh statey v chest’ 75-letiya doktora istoricheskikh nauk L.V. Koltsova (pp. 105–119). Sedmaya Bukva.
Acknowledgements
We acknowledge the use of an unpublished database by Kipot ja kielet [Beakers and Speakers] project (KiKi), University of Turku.
Funding
Open Access funding provided by University of Helsinki including Helsinki University Central Hospital. PP was partly funded by Kipot ja kielet [Beakers and Speakers] project (KiKi) by University of Turku.
Author information
Authors and Affiliations
Corresponding author
Ethics declarations
Conflicts of Interest
The authors declare no competing interests.
Additional information
Publisher’s Note
Springer Nature remains neutral with regard to jurisdictional claims in published maps and institutional affiliations.
Rights and permissions
Open Access This article is licensed under a Creative Commons Attribution 4.0 International License, which permits use, sharing, adaptation, distribution and reproduction in any medium or format, as long as you give appropriate credit to the original author(s) and the source, provide a link to the Creative Commons licence, and indicate if changes were made. The images or other third party material in this article are included in the article's Creative Commons licence, unless indicated otherwise in a credit line to the material. If material is not included in the article's Creative Commons licence and your intended use is not permitted by statutory regulation or exceeds the permitted use, you will need to obtain permission directly from the copyright holder. To view a copy of this licence, visit http://creativecommons.org/licenses/by/4.0/.
About this article
Cite this article
Ahola, M., Holmqvist, E. & Pesonen, P. Materialising the Social Relationships of Hunter-Gatherers: Archaeological and Geochemical Analyses of 4th Millennium BC ‘Slate Ring Ornaments’ from Finland. J Archaeol Method Theory 29, 1259–1293 (2022). https://doi.org/10.1007/s10816-022-09556-8
Accepted:
Published:
Issue Date:
DOI: https://doi.org/10.1007/s10816-022-09556-8
Keywords
- Hunter-gatherer archaeology
- Personal ornaments
- Fragmentation
- Enchainment
- ED-XRF analysis
- Use-wear analysis















