Skip to main content

Feeding strategies to optimize vanillin production by Amycolatopsis sp. ATCC 39116

Abstract

The growing consumer demand for natural products led to an increasing interest in vanillin production by biotechnological routes. In this work, the biotechnological vanillin production by Amycolatopsis sp. ATCC 39116 is studied using ferulic acid as precursor, aiming to achieve maximized vanillin productivities. During biotech-vanillin production, the effects of glucose, vanillin and ferulic acid concentrations in the broth proved to be relevant for vanillin productivity. Concerning glucose, its presence in the broth during the production phase avoids vanillin conversion to vanillic acid and, consequently, increases vanillin production. To avoid the accumulation of vanillin up to a toxic concentration level, a multiple-pulse-feeding strategy is implemented, with intercalated vanillin removal from the broth and biomass recovery. This strategy turned out fruitful, leading to 0.46 g L−1 h−1 volumetric productivity of vanillin of and a production yield of 0.69 gvanillin gferulic acid−1, which are among the highest values reported in the literature for non-modified bacteria.

This is a preview of subscription content, access via your institution.

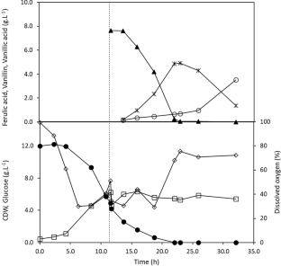
Fig. 1
Fig. 2
Fig. 3

References

  1. Ma XK, Daugulis AJ (2014a) Effect of bioconversion conditions on vanillin production by Amycolatopsis sp. ATCC 39116 through an analysis of competing by-product formation. Bioprocess Biosyst Eng 37:891–899. https://doi.org/10.1007/s00449-013-1060-x

    CAS  Article  PubMed  Google Scholar 

  2. Fache M, Boutevin B, Caillol S (2016) Vanillin production from lignin and its use as a renewable chemical. ACS Sustain Chem Eng 4:35–46. https://doi.org/10.1021/acssuschemeng.5b01344

    CAS  Article  Google Scholar 

  3. Evstigneyev EI, Shevchenko SM (2020) Lignin valorization and cleavage of arylether bonds in chemical processing of wood: a mini-review. Wood Sci Technol 54:787–820. https://doi.org/10.1007/s00226-020-01183-4

    CAS  Article  Google Scholar 

  4. Bomgardner MM (2016) The problem with vanilla. After vowing to go natural, food brands face a shortage of the favored flavor. Chem Eng News 94(36):38–42

    Article  Google Scholar 

  5. Gallage NJ, Møller BL (2015) Vanillin-bioconversion and bioengineering of the most popular plant flavor and its de novo biosynthesis in the vanilla orchid. Mol Plant 8:40–57. https://doi.org/10.1016/j.molp.2014.11.008

    CAS  Article  Google Scholar 

  6. FDA (2020) U.S. Food and Drug Administration, Food Additive Status List. http://www.fda.gov/food/ingredientspackaginglabeling/foodadditivesingredients/ucm091048.htm#ftnE. Accessed 5 Feb 2020

  7. EUROPEAN_COMMISSION (2008) Regulation (EC) No 1334/2008 of European Parliament and of the council. Off J Eur Union, pp 34–50

  8. Krings U, Berger RG (1998) Biotechnological production of flavours and fragrances. Appl Microbiol Biotechnol 49:1–8. https://doi.org/10.1007/s002530051129

    CAS  Article  PubMed  Google Scholar 

  9. Priefert H, Rabenshorst J, Steinbuchel A (2001) Biotechnological production of vanillin. Appl Microbiol Biotechnol 56:296–314. https://doi.org/10.1007/s002530100687

    CAS  Article  PubMed  Google Scholar 

  10. Buranov AU, Mazza G (2009) Extraction and purification of ferulic acid from flax shives, wheat and corn bran by alkaline hydrolysis and pressurised solvents. Food Chem 115:1542–1548. https://doi.org/10.1016/j.foodchem.2009.01.059

    CAS  Article  Google Scholar 

  11. Gong YY, Yin X, Zhang HM et al (2013) Effect of bioconversion conditions on vanillin production by Amycolatopsis sp. ATCC 39116 through an analysis of competing by-product formation. J Ind Microbiol Biotechnol 40:1433–1441. https://doi.org/10.1007/s10295-013-1339-6

    CAS  Article  PubMed  Google Scholar 

  12. Bonnin E, Saulnier L, Brunel M et al (2002) Release of ferulic acid from agroindustrial by-products by the cell wall-degrading enzymes produced by Aspergillus niger I-1472. Enzym Microb Technol 31:1000–1005. https://doi.org/10.1016/S0141-0229(02)00236-3

    CAS  Article  Google Scholar 

  13. Gadalkar SM, Rathod VK (2017) Pre-treatment of ferulic acid esterases immobilized on MNPs to enhance the extraction of ferulic acid from defatted rice bran in presence of ultrasound. Biocatal Agric Biotechnol 10:342–351. https://doi.org/10.1016/j.bcab.2017.03.016

    Article  Google Scholar 

  14. Yu P, Maenz DD, McKinnon JJ et al (2002) Release of ferulic acid from oat hulls by Aspergillus ferulic acid esterase and Trichoderma xylanase. J Agric Food Chem 50:1625–1630. https://doi.org/10.1021/jf010984r

    CAS  Article  PubMed  Google Scholar 

  15. Long L, Ding D, Han Z et al (2016) Thermotolerant hemicellulolytic and cellulolytic enzymes from Eupenicillium parvum 4–14 display high efficiency upon release of ferulic acid from wheat bran. J Appl Microbiol 121:422–434. https://doi.org/10.1111/jam.13177

    CAS  Article  PubMed  Google Scholar 

  16. Xu F, Sun RC, Sun JX et al (2005) Determination of cell wall ferulic and p-coumaric acids in sugarcane bagasse. Anal Chim Acta 552:207–217. https://doi.org/10.1016/j.aca.2005.07.037

    CAS  Article  Google Scholar 

  17. Torre P, Aliakbarian B, Rivas B et al (2008) Release of ferulic acid from corn cobs by alkaline hydrolysis. Biochem Eng J 40:500–506. https://doi.org/10.1016/j.bej.2008.02.005

    CAS  Article  Google Scholar 

  18. Plaggenborg R, Overhage J, Steinbüchel A, Priefert H (2003) Functional analyses of genes involved in the metabolism of ferulic acid in Pseudomonas putida KT2440. Appl Microbiol Biotechnol 61:528–535. https://doi.org/10.1007/s00253-003-1260-4

    CAS  Article  PubMed  Google Scholar 

  19. Ghosh S, Sachan A, Sen SK, Mitra A (2007) Microbial transformation of ferulic acid to vanillic acid by Streptomyces sannanensis MTCC 6637. J Ind Microbiol Biotechnol 34:131–138. https://doi.org/10.1007/s10295-006-0177-1

    CAS  Article  PubMed  Google Scholar 

  20. Plaggenborg R, Overhage J, Loos A et al (2006) Potential of Rhodococcus strains for biotechnological vanillin production from ferulic acid and eugenol. Appl Microbiol Biotechnol 72:745–755. https://doi.org/10.1007/s00253-005-0302-5

    CAS  Article  PubMed  Google Scholar 

  21. Falconnier B, Lapierre C, Lesage-Meessen L, Yonnet G, Brunerie P, Colonna-Ceccaldi B, Corrieu GAM (1994) Vanillin as a product of ferulic acid biotransformation by the white-rot fungus Pycnoporus cinnabarinus I-937: identification of metabolic pathways. J Biotechnol 37:123–132. https://doi.org/10.1016/0168-1656(94)90003-5

    CAS  Article  Google Scholar 

  22. Paz A, Costa-Trigo I, Tugores F et al (2019) Biotransformation of phenolic compounds by Bacillus aryabhattai. Bioprocess Biosyst Eng 42:1671–1679. https://doi.org/10.1007/s00449-019-02163-0

    CAS  Article  PubMed  Google Scholar 

  23. Chen P, Yan L, Zhang S et al (2017) Optimizing bioconversion of ferulic acid to vanillin by Bacillus subtilis in the stirred packed reactor using Box-Behnken design and desirability function. Food Sci Biotechnol 26:143–152. https://doi.org/10.1007/s10068-017-0019-0

    CAS  Article  PubMed  PubMed Central  Google Scholar 

  24. Nazila M, Maznah BTI, Forough N (2013) Bioconversion of ferulic acid to vanillin by combined action of Aspergillus niger K8 and Phanerochaete crysosporium ATCC 24725. Afr J Biotechnol 12:6618–6624. https://doi.org/10.5897/AJB2013.12416

    CAS  Article  Google Scholar 

  25. Rosazza J, Huang Z, Dostal L et al (1995) Review: biocatalytic transformations of ferulic acid: an abundant aromatic natural product. J Ind Microbiol 15:457–471. https://doi.org/10.1007/BF01570016

    CAS  Article  PubMed  Google Scholar 

  26. Fleige C, Hansen G, Kroll J, Steinbüchel A (2013) Investigation of the Amycolatopsis sp. strain ATCC 39116 vanillin dehydrogenase and its impact on the biotechnical production of vanillin. Appl Environ Microbiol 79:81–90. https://doi.org/10.1128/AEM.02358-12

    CAS  Article  PubMed  PubMed Central  Google Scholar 

  27. MuheimLerch AK (1999) Towards a high-yield bioconversion of ferulic acid to vanillin. Appl Microbiol Biotechnol 51:456–461. https://doi.org/10.1007/s002530051416

    Article  Google Scholar 

  28. Kaur B, Chakraborty D (2013) Biotechnological and molecular approaches for vanillin production : a review. Appl Biochem Biotechnol 169:1353–1372. https://doi.org/10.1007/s12010-012-0066-1

    CAS  Article  PubMed  Google Scholar 

  29. Brunati M, Marinelli F, Bertolini C et al (2004) Biotransformations of cinnamic and ferulic acid with actinomycetes. Enzyme Microb Technol 34:3–9. https://doi.org/10.1016/j.enzmictec.2003.04.001

    CAS  Article  Google Scholar 

  30. Fleige C, Meyer F (2016) Metabolic engineering of the actinomycete Amycolatopsis sp. strain ATCC 39116 towards enhanced production of natural vanillin. Appl Environ Microbiol 82:3410–3419. https://doi.org/10.1128/AEM.00802-16

    CAS  Article  PubMed  PubMed Central  Google Scholar 

  31. Pérez-Rodríguez N, de Souza P, Oliveira R, Torrado Agrasar AM, Domínguez JM (2016) Ferulic acid transformation into the main vanilla aroma compounds by Amycolatopsis sp. ATCC 39116. Appl Microbiol Biotechnol 100:1677–1689. https://doi.org/10.1007/s00253-015-7005-3

    CAS  Article  PubMed  Google Scholar 

  32. Ma XK, Daugulis AJ (2014b) Transformation of ferulic acid to vanillin using a fed-batch solid-liquid two-phase partitioning bioreactor. Biotechnol Prog 30:207–214. https://doi.org/10.1002/btpr.1830

    CAS  Article  PubMed  Google Scholar 

  33. Hua D, Ma C, Song L et al (2007) Enhanced vanillin production from ferulic acid using adsorbent resin. Appl Microbiol Biotechnol 74:783–790. https://doi.org/10.1007/s00253-006-0735-5

    CAS  Article  PubMed  Google Scholar 

  34. Fleige C, Steinbüchel A (2014) Construction of expression vectors for metabolic engineering of the vanillin-producing actinomycete Amycolatopsis sp. ATCC 39116. Appl Microbiol Biotechnol. https://doi.org/10.1007/s00253-014-5724-5

    Article  PubMed  Google Scholar 

  35. Gunnarsson N, Palmqvist EA (2006) Influence of pH and carbon source on the production of vanillin from ferulic acid by Streptomyces setonii ATCC 39116. Dev Food Sci 43:73–76. https://doi.org/10.1016/S0167-4501(06)80018-X

    CAS  Article  Google Scholar 

  36. Muheim A, Muller B, Munch T (1998) Process for the production of vanillin. EP 088598A1

  37. Kumar R, Sharma PK, Mishra PS (2012) A review on the vanillin derivatives showing various. Biol Act 4:266–279

    CAS  Google Scholar 

  38. Kumar N, Pruthi V (2014) Potential applications of ferulic acid from natural sources. Biotechnol Rep 4:86–93

    CAS  Article  Google Scholar 

  39. Sova M (2012) Antioxidant and antimicrobial activities of cinnamic acid derivatives. Mini Rev Med Chem 12:749–767. https://doi.org/10.2174/138955712801264792

    CAS  Article  PubMed  Google Scholar 

  40. Brazinha C, Barbosa DS, Crespo JG (2011) Sustainable recovery of pure natural vanillin from fermentation media in a single pervaporation step. Green Chem 13:2197–2203. https://doi.org/10.1039/c1gc15308k

    CAS  Article  Google Scholar 

Download references

Acknowledgements

FCT/MEC, Portugal, is acknowledged for the PhD Fellows grants SFRH/BD/138011/2018 and PD/BDE/113543/2015. The company Copam (Portugal) is also acknowledge for the financial support through the PhD Fellow grant PD/BDE/113543/2015. This work was supported by the Applied Molecular Biosciences Unit- UCIBIO which is financed by national funds from FCT/MCTES (UID/Multi/04378/2019) and the Associate Laboratory for Green Chemistry- LAQV which is financed by national funds from FCT/MCTES (UID/QUI/50006/2013) and co-financed by the ERDF under the PT2020 Partnership Agreement (POCI-01-0145-FEDER – 007265).

Author information

Affiliations

Authors

Contributions

RV and ARSB conducted the research, performed the analysis and interpretation of data and wrote the manuscript; CAVT contributed for the design of the experiments, planned, drafted and wrote the manuscript; CAVT, CB, JGC and MAMR contributed for a critical analysis of data as well as a critical reading of the manuscript; ML contributed with a critically reading of the manuscript. All authors read and approved the manuscript.

Corresponding author

Correspondence to Cristiana A. V. Torres.

Ethics declarations

Conflict of interest

The authors declare that they have no conflict of interest.

Ethical approval

This article does not contain any studies with human participants or animals performed by any of the authors.

Additional information

Publisher's Note

Springer Nature remains neutral with regard to jurisdictional claims in published maps and institutional affiliations.

Rights and permissions

Reprints and Permissions

About this article

Verify currency and authenticity via CrossMark

Cite this article

Valério, R., Bernardino, A.R.S., Torres, C.A.V. et al. Feeding strategies to optimize vanillin production by Amycolatopsis sp. ATCC 39116. Bioprocess Biosyst Eng 44, 737–747 (2021). https://doi.org/10.1007/s00449-020-02482-7

Download citation

  • Received:

  • Accepted:

  • Published:

  • Issue Date:

  • DOI: https://doi.org/10.1007/s00449-020-02482-7

Keywords

  • Biotech vanillin
  • Ferulic acid
  • Pulse feeding strategy