Skip to main content

Comparison of clinical and echocardiographic features of first and second waves of COVID-19 at a large, tertiary medical center serving a predominantly African American patient population

Abstract

As clinicians have gained experience in treating patients with the novel SARS-CoV-2 (COVID-19) virus, mortality rates for patients with acute COVID-19 infection have decreased. The Centers for Disease Control (CDC) has identified the African American population as having increased risk of COVID-19 associated mortality, however little is known about echocardiographic markers associated with increased mortality in this patient population. We aimed to compare the clinical and echocardiographic features of a predominantly African American patient cohort hospitalized with acute COVID-19 infection during the first (March–June 2020) and second (September–December 2020) waves of the COVID-19 pandemic, and to investigate which parameters are most strongly associated with composite all-cause mortality. We performed consecutive transthoracic echocardiograms (TTEs) on 105 patients admitted with acute COVID-19 infection during the first wave and 129 patients admitted during the second wave. TTE parameters including left ventricular ejection fraction (LVEF), left ventricular global longitudinal strain (LVGLS), right ventricular global longitudinal strain (RVGLS), right ventricular free-wall strain (RVFWS), and right ventricular basal diameter (RVBD) were compared between the two groups. Clinical and demographic characteristics including underlying co-morbidities, biomarkers, in-hospital treatment regimens, and outcomes were collected and analyzed. Univariable and multivariable analyses were performed to determine variables associated with all-cause mortality. There were no significant differences between the two waves in terms of age, gender, BMI, or race. Overall all-cause mortality was 35.2% for the first wave compared to 14.7% for the second wave (p < 0.001). Previous medical conditions were similar between the two waves with the exception of underlying lung disease (41.9% vs. 29.5%, p = 0.047). Echocardiographic parameters were significantly more abnormal in the first wave compared to the second: LVGLS (− 17.1 ± 5.0 vs. − 18.9 ± 4.8, p = 0.02), RVGLS (− 15.7 ± 5.9% vs. − 19.0 ± 5.9%, p < 0.001), RVFWS (− 19.5 ± 6.8% vs. − 23.2 ± 6.9%, p = 0.001), and RVBD (4.5 ± 0.8 vs. 3.9 ± 0.7 cm, p < 0.001). Stepwise multivariable logistic analysis showed mechanical ventilation, RVFWS, and RVGLS to be independently associated with mortality. In a predominantly African American patient population on the south side of Chicago, the clinical and echocardiographic features of patients hospitalized with acute COVID-19 infection demonstrated marked improvement from the first to the second wave of the pandemic, with a significant decrease in all-cause mortality. Possible explanations include implementation of evidence-based therapies, changes in echocardiographic practices, and behavioral changes in our patient population. Mechanical ventilation and right-sided strain-based markers were independently associated with mortality.

Introduction

While the Coronavirus disease-2019 (COVD-19) pandemic has had a tremendous global impact, Cook County, Illinois, which includes the city of Chicago and many of its surrounding suburbs, has represented an unfortunately notable hotspot, with over 249,000 confirmed cases and over 4400 deaths as of May 2021 [1]. In particular the African American and Hispanic communities of Chicago have been disproportionately affected [2,3,4,5,6], with historically ethnically segregated neighborhoods on the Northeast, West, and South sides of Chicago demonstrating the highest rates of mortality from COVID-19 [3]. As a major urban, tertiary care Level I trauma center on the South Side of Chicago, our hospital serves a predominantly African American population and has been a microcosm of the COVID-19 pandemic’s ravaging effect on the city’s population.

Over the past year, we have learned that while the respiratory system is the most directly affected by the SARS-CoV-2 virus, both underlying and COVID-related cardiovascular conditions play a significant role in disease severity and patient outcomes [7,8,9]. Transthoracic echocardiography (TTE) has emerged as the first-line imaging modality for identification of cardiac involvement in patients with acute COVID-19 infection, due to its portability and bedside feasibility [10]. Given that myocardial injury has been linked with poor outcomes [11, 12], TTE has proven to be a critical tool in the triage of patients admitted with acute COVID-19 disease.

Since the start of the pandemic, we have seen rapid improvement in early diagnosis, therapeutics, and management strategies, resulting in improved mortality rates across health systems, even when adjusted for demographic and clinical factors [13]. In this study, we sought to report on the clinical and echocardiographic features of a predominantly African American population of patients with acute COVID-19 infection during two consecutive waves of the pandemic, as well as the clinical and echocardiographic factors most associated with composite all-cause mortality.

Methods

This was a retrospective, observational study of adult patients (≥ 18 years old) with acute COVID-19 infection (defined as a positive antigen or PCR test) who were admitted to the University of Chicago Medical Center during the first (March–June 2020) and second (September–December 2020) waves of the COVID-19 pandemic and who underwent a TTE during the hospitalization. Acceptable TTEs included both comprehensive and limited two-dimensional (2D) studies.

Clinical information including demographic data, past medical history, vital signs, biomarkers, treatments, and outcomes were retrospectively collected for both waves from the electronic medical record. Heart failure was defined as clinical symptoms of volume overload thought to be of cardiac etiology (both preserved and reduced ejection fraction) and documented as such in the medical record. Admission criteria for COVID-19 patients at our hospital included abnormal vital signs (fever, tachypnea, tachycardia, hypoxia or worsening oxygen requirement) as well as patients at high risk for complications due to advanced age or underlying co-morbidities (i.e. severe cardiovascular disease, COPD, malignancy, pregnancy, immunocompromised state, etc.). Laboratory biomarkers were collected whenever deemed clinically appropriate and all biomarkers collected within 72 h of echocardiographic acquisition were included in the analysis. These biomarkers included high-sensitivity troponin, lactic dehydrogenase (LDH), N-terminal pro hormone brain natriuretic peptide (NT-proBNP), D-Dimer, and C-Reactive Protein (CRP).

The study was approved by the IRB at the University of Chicago with a waiver of consent.

Image Analysis

Left ventricular (LV) echocardiographic analysis was performed by an expert group of board-certified echocardiographers in the Echocardiographic Core Lab. All LVEFs were obtained by performing endocardial tracings and using the biplane method of disks (modified Simpson’s technique) [14]. When image quality was insufficient for biplane calculation of EF, the 4-chamber view alone was used. LVGLS was calculated using a semi-automated LV-specific package (TOMTEC Image Arena, Unterschleissheim, Germany) and manually corrected as needed, and calculated as the average of all available segments from the 4CH, 3CH, and 2CH views.

Right ventricular (RV) analysis included RV global longitudinal strain (RVGLS), RV free wall strain (RVFWS) and RV basal diameter (RVBD). RVGLS and RVFWS were calculated using a semi-automated RV-specific package of TOMTEC Image Arena and manually corrected as needed. Only cases with acceptable quality of RV views were included. Acceptable imaging quality was defined as presence of an RV-focused view with adequate visualization of the RV free wall.

Statistical Analysis

For baseline characteristics, continuous variables were expressed as means ± standard deviations or medians with interquartile ranges and compared with either Student t-tests or Mann–Whitney U (Wilcoxon) tests depending upon normality as determined by Shapiro–Wilk tests. Categorical variables were expressed as relative counts and percentages and compared with Chi-square tests of association or Fisher exact tests.

A multivariable regression analysis was conducted to determine which baseline clinical and echocardiographic characteristics were associated with all-cause mortality. Relevant clinical parameters with a p < 0.05 in the univariable logistic regression were checked for multicollinearity using Spearman rank correlations before being inputted into a regularized lasso logistic regression to determine variables selection for the multivariable logistic regression. ICU, shock, and hypoxemia were not included in the models due to high correlation (rho > 0.60) with mechanical ventilation. Likewise, due to high correlation (rho > 0.60) amongst LV GLS, RV GLS, and RV FWS, separate models were run for each of these three parameters.

Receiver operator characteristic (ROC) curves were used to determine optimal cut-off points, as well as to determine the c-statistic or area under the curves for the logistic regression models. Tests were two-tailed and considered statistically significant with a p-value < 0.05. All statistical analyses were conducted using STATA MP Version 15 (College Station, TX).

Results

Clinical Characteristics

No significant differences were noted between waves 1 and 2 in terms of age, gender, race, blood pressure, or rates of underlying rates of heart or kidney disease. Significant differences in clinical characteristics included pre-existing lung disease (41.9% vs. 29.5%, p = 0.047), high-sensitivity troponin (77 (41–167) vs. 30 (18–64) ng/L, p < 0.001), and NT-proBNP (3192 (484–12,928) vs. 455 (182–1939) pg/mL, p = 0.001), as noted in Table 1. Notably, there was a significant difference in all-cause mortality between waves 1 and 2 (35.2% (n = 37) vs. 14.7% (n = 19), p < 0.001) as noted in Table 2.

Table 1 Baseline/clinical characteristics
Table 2 Outcomes

Echocardiographic Characteristics

Median time between admission to TTE was 2 days for both wave 1 and wave 2. We found significant differences in echocardiographic characteristics between the two waves (Table 3), which included LVGLS (− 17.1 ± 5.0 vs. 18.9 ± 4.8, p = 0.02), RVGLS (− 15.7 ± 5.9% vs. − 19.0 ± 5.9%, p < 0.001), RVFWS (− 19.5 ± 6.8% vs. − 23.2 ± 6.9%, p = 0.001), and RVBD (4.5 ± 0.8 vs. 3.9 ± 0.7 cm, p < 0.001).

Table 3 Echocardiographic characteristics

Treatment Regimens

There were significant differences in treatment regimens between the two waves (Table 4), which included the use of antibiotics (82.4% vs. 68.0%, p = 0.01), hydroxychloroquine (17.5% vs. 1.6%, p < 0.001), steroids (11.7% vs. 62.5%, p < 0.001), remdesivir (35.9% vs. 60.2%, p < 0.001), tocilizumab (16.5% vs. 1.6%, p < 0.001), and prone positioning (p = 0.003).

Table 4 Treatment regimens

Univariable Analysis

Results of univariable analysis (Table 5) showed that clinical and echocardiographic variables significantly associated with all-cause mortality included age (OR 1.03 (1.01–1.03), p = 0.004), systolic blood pressure (OR 0.98 (0.96–0.98), p = 0.045), diastolic blood pressure (OR 0.95 (0.92–0.95), p = 0.004), lung disease (OR 1.89 (1.02–1.89), p = 0.042), hypoxemia (OR 2.16 (1.17–2.16), p = 0.01), mechanical ventilation (OR 7.78 (3.92–7.78), p < 0.001), shock requiring hemodynamic support (OR 15.94 (6.58–15.9), p < 0.001), admission to ICU (OR 4.99 (2.6–4.9), p < 0.001), LVGLS (OR 0.90 (0.84–0.90), p = 0.003), RVGLS (OR 0.87 (0.81–0.87), p < 0.001), and RVFWS (OR = 0.90 (0.86–0.90), p = 0.001).

Table 5 Univariable logistic analysis

Multivariable Analysis

In the multivariable analysis, the following variables were found to be independently associated with all-cause mortality: mechanical ventilation (OR 6.01 (1.15–31.27), p = 0.03), RVFWS (OR 0.86 (0.76–0.97), p = 0.02), and RVGLS (OR 0.85 (0.75–0.96), p = 0.01) (Table 6).

Table 6 Multivariable logistic analysis

ROC Curves

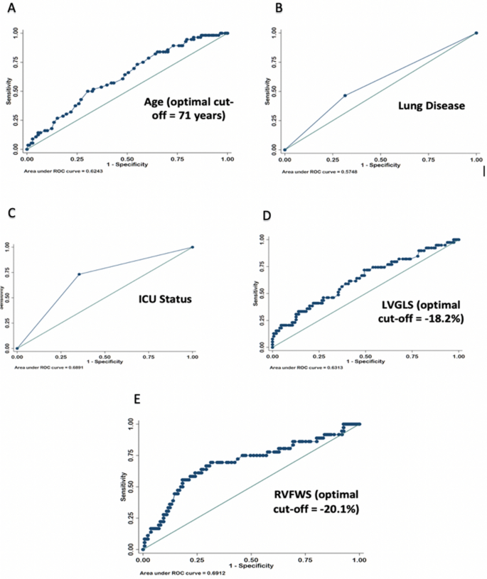
Receiver operating characteristic (ROC) curves were used to identify the best performing combination of clinical and echocardiographic variables for predicting all-cause mortality, which was found to be age, lung disease, ICU status, and LVGLS and/or RVFWS, with an AUC of 0.82 (Fig. 1). Of note, LVGLS and RVFWS were found to be closely correlated (rho > 0.60), thus they were interchangeable in this model. Optimal cut-off values for categorical variables in this model for prediction of all-cause mortality were 71 years for age, − 18.2% for LVGLS, and − 20.1% for RVFWS (Fig. 2).

Fig. 1
figure 1

Optimal ROC Curves for Prediction of All-Cause Mortality. Using a composite receiver-operating curve model, the best performing combination for prediction of in-hospital mortality were found to be: A age, lung disease, ICU status, and LVGLS (AUC = 0.82) and B age, lung disease, ICU status, and RVFWS (AUC = 0.82)

Fig. 2
figure 2

Individual ROC Curves with Optimal Cut-offs for Predicting Mortality. Optimal cut-off values for categorical variables for prediction of all-cause mortality were 71 years for age, − 18.2% for LVGLS, and -20.1% for RVFWS. The area under the ROC curve for the composite model shown in Fig. 1 is significantly higher when adding the strain-based echocardiographic markers LVGLS or RVFWS (AUC = 0.82) when compared to models incorporating only A age (AUC = 0.62), B lung disease (AUC = 0.57), C ICU status (AUC = 0.69), D LVGLS (AUC = 0.63), or E RVFWS (AUC = 0.69) alone

Discussion

In this retrospective study conducted at a large, urban tertiary care medical center in Chicago, Illinois serving a predominantly African American patient population, we found significant differences in clinical and echocardiographic characteristics, as well as therapeutic regimens, between patients treated during the first and second waves of the COVID-19 pandemic. There was notably a significant drop in all-cause mortality from the first to the second wave, with mechanical ventilation, RVFWS, and RVGLS found to be independently associated with all-cause mortality.

The CDC has identified the African American population as having increased risk of COVID-19 associated mortality [15]. Of note, county-level data has shown that counties with higher African American populations experience greater case, mortality, and progression rates of disease compared to counties with lower African American populations [16, 17]. Recent literature has hypothesized several factors that may contribute to racial and ethnic differences in COVID-19 mortality: (1) environmental factors such as increased air pollution [18], (2) increased rates of co-morbidities, such as obesity and asthma [19], (3) disparities in access to care [20], (4) differences in occupational patterns and related exposure [21], and (5) structural racism in the healthcare system [22]. It is very likely that our patient population on the south side of Chicago was affected by many of the socioeconomic factors above, resulting in a higher overall mortality rate than the population at large.

One explanation for the lower mortality rate and improved cardiac phenotype observed during the second wave of the pandemic is that these patients were less acutely ill at presentation, a finding reflected by significantly lower rates of lung disease and lower high-sensitivity troponin and NT-proBNP values. These findings suggest that patients admitted during the second wave of the COVID-19 pandemic were overall less sick than those admitted during the first wave, possibly due to increased awareness of the disease and earlier presentation to the hospital.

An alternative explanation for these observations is behavioral change in our patient population between the first and second waves of the pandemic. Universal masking and social distancing measures were recommended by the CDC between the first and second waves, both of which have been shown to reduce the rate and severity of COVID-19 infection [23,24,25]. In addition, increased public awareness of the acute dangers of the COVID-19 virus, particularly amongst the African American community, may have resulted in more cautious health-related behaviors, including but not limited to improved adherence with hand-washing, masking, and social distancing, as well as earlier presentation to the hospital.

Another hypothesis stems from the evolution in evidence-based therapeutics since the start of the COVID-19 pandemic, as evidenced by the significant differences in treatment regimens seen between the two waves. Most notably, data from randomized controlled trials regarding the use of systemic steroids [26] and remdesivir [27] showing mortality benefit and shorter time to recovery, respectively, were incorporated into clinical practice, as reflected by the significantly higher rates of use in the second wave. It is thus conceivable that the more prevalent use of evidence-based therapeutic regimens during the second wave of the pandemic was partially responsible for the significant improvement in patient outcomes.

Because the lungs are the main target organ of SARS-CoV-2 and given the high prevalence of acute respiratory distress syndrome (ARDS) in critically ill patients with COVID-19, the right ventricle (RV) is thought to be particularly susceptible to dysfunction following COVID-19 infection [28]. Szekely et al. showed that in 100 patients diagnosed with COVID-19 infection who had undergone TTE, RV dilatation and dysfunction were the most common echocardiographic findings, and that worsening RV function was the most common finding in patients with clinical deterioration [29]. Park et al. noted that multiple mechanisms can contribute to RV dysfunction in the setting of COVID-19 infection, including but not limited to direct myocardial damage by the SARS-CoV-2 virus, microvascular and macrovascular dysfunction associated with endothelitis, and inflammatory-related damage [30]. Li et al. found that RVGLS was the most predictive marker of mortality in patients with COVID-19 infection compared to other conventional RV parameters [28]. In light of the above, our finding that RVFWS and RVGLS were independently associated with all-cause mortality makes sense from a mechanistic standpoint and confirms the findings from the investigators above.

Moreover, we found that while LVEF was not significantly different between the first and second waves of patients admitted with acute COVID-19 infection, there were significant improvements in LVGLS, RVFWS, RVGLS, and RV basal diameters. One reason for this observation is that despite the first wave of patients having an overall higher level of acuity, there was a larger number of patients with hyperdynamic (defined as LVEF > 70%) LV function (25.7% vs. 10%). This can be explained by the hyperdynamic LV function that can occur secondary to septic physiology in patients with COVID-19, thus arguing against a direct relationship between LVEF and outcomes. Multiple previous studies have shown that LV longitudinal strain is a more sensitive marker in the detection of subtle derangements in LV function compared to LVEF and has incremental predictive value beyond LVEF [31,32,33,34,35,36], thus it is possible that the improvements observed in LVGLS in our patient population were more indicative of changes in underlying LV function than LVEF. In addition, Szekely et al. noted that derangements in biomarkers were predictive of LV dysfunction on echocardiogram, which could explain the differences in LVGLS observed between the first and second waves in our study [29]. Baycan et al. also showed that LVGLS was significantly impaired in both non-severe and severe COVID-19 patients compared to controls [37]. As noted above, given that COVID-19 primarily affects the respiratory system and subsequently the right ventricle, it is not surprising that in our patient population, the right-sided strain-based markers RVFWS and RVGLS were found to be independently associated with mortality, while LVEF and LVGLS were not.

Limitations

Our study is limited by being a single-center study of mostly African American patients admitted to an academic, tertiary care medical center on the south side of Chicago. Given the emergence of new viral variants worldwide as well as the rapid pace of the global vaccination effort, it is unclear whether the observations made in our patient population are generalizable to the global population of patients with acute COVID-19 infection. Additionally, it is important to note that echocardiograms performed during the first wave of the pandemic were performed with safety considerations in mind [38], and were thus often reserved for the sickest patients, which could explain some of the differences observed between the first and second waves in our study. Due to significant safety concerns at the onset of the COVID-19 pandemic, and during the first wave in particular, vital signs and diastolic function parameters were not routinely collected at the time of the echocardiogram. Another limitation is that due to the relatively small number of deaths in each wave, we were unable to identify a significant association between particular biomarkers (i.e. HS-troponin, NT-proBNP, etc.) and all-cause mortality, as has been previously reported [9, 11, 12]. Because our current study was a retrospective, observational study designed to highlight differences between the first and second waves of the COVID-19 pandemic, it did not have sufficient power to identify all clinical parameters associated with all-cause mortality, or to separate the mortality analysis by wave.

Conclusion

This study showed that in a predominantly African American patient population on the south side of Chicago, the clinical and echocardiographic features of patients hospitalized with acute COVID-19 infection demonstrated marked improvement from the first to the second wave of the pandemic, with a significant decrease in all-cause mortality. Possible explanations for this improvement include implementation of evidence-based therapies, changes in echocardiographic practices, and behavioral changes in our patient population. Mechanical ventilation and right-sided strain-based markers were independently associated with all-cause mortality.

References

  1. COVID-19 Surveillance Data. Cook County Department of Public Health

  2. Trick WE, Badri S, Doshi K et al (2021) Epidemiology of COVID-19 vs influenza: differential failure of COVID-19 mitigation among Hispanics, Cook County Health, Illinois. PLoS ONE 16:e0240202

    Article  CAS  Google Scholar 

  3. Pierce JB, Harrington K, McCabe ME et al (2021) Racial/ethnic minority and neighborhood disadvantage leads to disproportionate mortality burden and years of potential life lost due to COVID-19 in Chicago, Illinois. Health Place 68:102540

    Article  Google Scholar 

  4. Holmes L Jr, Enwere M, Williams J et al (2020) Black-White risk differentials in COVID-19 (SARS-COV2) transmission, mortality and case fatality in the United States: translational epidemiologic perspective and challenges. Int J Environ Res Public Health 17:8

    Google Scholar 

  5. Maroko AR, Nash D, Pavilonis BT (2020) COVID-19 and inequity: a comparative spatial analysis of New York City and Chicago Hot Spots. J Urban Health 97:461–470

    Article  Google Scholar 

  6. Kim SJ, Bostwick W (2020) Social vulnerability and racial inequality in COVID-19 deaths in Chicago. Health Educ Behav 47:509–513

    Article  Google Scholar 

  7. Uriel N, Sayer G, Clerkin KJ (2020) Myocardial injury in COVID-19 patients: the beginning or the end? J Am Coll Cardiol 76:547–549

    Article  CAS  Google Scholar 

  8. Navar AM. Impact of Cardiovascular Disease on Outcomes Among Hospitalized COVID-19 Patients: Results From >14,000 Patients Across the United States. Virtual AHA Scientific Sessions 2020.

  9. Lala A, Johnson KW, Januzzi JL et al (2020) Prevalence and Impact of Myocardial Injury in Patients Hospitalized With COVID-19 Infection. J Am Coll Cardiol 76:533–546

    Article  CAS  Google Scholar 

  10. Citro R, Pontone G, Bellino M et al (2021) Role of multimodality imaging in evaluation of cardiovascular involvement in COVID-19. Trends Cardiovasc Med 31:8–16

    Article  CAS  Google Scholar 

  11. Shi S, Qin M, Cai Y et al (2020) Characteristics and clinical significance of myocardial injury in patients with severe coronavirus disease 2019. Eur Heart J 41:2070–2079

    Article  CAS  Google Scholar 

  12. Shi S, Qin M, Shen B et al (2020) Association of Cardiac Injury With Mortality in Hospitalized Patients With COVID-19 in Wuhan. China JAMA Cardiol 5:802–810

    Article  Google Scholar 

  13. Horwitz LI, Jones SA, Cerfolio RJ et al. Trends in COVID-19 Risk-Adjusted Mortality Rates. J Hosp Med 2020.

  14. Lang RM, Badano LP, Mor-Avi V et al (2015) Recommendations for cardiac chamber quantification by echocardiography in adults: an update from the American Society of Echocardiography and the European Association of Cardiovascular Imaging. J Am Soc Echocardiogr 28:1–39 e14.

  15. Anaele BI, Doran C, McIntire R (2021) Visualizing COVID-19 mortality rates and African-American populations in the USA and Pennsylvania. J Racial Ethn Health Disparities

  16. Dong E, Du H, Gardner L (2020) An interactive web-based dashboard to track COVID-19 in real time. Lancet Infect Dis 20:533–534

    Article  CAS  Google Scholar 

  17. Zephyrin L (2020) COVID-19 more prevalent, Deadlier in U.S. Counties with higher Black populations. Commonwealth Fund

  18. Brandt EB, Beck AF, Mersha TB (2020) Air pollution, racial disparities, and COVID-19 mortality. J Allergy Clin Immunol 146:61–63

    Article  CAS  Google Scholar 

  19. Petersen R, Pan L, Blanck HM (2019) Racial and ethnic disparities in adult obesity in the United States: CDC’s tracking to inform state and local action. Prev Chronic Dis 16:E46

    Article  Google Scholar 

  20. Millett GA, Jones AT, Benkeser D et al (2020) Assessing differential impacts of COVID-19 on black communities. Ann Epidemiol 47:37–44

    Article  Google Scholar 

  21. Hawkins D (2020) Differential occupational risk for COVID-19 and other infection exposure according to race and ethnicity. Am J Ind Med 63:817–820

    Article  CAS  Google Scholar 

  22. Krouse HJ (2020) COVID-19 and the widening gap in health inequity. Otolaryngol Head Neck Surg 163:65–66

    Article  Google Scholar 

  23. Brooks JT, Butler JC (2021) Effectiveness of mask wearing to control community spread of SARS-CoV-2. JAMA 325:998–999

    Article  CAS  Google Scholar 

  24. Gandhi M, Beyrer C, Goosby E (2020) Masks do more than protect others during COVID-19: reducing the inoculum of SARS-CoV-2 to protect the wearer. J Gen Intern Med 35:3063–3066

    Article  Google Scholar 

  25. Clipman SJ, Wesolowski AP, Gibson DG et al (2020) Rapid real-time tracking of non-pharmaceutical interventions and their association with SARS-CoV-2 positivity: The COVID-19 Pandemic Pulse Study. Clin Infect Dis

  26. Group RC, Horby P, Lim WS et al (2021) Dexamethasone in hospitalized patients with Covid-19. N Engl J Med 384:693–704

    Article  Google Scholar 

  27. Beigel JH, Tomashek KM, Dodd LE et al (2020) Remdesivir for the treatment of Covid-19: final report. N Engl J Med 383:1813–1826

    Article  CAS  Google Scholar 

  28. Li Y, Li H, Zhu S et al (2020) Prognostic value of right ventricular longitudinal strain in patients with COVID-19. JACC Cardiovasc Imaging 13:2287–2299

    Article  Google Scholar 

  29. Szekely Y, Lichter Y, Taieb P et al (2020) Spectrum of cardiac manifestations in COVID-19: a systematic echocardiographic study. Circulation 142:342–353

    Article  CAS  Google Scholar 

  30. Park JF, Banerjee S, Umar S (2020) In the eye of the storm: the right ventricle in COVID-19. Pulm Circ 10:2045894020936660

    Article  CAS  Google Scholar 

  31. Zhang KW, French B, May Khan A et al (2014) Strain improves risk prediction beyond ejection fraction in chronic systolic heart failure. J Am Heart Assoc 3:000550

    Google Scholar 

  32. Mignot A, Donal E, Zaroui A et al (2010) Global longitudinal strain as a major predictor of cardiac events in patients with depressed left ventricular function: a multicenter study. J Am Soc Echocardiogr 23:1019–1024

    Article  Google Scholar 

  33. Stanton T, Leano R, Marwick TH (2009) Prediction of all-cause mortality from global longitudinal speckle strain: comparison with ejection fraction and wall motion scoring. Circ Cardiovasc Imaging 2:356–364

    Article  Google Scholar 

  34. Tops LF, Delgado V, Marsan NA, Bax JJ (2017) Myocardial strain to detect subtle left ventricular systolic dysfunction. Eur J Heart Fail 19:307–313

    Article  Google Scholar 

  35. Krishnasamy R, Isbel NM, Hawley CM et al (2014) The association between left ventricular global longitudinal strain, renal impairment and all-cause mortality. Nephrol Dial Transpl 29:1218–1225

    Article  CAS  Google Scholar 

  36. Orde S, Huang SJ, McLean AS (2016) Speckle tracking echocardiography in the critically ill: enticing research with minimal clinical practicality or the answer to non-invasive cardiac assessment? Anaesth Intensive Care 44:542–551

    Article  CAS  Google Scholar 

  37. Baycan OF, Barman HA, Atici A et al (2021) Evaluation of biventricular function in patients with COVID-19 using speckle tracking echocardiography. Int J Cardiovasc Imaging 37:135–144

    Article  Google Scholar 

  38. Kirkpatrick JN, Mitchell C, Taub C, Kort S, Hung J, Swaminathan M (2020) ASE statement on protection of patients and echocardiography service providers during the 2019 novel coronavirus outbreak: endorsed by the American College of Cardiology. J Am Soc Echocardiogr 33:648–653

    Article  Google Scholar 

Download references

Acknowledgments

Dr. Karagodin is supported by the NIH T32 Cardiovascular Sciences Training Grant (T32 HL007381, PI: Dr. James Liao). Dr. Singulane is supported by a research grant from the Brazilian Society of Cardiology, Department of Cardiovascular Imaging.

Funding

None.

Author information

Affiliations

Authors

Corresponding author

Correspondence to Roberto M. Lang.

Additional information

Publisher's Note

Springer Nature remains neutral with regard to jurisdictional claims in published maps and institutional affiliations.

Rights and permissions

Reprints and Permissions

About this article

Verify currency and authenticity via CrossMark

Cite this article

Karagodin, I., Singulane, C.C., Besser, S.A. et al. Comparison of clinical and echocardiographic features of first and second waves of COVID-19 at a large, tertiary medical center serving a predominantly African American patient population. Int J Cardiovasc Imaging 37, 3181–3190 (2021). https://doi.org/10.1007/s10554-021-02393-y

Download citation

  • Received:

  • Accepted:

  • Published:

  • Issue Date:

  • DOI: https://doi.org/10.1007/s10554-021-02393-y

Keywords

  • Echocardiography
  • COVID-19
  • Strain
  • Biomarkers
  • Mortality