Skip to main content

Comparative proteomics analysis of differentially expressed proteins in soybean cell wall during flooding stress

Abstract

Flooding is a major problem for soybean crop as it reduces the growth and grain yield. To investigate the function of the soybean cell wall in the response to flooding stress, cell wall proteins were analyzed. Cell wall proteins from roots and hypocotyls of soybeans, which were germinated for 2 days and subjected to 2 days of flooding, were purified, separated by two-dimensional polyacrylamide gel electrophoresis and stained with Coomassie brilliant blue. Sixteen out of 204 cell wall proteins showed responses to flooding stress. Of these, two lipoxygenases, four germin-like protein precursors, three stem 28/31 kDa glycoprotein precursors, and one superoxide dismutase [Cu–Zn] were downregulated. A copper amine oxidase was found to have shifted from the basic to acidic zone following flooding stress. Based on these results, it was confirmed by the lignin staining that the lignification was suppressed in the root of soybean under the flooding stress. These results suggest that the roots and hypocotyls of soybean caused the suppression of lignification through decrease of these proteins by downregulation of reactive oxygen species and jasmonate biosynthesis under flooding stress.

This is a preview of subscription content, access via your institution.

Fig. 1
Fig. 2
Fig. 3
Fig. 4
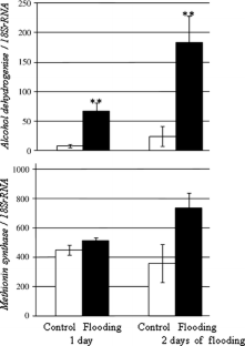
Fig. 5
Fig. 6

Abbreviations

2-DE:

Two-dimensional polyacrylamide gel electrophoresis

MS:

Mass spectrometry

CBB:

Coomassie brilliant blue

pI:

Isoelectric point

PMSF:

Phenylmethyl sulfonyl fluoride

PVP:

Polyvinylpolypyrrolidone

G6PDH:

Glucose-6-phosphate dehydrogenase

References

  • Allona I, Quinn M, Shoop E, Swope K, St Cyr S, Carlis J, Riedl J, Retzel E, Campbell MM, Sederoff R, Whetten RW (1998) Analysis of xylem formation in pine by cDNA sequencing. Proc Natl Acad Sci USA 95:9693–9698

    CAS  Article  PubMed  Google Scholar 

  • Armstrong W (1979) Aeration in higher plants. Adv Bot Res 7:225–232

    CAS  Article  Google Scholar 

  • Bailey-Serres J, Voesenek LACJ (2008) Flooding stress: acclimations and genetic diversity. Ann Rev Plant Biol 16:313–339

    Article  Google Scholar 

  • Baxter-Burrell A, Yang Z, Springer PS, Bailey-Serres J (2002) RopGAP4-dependent Rop GTPase rheostat control of Arabidopsis oxygen deprivation tolerance. Science 296:2026–2028

    CAS  Article  PubMed  Google Scholar 

  • Bayer EM, Bottrill AR, Walshaw J, Vigouroux M, Naldrett MJ, Thomas CL, Maule AJ (2006) Arabidopsis cell wall proteome defined using multidimensional protein identification technology. Proteomics 6:301–311

    CAS  Article  PubMed  Google Scholar 

  • Bevan M, Bancroft I, Bent E et al (1998) Analysis of 1.9 Mb of contiguous sequence from chromosome 4 of Arabidopsis thaliana. Nature 391:485–488

    CAS  Article  PubMed  Google Scholar 

  • Bhushan D, Pandey A, Chattopadhyay A, Choudhary MK, Chakraborty S, Datta A, Chakraborty N (2006) Lular matrix proteome of chickpea (Cicer arietinum L.) illustrates pathway abundance, novel protein functions and evolutionary perspect. J Proteome Res 5:1711–1720

    CAS  Article  PubMed  Google Scholar 

  • Bhushan D, Pandey A, Choudhary MK, Datta A, Chakraborty S, Chakraborty N (2007) Comparative proteomics analysis of differentially expressed proteins in chickpea extracellular matrix during dehydration stress. Mol Cell Proteomics 6:1868–1884

    CAS  Article  PubMed  Google Scholar 

  • Bradford MM (1976) A rapid and sensitive method for the quantitation of microgram quantities of protein utilizing the principle of protein-dye binding. Anal Biochem 72:248–254

    CAS  Article  PubMed  Google Scholar 

  • Cho WK, Chen XY, Chu H, Rim Y, Kim S, Kim ST, Kim SW, Park Z-Y, Kim J-Y (2009) Proteomic analysis of the secretome of rice calli. Physiol Plant 135:331–341

    CAS  Article  PubMed  Google Scholar 

  • Creelman RA, Tierney ML, Mullet JE (1992) Jasmonic acid, ethyl jasmonate accumulate in wounded soybean hypocotyls and modulate wound gene expression. Proc Natl Acad Sci USA 89:4938–4941

    CAS  Article  PubMed  Google Scholar 

  • Darley CP, Forrecster AM, McQueen-Mason SJ (2001) The molecular basis of plant cell wall extension. Plant Mol Biol 47:179–195

    CAS  Article  PubMed  Google Scholar 

  • Domon JM, Dumas B, Lain E, Meyer Y, David A, David H (1995) Three glycosylated polypeptides secreted by several embryogenic cell cultures of pine show highly specific serological affinity to antibodies directed against the wheat germin apoprotein monomer. Plant Physiol 108:141–148

    CAS  Article  PubMed  Google Scholar 

  • Dordas C, Hasinoff BB, Rivoal J, Hill RD (2004) Class-1 hemoglobins, nitrate and NO levels in anoxic maize cell-suspension cultures. Planta 219:66–72

    CAS  Article  PubMed  Google Scholar 

  • Dunwell JM, Khuri S, Gane PJ (2000) Microbial relatives of the seed storage proteins of higher plants: conservation of structure and diversification of function during evolution of the cupin superfamily. Microbiol Mol Biol Rev 64:153–179

    CAS  Article  PubMed  Google Scholar 

  • Feiz L, Irshad M, Pont-Lezica RF, Canut H, Jamet E (2006) Evaluation of cell wall preparation for proteomics: a new procedure for purifying cell walls from Arabidopsis hypocotyls. Plant Methods 2:10

    Article  PubMed  Google Scholar 

  • Fry SC (1998) Oxidative scission of plant cell wall polysaccharides by ascorbate-induced hydroxyl radicals. Biochem J 332:507–515

    CAS  PubMed  Google Scholar 

  • Fry SC, Miller J, Dumville J (2002) A proposed role for copper ions in cell wall loosening. Plant Soil 247:57–67

    CAS  Article  Google Scholar 

  • Gong Z, Koiwa H, Cushman MA, Ray A, Bufford D, Kore-eda S, Matsumoto TK, Zhu J, Cushman JC, Bressan RA, Hasegawa PM (2001) Genes that are uniquely stress regulated in salt overly sensitive (sos) mutants. Plant Physiol 126:363–375

    CAS  Article  PubMed  Google Scholar 

  • Hashiguchi A, Sakata K, Komatsu S (2009) Proteome analysis of early-stage soybean seedlings under flooding stress. J Proteome Res 8:2058–2069

    CAS  Article  PubMed  Google Scholar 

  • Honjoh K, Mimura A, Kuroiwa E, Hagisako T, Suga K, Shimizu H, Dubey RS, Miyamoto T, Hatano S, Iio M (2003) Purification and characterization of two isoforms of glucose 6-phosphate dehydrogenase from Chlorella vulgaris C-27. Biosci Biotech Biochem 67:1888–1896

    CAS  Article  Google Scholar 

  • Ithal N, Recknor J, Nettleton D, Maier T, Baum TJ, Mitchum MG (2007) Developmental transcript profiling of cyst nematode feeding cells in soybean roots. Mol Plant Microbe Interact 20:510–525

    CAS  Article  PubMed  Google Scholar 

  • Jackson MB, Colmer TD (2005) Response and adaptation by plants to flooding stress. Ann Bot 96:501–505

    CAS  Article  PubMed  Google Scholar 

  • Jamet E, Canut H, Boudart G, Pont-Lezica R (2006) Cell wall proteins: a new insight through proteomics. Trends Plant Sci 11:33–39

    CAS  Article  PubMed  Google Scholar 

  • Jamet E, Albenne C, Boudart G, Irshad M, Canut H, Pont-Lezica R (2008) Recent advances in plant cell wall proteomics. Proteomics 8:893–908

    CAS  Article  PubMed  Google Scholar 

  • Jung YH, Jeong SH, Kim SH, Singh R, Lee JE, Cho YS, Agrawal GK, Rakwal R, Jwa NS (2008) Systematic secretome analyses of rice leaf and seed callus suspension-cultured cells: workflow development and establishment of high-density two-dimensional gel reference maps. J Proteome Res 7:5187–5210

    CAS  Article  PubMed  Google Scholar 

  • Karlsson M, Melzer M, Prokhorenko I, Johansson T, Wingsle G (2005) Hydrogen peroxide and expression of hipI-superoxide dismutase are associated with the development of secondary cell walls in Zinnia elegans. J Exp Bot 56:2085–2093

    CAS  Article  PubMed  Google Scholar 

  • Ke Y, Han G, He H, Li J (2009) Differential regulation of proteins and phosphoproteins in rice under drought stress. Biochem Biophys Res Commun 379:133–138

    CAS  Article  PubMed  Google Scholar 

  • Kim HJ, Kato N, Kim S, Triplett B (2008) Cu/Zn superoxide dismutases in developing cotton fibers: evidence for an extracellular form. Planta 228:281–292

    CAS  Article  PubMed  Google Scholar 

  • Komatsu S, Karibe H, Masuda T (1997) Effect of abscisic acid on phosphatidylserine-sensitive calcium dependent protein kinase activity and protein phosphorylation in rice. Biosci Biotech Biochem 61:418–423

    CAS  Article  Google Scholar 

  • Komatsu S, Yamamoto R, Nanjo Y, Mikami Y, Yunokawa H, Sakata K (2009a) A comprehensive analysis of the soybean genes and proteins expressed under flooding stress using transcriptome and proteome techniques. J Proteome Res 8:4766–4778

    CAS  Article  PubMed  Google Scholar 

  • Komatsu S, Wada T, Yann A, Nouri MZ, Nanjo Y, Nakayama N, Shimamura S, Yamamoto R, Nakamura T, Furukawa K (2009b) Analysis of plasma membrane proteome in soybean and application to flooding stress response. J Proteome Res 8:4487–4499

    CAS  Article  PubMed  Google Scholar 

  • Komatsu S, Sugimoto T, Hoshino T, Nanjo Y, Furukawa K (2010) Identification of flooding stress responsible cascades in root and hypocotyls of soybean using proteome analysis. Amino Acids 38:729–738

    CAS  Article  PubMed  Google Scholar 

  • Kong FJ, Oyanagi A, Komatsu S (2010) Cell wall proteome of wheat roots under flooding stress using gel-based and LC MS/MS-based proteomics approaches. Biochim Biophys Acta 1804:124–136

    CAS  PubMed  Google Scholar 

  • Kwon HK, Yokoyama R, Nishitani K (2005) A proteomic approach to apoplastic proteins involved in cell wall regeneration in protoplasts of Arabidopsis suspension-cultured cell. Plant Cell Physiol 46:843–857

    CAS  Article  PubMed  Google Scholar 

  • Li ZC, McClure JW, Hagerman AE (1989) Soluble and bound apoplastic activity for peroxidase, beta-d-glucosidase, malate dehydrogenase, and nonspecific arylesterase, in barley (Hordeum vulgare L.) and oat (Avena sativa L.) primary leaves. Plant Physiol 90:185–190

    CAS  Article  PubMed  Google Scholar 

  • Liu F, Vantoai T, Moy L, Bock G, Linford LD, Quackenbush J (2005) Global transcription profiling reveals novel insights into hypoxic response in Arabidopsis. Plant Physiol 137:1115–1129

    CAS  Article  PubMed  Google Scholar 

  • Mattana M, Coraggio I, Bertani A, Reggiani R (1994) Expression of the enzymes of nitrate reduction during the anaerobic germination of rice. Plant Physiol 106:1605–1608

    CAS  PubMed  Google Scholar 

  • Millar DJ, Whitelegge JP, Bindschedler LV, Rayon C, Boudet AM, Rossignol M, Borderies G, Bolwell GP (2009) The cell wall and secretory proteome of a tobacco cell line synthesising secondary wall. Proteomics 9:2355–2372

    CAS  Article  PubMed  Google Scholar 

  • Minic Z, Jamet E, Négroni L, Arsene der Garabedian P, Zivy M, Jouanin L (2007) A sub-proteome of Arabidopsis thaliana mature stems trapped on Concanavalin A is enriched in cell wall glycoside hydrolases. J Exp Bot 58:2503–2512

    CAS  Article  PubMed  Google Scholar 

  • Navrot N, Collin V, Gualberto J, Gelhaye E, Hirasawa M, Rey P, Knaff DB, Issakidis E, Jacquot JP, Rouhier N (2006) Plant glutathione peroxidase are functional peroxiredixins distributed in several subcellular compartments and regulated during biotic and abiotic stresses. Plant Physiol 142:1364–1379

    CAS  Article  PubMed  Google Scholar 

  • Noordermeer MA, Veldink GA, Vliegenthart JF (2001) Fatty acid hydroperoxide lyase: a plant cytochrome p450 enzyme involved in wound healing and pest resistance. Chembiochem 2:494–504

    CAS  Article  PubMed  Google Scholar 

  • O’Farrell PH (1975) High resolution two-dimensional electrophoresis of protein. J Biol Chem 250:4007–4021

    PubMed  Google Scholar 

  • Ogawa K, Kanematsu S, Asada K (1997) Generation of superoxide anion and localization of CuZn-superoxide dismutase in the vascular tissue of spinach hypocotyls: their association with lignification. Plant Cell Physiol 38:1118–1126

    CAS  PubMed  Google Scholar 

  • Pavelic D, Arpagaus S, Rawyler A, Brandle R (2000) Impact of post-anoxia stress on membrane lipids of anoxia-pretreated potato cells. A re-appraisal. Plant Physiol 124:1285–1292

    CAS  Article  PubMed  Google Scholar 

  • Ravanel S, Gakiere B, Job D, Douce R (1998) The specific features of methionine biosynthesis and metabolism in plants. Proc Natl Acad Sci USA 95:7805–7812

    CAS  Article  PubMed  Google Scholar 

  • Rea G, de Pinto MC, Tavazza R, Biondi S, Gobbi V, Ferrante P, De Gara L, Federico R, Angelini R, Tavladoraki P (2004) Ectopic expression of maize polyamine oxidase and pea copper amine oxidase in the cell wall of tobacco plants. Plant Physiol 134:1414–1426

    CAS  Article  PubMed  Google Scholar 

  • Reggiani R (2006) A role for ethylene in low-oxygen signaling in rice roots. Amino Acids 30:299–301

    CAS  Article  PubMed  Google Scholar 

  • Rozen S, Skaletsky H (2000) Primer3 on the WWW for general users and for biologist programmers. Method Mol Biol 132:365–386

    CAS  Google Scholar 

  • Saab IN, Sachs MM (1996) A flooding-induced xyloglucan endo-transglycosylase homolog in maize is responsive to ethylene and associated with aerenchyma. Plant Physiol 112:385–391

    CAS  Article  PubMed  Google Scholar 

  • Shi F, Yamamoto R, Shimamura S, Hiraga S, Nakayama N, Nakamura T, Yukawa K, Hachinohe M, Matsumoto H, Komatsu S (2008) Cytosolic ascorbate peroxidase 2 (cAPX 2) is involved in the soybean response to flooding. Phytochemistry 69:1295–1303

    CAS  Article  PubMed  Google Scholar 

  • Shibaoka H, Nagai R (1994) The plant cytoskeleton. Curr Opin Cell Biol 6:10–15

    CAS  Article  PubMed  Google Scholar 

  • Simone OD, Haase K, Muller E, Junk WJ, Hartmann K, Schreiber L, Schmidt W (2003) Apoplasmic barriers and oxygen transport properties of hypodermal cell walls in roots from four Amazonian tree species. Plant Physiol 132:206–217

    Article  PubMed  Google Scholar 

  • Soares NC, Francisco R, Vielba JM, Ricardo CP, Jackson PA (2009) Associating wound-related changes in the apoplast proteome of Medicago with early steps in the ROS signal-transduction pathway. J Proteome Res 8:2298–2309

    CAS  Article  PubMed  Google Scholar 

  • Somerville C, Bauer S, Brininstool G, Facette M, Hamann T, Milne J, Osborne E, Paredez A, Persson S, Raab T, Vorwerk S, Youngs H (2004) Toward a systems approach to understanding plant cell walls. Science 306:2206–2211

    CAS  Article  PubMed  Google Scholar 

  • Speer EO (1987) A method of retaining phloroglucinol proof lignin. Stain Technol 62:279–280

    CAS  PubMed  Google Scholar 

  • Sperry JS (2003) Evolution of water transport and xylem structure. Int J Plant Sci 164:115–127

    Article  Google Scholar 

  • Staswick PE (1988) Soybean vegetative storage protein structure and gene expression. Plant Physiol 87:250–254

    CAS  Article  PubMed  Google Scholar 

  • Voesenek LA, Colmer TD, Pierik R, Millenaar FF, Peeters AJ (2006) How plants cope with complete submergence. New Phytol 170:213–226

    CAS  Article  PubMed  Google Scholar 

  • Wang K, Jiang Y (2007) Antioxidant responses of creeping bent-grass roots to water-logging. Crop Sci 47:232–238

    CAS  Article  Google Scholar 

  • Wang S-B, Chen F, Sommerfeld M, Hu Q (2005) Isolation and proteomic analysis of cell wall-deficient Haematococcus pluvialis mutants. Proteomics 5:4839–4851

    CAS  Article  PubMed  Google Scholar 

  • Watson BS, Lei Z, Dixon RA, Sumner LW (2004) Proteomics of Medicago sativa cell walls. Phytochemistry 65:1709–1720

    CAS  Article  PubMed  Google Scholar 

  • Yoda H, Yamaguchi Y, Sano H (2003) Induction of hypersensitive cell death by hydrogen peroxide produced through polyamine degradation in tobacco plants. Plant Physiol 132:1973–2981

    CAS  Article  PubMed  Google Scholar 

  • Zhong Z, Karibe H, Komatsu S, Ichimura H, Nagamura Y, Sasaki T, Hirano H (1997) Screening of rice genes from a cDNA catalog based on the sequence data-file of proteins separated by two-dimensional electrophoresis. Breed Sci 47:245–251

    CAS  Google Scholar 

  • Zhu J, Chen S, Alvarez S, Asirvatham VS, Schachtman DP, Wu Y, Sharp R (2006) Cell wall proteome in the maize primary root elongation zone. I. Extraction and identification of water-soluble and lightly ionically bound proteins. Plant Physiol 140:311–325

    CAS  Article  PubMed  Google Scholar 

Download references

Acknowledgments

We thank Mr. M. Z. Nouri and Dr. F.-J. Kong for their experimental help. We also thank Dr. S. Shimamura and T. Nakamura for their valuable discussion. This work was supported by a Grant-in-Aid for Scientific Research (B) (19380015) of the Japan Society for the Promotion of Science.

Author information

Affiliations

Authors

Corresponding author

Correspondence to Setsuko Komatsu.

Additional information

S. Komatsu and Y. Kobayashi contributed equally to the present study.

Electronic supplementary material

Below is the link to the electronic supplementary material.

Supplementary material 1 (DOC 283 kb)

Rights and permissions

Reprints and Permissions

About this article

Cite this article

Komatsu, S., Kobayashi, Y., Nishizawa, K. et al. Comparative proteomics analysis of differentially expressed proteins in soybean cell wall during flooding stress. Amino Acids 39, 1435–1449 (2010). https://doi.org/10.1007/s00726-010-0608-1

Download citation

  • Received:

  • Accepted:

  • Published:

  • Issue Date:

  • DOI: https://doi.org/10.1007/s00726-010-0608-1

Keywords

  • Cell wall
  • Flooding
  • Lignification
  • Proteome
  • Soybean