Abstract
Background
Parenting strategies such as communicating clear expectations, providing calm directions, and teaching specific skills can strengthen young children’s social-emotional development. Parenting programs for children with disruptive behavior often emphasize gaining compliance via effective directives, and less on how to facilitate child skill acquisition or on effective parenting for differing situations and task demands.
Objective
We aimed to study how parenting strategies and associated child behavior vary by situational contexts. Specifically, we focused on the differential use of directives and guidance during different tasks.
Method
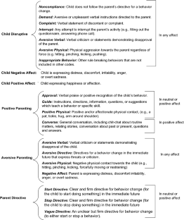
This observation study utilized a microsocial coding system, the Parent–Child Play Task Observation System (PCPTOS), to closely examine parent and child interactions in multiple analogue task situations. The study drew on pre-intervention data for 224 parent–child dyads who participated in a parenting-focused intervention trial for children ages 3–7 who presented elevated levels of disruptive behaviors.
Results
Interrater reliabilities were very good to excellent. Parents used directives more frequently during the clean-up task and guidance more frequently during the teaching task compared to the other tasks. Associations of parent use of directives and guidance with child behavior and affect differed by task. Observed parent directives were associated with child disruptive behavior during each task, whereas parent guidance was negatively associated with child disruptive behavior and positively associated with child positive affect during the teaching task.
Conclusions
Parenting strategies that are well matched to the situational context and proactively consider task demands are more likely to facilitate children’s social-emotional development.

Similar content being viewed by others
References
Bakeman, R., Quera, V., & Gnisci, A. (2009). Observer agreement for timed-event sequential data: A comparison of time-based and event-based algorithms. Behavior Research Methods, 41, 137–147. https://doi.org/10.3758/BRM.41.1.137
Cicchetti, D. V. (1994). Guidelines, criteria, and rules of thumb for evaluating normed and standardized assessment instruments in psychology. Psychological Assessment, 6(4), 284–290. https://doi.org/10.1037/1040-3590.6.4.284
Danforth, J. S., Anderson, L. P., Barkley, R. A., & Stokes, T. F. (1991). Observations of parent—child interactions with hyperactive children: Research and clinical implications. Clinical Psychology Review, 11(6), 703–727. https://doi.org/10.1016/0272-7358(91)90127-G
Davis-Kean, P. E., Tighe, L. A., & Waters, N. E. (2021). The role of parent educational attainment in parenting and children’s development. Current Directions in Psychological Science, 30(2), 186–192. https://doi.org/10.1177/0963721421993116
Dishion, T., Gardner, K., Patterson, G., Reid, J., Spyrou, S., & Thibodeauz, S. (1987). The family process code: A multidimensional system for observing family interactions. Oregon Social Learning Center.
Dishion, T. J., Stormshak, E. A., & Kavanagh, K. (2011). Everyday parenting: A therapist’s guide for supporting family management practices. Research Press.
Eisenberg, N., Vidmar, M., Spinrad, T. L., Eggum, N. D., Edwards, A., Gaertner, B., & Kupfer, A. (2010). Mothers’ teaching strategies and children’s effortful control: A longitudinal study. Developmental Psychology, 46(5), 1294–1308. https://doi.org/10.1037/a0020236
Eyberg, S. M., & Pincus, D. (1999). Eyberg child behavior inventory and Sutter-Eyberg student behavior inventory-revised: Professional manual. Psychological Assessment Resources.
Fleming, A. P., McMahon, R. J., & King, K. M. (2017). Structured parent-child observations predict development of conduct problems: The importance of parental negative attention in child-directed play. Prevention Science, 18, 257–267. https://doi.org/10.1007/s11121-016-0672-1
Gardner, F., Ward, S., Burton, J., & Wilson, C. (2003). The role of mother-child joint play in the early development of children’s conduct problems: A longitudinal observational study. Social Development, 12(3), 361–378. https://doi.org/10.1111/1467-9507.00238
Hakman, M., & Sullivan, M. (2009). The effect of task and maternal verbosity on compliance in toddlers. Infant and Child Develiopment, 18(2), 195–205. https://doi.org/10.1002/icd.599
Handford, M. (1987–1989). Where's Waldo? Book series. Little, Brown & Co.
Hendriks, A. M., Van der Giessen, D., Stams, G. J. J. M., & Overbeek, G. (2018). The association between parent-reported and observed parenting: A multi-level meta-analysis. Psychological Assessment, 30(5), 621–633. https://doi.org/10.1037/pas0000500
Hops, H., Biglan, A., Tolman, A., Arthur, J., & Longoria, N. (1990). Living in family environments (LIFE) coding system: Reference manual for coders. Oregon Research Institute.
Karreman, A., van Tuijl, C., van Aken, M. A. G., & Deković, M. (2006). Parenting and self-regulation in preschoolers: A meta-analysis. Infant and Child Development, 15(6), 561–579. https://doi.org/10.1002/icd.478
Kwon, K.-A., Bingham, G., Lewsader, J., Jeon, H.-J., & Elicker, J. (2013). Structured task versus free play: The influence of social context on parenting quality, toddlers’ engagement with parents and play behaviors, and parent–toddler language use. Child and Youth Care Forum, 42(3), 207–224. https://doi.org/10.1007/s10566-013-9198-x
Landis, J. R., & Koch, G. G. (1977). The measurement of observer agreement for categorical data. Biometrics, 33(1), 159–174. https://doi.org/10.2307/2529310
Landry, S. H., Smith, K. E., Swank, P. R., & Guttentag, C. (2008). A responsive parenting intervention: The optimal timing across early childhood for impacting maternal behaviors and child outcomes. Developmental Psychology, 44(5), 1253–1335. https://doi.org/10.1037/a0013030
Landry, S. H., Smith, K. E., Swank, P. R., & Millier-Loncar, C. L. (2000). Early maternal and child influences on children’s later independent cognitive and social functioning. Child Development, 71(2), 358–375.
Lunkenheimer, E. S., Kemp, C. J., & Albrecht, E. C. (2013). Contingencies in mother–child teaching interactions and behavioral regulation and dysregulation in early childhood. Social Development, 22(2), 319–339. https://doi.org/10.1111/sode.12016
Lunkenheimer, E. S., Olson, S. L., Hollenstein, T., Sameroff, A. J., & Winter, C. (2011). Dyadic flexibility and positive affect in parent–child coregulation and the development of child behavior problems. Development and Psychopathology, 23(2), 577–591. https://doi.org/10.1017/S095457941100006X
Metzler, C. W., Sanders, M. R., & Rusby, J. C. (2013). Multiple levels and modalities of measurement in a population-based approach to improving parenting. In S. McHale, P. Amato, & A. Booth (Eds.), Emerging methods in family research (pp. 197–214). Springer.
Morawska, A., Ditman, C. K., & Rusby, J. C. (2019). Promoting self-regulation in young children: The role of parenting interventions. Clinical Child and Family Psychology Review, 22(1), 43–51. https://doi.org/10.1007/s10567-019-00281-5
Mortensen, J. A., & Mastergeorge, A. M. (2014). A meta-analytic review of relationship-based interventions for low-income families with infants and toddlers: Facilitating supportive parent–child interactions. Infant Mental Health Journal, 35(4), 336–353. https://doi.org/10.1002/imhj.21451
Patterson, G. R. (1982). A social learning approach: 3: Coercive family process. Castalia.
Patterson, G. R., Reid, J. B., & Dishion, T. J. (1992). A social learning approach: IV. Antisocial boys. Castalia.
Petitclerc, A., Briggs-Gowan, M. J., Estabrook, R., Burns, J. L., Anderson, E. L., McCarthy, K. J., & Wakschlag, L. S. (2015). Contextual variation in young children’s observed disruptive behavior on the DB-DOS: Implication for early identification. Journal of Child Psychology and Psychiatry, 56, 1008–1016. https://doi.org/10.1111/jcpp.12430
Presnall, N., Webster-Stratton, C. H., & Constantino, J. N. (2014). Parent training: Equivalent improvement in externalizing behavior for children with and without familial risk. Journal of the American Academy of Child and Adolescent Psychiatry, 53(8), 879–887. https://doi.org/10.1016/j.jaac.2014.04.024
Rusby, J. C., Crowley, R., Jones, L. B., & Smolkowski, K. (2017). Providing opportunities to learn in home-based child care settings: Observations of learning contexts and behavior [Special issue]. Early Education and Development, 28(6), 715–726. https://doi.org/10.1080/10409289.2017.1303305
Rusby, J. C., Estes, A. E., & Dishion, T. (2000). The interpersonal process code. In J. Touliatos, B. F. Perlmutter, & G. W. Holden (Eds.), Handbook of family measurement techniques. (Vol. 2). Sage.
Rusby, J. C., Metzler, C. W., Sanders, M. R., & Crowley, R. (2015). Emulating real-life situations with a play task to observe parenting skills and child behaviors. Journal of Family Psychology, 29(2), 201–210. https://doi.org/10.1037/fam0000056
Rusby, J. C., Smolkowski, K., Marquez, B., & Taylor, T. K. (2008). A small-scale randomized efficacy trial of Carescapes: Enhancing children’s social development in child care homes. Early Childhood Research Quarterly, 23(4), 527–546. https://doi.org/10.1016/j.ecresq.2008.08.003
Sanders, M. R., Kirby, J. N., Tellegen, C. L., & Day, J. J. (2014). The triple P-positive parenting program: A systematic review and meta-analysis of a multi-level system of parenting support. Clinical Psychology Review, 34(4), 337–357. https://doi.org/10.1016/j.cpr.2014.04.003
Sanders, M. R., & Turner, K. M. T. (2018). The importance of parenting in influencing the lives of children. In M. R. Sanders & A. Morawska (Eds.), Handbook of parenting and child development across the lifespan (pp. 3–26). Springer.
Sanders, M. R., Waugh, L., Tully, L., & Hynes, K. (1996). The revised family observation schedule (3rd ed.). Parenting and Family Support Centre.
Shrout, P. E., & Fleiss, J. L. (1979). Intraclass correlations: Uses in assessing rater reliability. Psychological Bulletin, 86(2), 420–428. https://doi.org/10.1037/0033-2909.86.2.420
Sitnick, S. L., Shaw, D. S., Gill, A., Dishion, Y., Winter, C., Waller, R., Gardner, F., & Wilson, M. (2015). Parenting and the Family Check-Up: Changes in observed parent-child interaction following early childhood intervention. Journal of Clinical Child and Adolescent Psychology, 44(6), 970–984. https://doi.org/10.1080/15374416.2014.940623
Snyder, J. (2016). Coercive family processes and the development of child social behavior and self-regulation. In T. J. Dishion & J. Snyder (Eds.), The Oxford handbook of coercive relationship dynamics (pp. 101–113). Oxford University Press.
Snyder, J., & Dishion, T. J. (2016). Introduction: Coercive social processes. In T. J. Dishion & J. Snyder (Eds.), The Oxford handbook of coercive relationship dynamics (pp. 1–6). Oxford University Press.
Taylor, T. K., Burns, G. L., Rusby, J. C., & Foster, E. M. (2006). Oppositional defiant disorder toward adults and oppositional defiant disorder toward peers: Initial evidence for two separate constructs. Psychological Assessment, 18, 439–443.
Valcan, D. S., Davis, H., & Pino-Pasternak, D. (2018). Parental behaviours predicting early childhood executive functions: A meta-analysis. Educational Psychology Review, 30, 607–649. https://doi.org/10.1007/s10648-017-9411-9
Vitiello, V. E., Booren, L. M., Downer, J. T., & Williford, A. (2012). Variation in children’s classroom engagement throughout a day in preschool: Relations to classroom and child factors. Early Child Research Quarterly, 27(2), 210–220. https://doi.org/10.1016/j.ecresq.2011.08.005
Whitehurst, G. J. (1984). Interrater agreement for journal manuscript reviews. American Psychologist, 39(1), 22–28. https://doi.org/10.1037/0003-066X.39.1.22
Funding
This research was supported by the National Institute of Mental Health under Award Number R01MH097699. The authors wish to thank the coding team, Cathy Milchak, Kristina Hulegaard, Katherine Bravo Aguayo, and Joey Blum for their excellent contributions.
Author information
Authors and Affiliations
Corresponding author
Additional information
Publisher's Note
Springer Nature remains neutral with regard to jurisdictional claims in published maps and institutional affiliations.
Rights and permissions
About this article
Cite this article
Rusby, J.C., Prinz, R.J., Metzler, C.W. et al. Attending to Task Demands: Systematic Observation of Parent Directives and Guidance in Varying Situational Contexts. Child Youth Care Forum 51, 421–437 (2022). https://doi.org/10.1007/s10566-021-09637-x
Accepted:
Published:
Issue Date:
DOI: https://doi.org/10.1007/s10566-021-09637-x
