Abstract
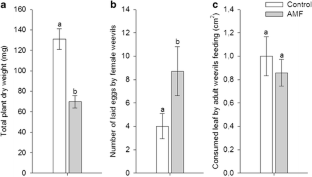
Root-feeding insects are important drivers in ecosystems, and links between aboveground oviposition preference and belowground larval performance have been suggested. The root-colonizing arbuscular mycorrhizal fungi (AMF) play a central role in plant nutrition and are known to change host quality for root-feeding insects. However, it is not known if and how AMF affect the aboveground oviposition of insects whose offspring feed on roots. According to the preference–performance hypothesis, insect herbivores oviposit on plants that will maximize offspring performance. In a greenhouse experiment with rice (Oryza sativa), we investigated the effects of AMF (Glomus intraradices) on aboveground oviposition of rice water weevil (Lissorhoptrus oryzophilus), the larvae of which feed belowground on the roots. Oviposition (i.e., the numbers of eggs laid by weevil females in leaf sheaths) was enhanced when the plants were colonized by AMF. However, the leaf area consumed by adult weevils was not affected. Although AMF reduced plant biomass, it increased nitrogen (N) and phosphorus concentrations in leaves and N in roots. The results suggest that rice water weevil females are able to discriminate plants for oviposition depending on their mycorrhizal status. The discrimination is probably related to AMF-mediated changes in plant quality, i.e., the females choose to oviposit more on plants with higher nutrient concentrations to potentially optimize offspring performance. AMF-mediated change in plant host choice for chewing insect oviposition is a novel aspect of below- and aboveground interactions.
This is a preview of subscription content, access via your institution.

References
Awmack CS, Leather SR (2002) Host plant quality and fecundity in herbivorous insects. Annu Rev Entomol 47:817–844
Bezemer TM, Wagenaar R, Van Dam NM, Wäckers FL (2003) Interactions between above- and belowground insect herbivores as mediated by the plant defense system. Oikos 101(3):555–562
Brown VK, Gange AC (1990) Insect herbivory below ground. Adv Ecol Res 20:1–58
Campos-Soriano L, García-Garrido JM, Segundo BS (2010) Activation of basal defense mechanisms of rice plants by Glomus intraradices does not affect the arbuscular mycorrhizal symbiosis. New Phytol 188(2):597–614
Chapman HD, Prat PF (1961) Methods of analysis for soils, plants and water. University of California, Berkeley
Currie AF, Murray PJ, Gange AC (2011) Is a specialist root-feeding insect affected by arbuscular mycorrhizal fungi? Appl Soil Ecol 47(2):77–83
Dhillion SS (1992) Host-endophyte specificity of vesicular-arbuscular mycorrhizal colonization of Oryza sativa L. at the pre-transplant stage in low or high phosphorus soil. Soil Biol Biochem 24(5):405–411
Dhillion SS, Ampornpan L-A (1992) The influence of inorganic nutrient fertilization on the growth, nutrient composition and vesicular-arbuscular mycorrhizal colonization of pretransplant rice (Oryza sativa L.) plants. Biol Fertil Soils 13(2):85–91
Gange AC (2001) Species-specific responses of a root- and shoot-feeding insect to arbuscular mycorrhizal colonization of its host plant. New Phytol 150(3):611–618
Gripenberg S, Mayhew PJ, Parnell M, Roslin T (2010) A meta-analysis of preference–performance relationships in phytophagous insects. Ecol Lett 13(3):383–393
Gutjahr C, Casieri L, Paszkowski U (2009) Glomus intraradices induces changes in root system architecture of rice independently of common symbiosis signaling. New Phytol 182(4):829–837
Hamm JC, Stout MJ, Riggio RM (2010) Herbivore- and elicitor-induced resistance in rice to the rice water weevil (Lissorhoptrus oryzophilus Kuschel) in the laboratory and field. J Chem Ecol 36(2):192–199
Hart MM, Reader RJ (2002) Taxonomic basis for variation in the colonization strategy of arbuscular mycorrhizal fungi. New Phytol 153(2):335–344
Herms DA, Mattson WJ (1992) The dilemma of plants: to grow or defend. Q Rev Biol 67(3):283–335
Hix RL, Johnson DT, Bernhardt JL (2000) Swimming behavior of an aquatic weevil, Lissorhoptrus oryzophilus (Coleoptera: Curculionidae). Florida Entomologist 83(3):316–324
Jaenike J (1978) On optimal oviposition behavior in phytophagous insects. Theor Popul Biol 14(3):350–356
Jiang M, Way M, Du X, Ji X, He Y (2008) Reproductive biology of summer/fall populations of rice water weevil, Lissorhoptrus oryzophilus Kuschel, in Southeastern Texas. Southwestern Entomologist 33(2):129–137
Johnson SN, Birch ANE, Gregory PJ, Murray PJ (2006) The “mother knows best” principle: should soil insects be included in the preference–performance debate? Ecol Entomol 31(4):395–401
Klironomos JN (2000) Host-specificity and functional diversity among arbuscular mycorrhizal fungi. Paper presented at the Microbial biosystems: new frontiers. Proceedings of the Eighth International Symposium on Microbial Ecology, Halifax, Canada
Klironomos JN (2003) Variation in plant response to native and exotic arbuscular mycorrhizal fungi. Ecology 84(9):2292–2301
Koide RT, Li M (1989) Appropriate controls for vesicular–arbuscular mycorrhiza research. New Phytol 111(1):35–44
Leitner M, Kaiser R, Hause B, Boland W, Mithofer A (2010) Does mycorrhization influence herbivore-induced volatile emission in Medicago truncatula? Mycorrhiza 20(2):89–101
Lupi D, Cenghialta C, Colombo M (2009) Adult feeding by the rice water weevil Lissorhoptrus oryzophilus on different host plants. B Insectol 62(2):229–236
McGonigle TP, Miller MH, Evans DG, Fairchild GL, Swan JA (1990) A new method which gives an objective measure of colonization of roots by vesicular—arbuscular mycorrhizal fungi. New Phytol 115(3):495–501
Ndiege IO, Budenberg WJ, Otieno DO, Hassanali A (1996) 1,8-Cineole: an attractant for the banana weevil, Cosmopolites sordidus. Phytochemistry 42(2):369–371
Pathak MD, Khan ZR (1994) Insect pests of rice. International Rice Research Institute, Manila
Perez AL, Campos Y, Chinchilla CM, Oehlschlager AC, Gries G, Gries R, Giblin-Davis RM, Castrillo G, Peña JE, Duncan RE, Gonzalez LM, Pierce HD, McDonald R, Andrade R (1997) Aggregation pheromones and host kairomones of West Indian sugarcane weevil, Metamasius hemipterus sericeus. J Chem Ecol 23(4):869–888
Rillig MC (2004) Arbuscular mycorrhizae and terrestrial ecosystem processes. Ecol Lett 7(8):740–754
Rillig MC, Allen MF, Klironomos JN, Chiariello NR, Field CB (1998) Plant species-specific changes in root-inhabiting fungi in a California annual grassland: responses to elevated CO2 and nutrients. Oecologia 113(2):252–259
Secilia J, Bagyaraj DJ (1994) Evaluation and first-year field testing of efficient vesicular arbuscular mycorrhizal fungi for inoculation of wetland rice seedlings. World J Microb Biot 10(4):381–384
Smith SE, Read DJ (2008) Mycorrhizal symbiosis, 3rd edn. Academic, London
Solaiman MZ, Hirata H (1995) Effects of indigenous arbuscular mycorrhizal fungi in paddy fields on rice growth and N, P, K nutrition under different water regimes. Soil Sci Plant Nutr 41(3):505–514
Soler R, Bezemer T, Cortesero A, Van der Putten W, Vet L, Harvey J (2007) Impact of foliar herbivory on the development of a root-feeding insect and its parasitoid. Oecologia 152(2):257–264
Soler R, Schaper SV, Bezemer TM, Cortesero AM, Hoffmeister TS, Van Der Putten WH, Vet LEM, Harvey JA (2009) Influence of presence and spatial arrangement of belowground insects on host-plant selection of aboveground insects: a field study. Ecol Entomol 34(3):339–345
Soler R, Harvey JA, Rouchet R, Schaper SV, Martijn Bezemer T (2010) Impacts of belowground herbivory on oviposition decisions in two congeneric butterfly species. Entomol Exp Appl 136(2):191–198
Städler E (2002) Plant chemical cues important for egg deposition by herbivorous insects. In: Hilker M, Meiners T (eds) Chemoecology of insect eggs and egg deposition, 1st edn. Blackwell Publishing, Berlin, pp 171–204
Stout MJ, Riggio MR (2002) Variation in susceptibility of rice lines to infestation by the rice water weevil (Coleoptera: Curculionidae). J Agr Urban Entomol 19(4):205–216
Stout MJ, Riggio MR, Zou L, Roberts R (2002) Flooding influences ovipositional and feeding behavior of the rice water weevil (Coleoptera: Curculionidae). J Econ Entomol 95(4):715–721
Sun XL, Wang GC, Cai XM, Jin S, Gao Y, Chen ZM (2010) The tea weevil, Myllocerinus aurolineatus, is attracted to volatiles induced by conspecifics. J Chem Ecol 36(4):388–395
Tindall KV, Stout MJ (2003) Use of common weeds of rice as hosts for the rice water weevil (Coleoptera: Curculionidae). Environ Entomol 32(5):1227–1233
Wakefield ME, Bryning GP, Chambers J (2005) Progress towards a lure to attract three stored product weevils, Sitophilus zeamais Motschulsky, S. oryzae (L.) and S. granarius (L.) (Coleoptera: Curculionidae). J Stored Prod Res 41(2):145–161
Wang Y, Kays SJ (2002) Sweetpotato volatile chemistry in relation to sweetpotato weevil (Cylas formicarius) behavior. J Am Soc Hortic Sci 127(4):656–662
Wardle DA, Bardgett RD, Klironomos JN, Setälä H, van der Putten WH, Wall DH (2004) Ecological linkages between aboveground and belowground biota. Science 304(5677):1629–1633
Wolfe BE, Mummey DL, Rillig MC, Klironomos JN (2007) Small-scale spatial heterogeneity of arbuscular mycorrhizal fungal abundance and community composition in a wetland plant community. Mycorrhiza 17(3):175–183
Wurst S, Jones TH (2003) Indirect effects of earthworms (Aporrectodea caliginosa) on an above-ground tritrophic interaction. Pedobiologia 47(1):91–97
Wurst S, Forstreuter M (2010) Colonization of Tanacetum vulgare by aphids is reduced by earthworms. Entomol Exp Appl 137(1):86–92
Wurst S, Dugassa-Gobena D, Langel R, Bonkowski M, Scheu S (2004) Combined effects of earthworms and vesicular-arbuscular mycorrhizas on plant and aphid performance. New Phytol 163(1):169–176
Yuan JS, Kollner TG, Wiggins G, Grant J, Degenhardt J, Chen F (2008) Molecular and genomic basis of volatile-mediated indirect defense against insects in rice. Plant J 55(3):491–503
Acknowledgments
This work was financed by the Dahlem Centre of Plant Sciences, Freie Universität Berlin. The authors would like to express their gratitude to Dr. Claus-Peter Witte for the provided rice seeds and greenhouse facilities, to Prof. Matthias Rillig for laboratory facilities, and to Dr. Tancredi Caruso for helpful comments.
Author information
Authors and Affiliations
Corresponding author
Rights and permissions
About this article
Cite this article
Cosme, M., Stout, M.J. & Wurst, S. Effect of arbuscular mycorrhizal fungi (Glomus intraradices) on the oviposition of rice water weevil (Lissorhoptrus oryzophilus). Mycorrhiza 21, 651–658 (2011). https://doi.org/10.1007/s00572-011-0399-6
Received:
Accepted:
Published:
Issue Date:
DOI: https://doi.org/10.1007/s00572-011-0399-6
Keywords
- Arbuscular mycorrhizal fungi (AMF)
- Insect root herbivore
- Oviposition
- Preference–performance hypothesis
- Rice
- Above- and belowground interactions