Abstract
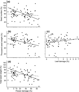
Plant size is a major predictor of ecological functioning. We tested the hypothesis that feeding damage to plants increases with plant size, as the conspicuousness of large plants makes resource finding and colonisation easier. Further, large plants can be attractive to herbivores, as they offer greater amounts and ranges of resources and niches, but direct evidence from experiments testing size effects on feeding damage and consequently on plant fitness is so far missing. We established a common garden experiment with a plant size gradient (10–130 cm height) using 21 annual Brassicaceae species, and quantified plant size, biomass and number of all aboveground components (flowers, fruits, leaves, stems) and their proportional feeding damage. Plant reproductive fitness was measured using seed number, 1000 seed weight and total seed weight. Feeding damage to the different plant components increased with plant size or component biomass, with mean damage levels being approximately 30 % for flowers, 5 % for fruits and 1 % for leaves and stems. Feeding damage affected plant reproductive fitness depending on feeding damage type, with flower damage having the strongest effect, shown by greatly reduced seed number, 1000 seed weight and total seed weight. Finally, we found an overall negative effect of plant size on 1000 seed weight, but not on seed number and total seed weight. In conclusion, being conspicuous and attractive to herbivores causes greater flower damage leading to higher fitness costs for large plants, which might be partly counterbalanced by benefits such as enhanced competitive/compensatory abilities or more mutualistic pollinator visits.


Similar content being viewed by others
Explore related subjects
Discover the latest articles and news from researchers in related subjects, suggested using machine learning.References
Agrawal AA (2001) Transgenerational consequences of plant responses to herbivory: an adaptive maternal effect? Am Nat 157:555–569. doi:10.1086/319932
Alford DV, Nilsson C, Ulber B (2003) Insect pests of oilseed rape crops. In: Alford DV (ed) Biocontrol oilseed rape pests. Blackwell, Oxford, pp 9–31
Alonso C, Herrera CM (1996) Variation in herbivory within and among plants of Daphne laureola (Thymelaeaceae): correlation with plant size and architecture. J Ecol 84:495–502
Araujo APA, de D’arc Paula J, Carneiro MAA, Schoereder JH (2006) Effects of host plant architecture on colonization by galling insects. Austral Ecol 31:343–348. doi:10.1111/j.1442-9993.2006.01563.x
Barton K (2015) MuMIn: multi-model inference. R package version 1.13.4. http://CRAN.R-project.org/package=MuMIn
Blanckenhorn WU (2000) The evolution of body size: what keeps organisms small? Q Rev Biol 75:385–407. doi:10.1086/393620
Brown JH, Maurer BA (1986) Body size, ecological dominance and Cope’s rule. Nature 324:248–250
Buchanan AL, Underwood N (2013) Attracting pollinators and avoiding herbivores: insects influence plant traits within and across years. Oecologia 173:473–482. doi:10.1007/s00442-013-2629-4
Burnham KP, Anderson DR (2002) Model selection and multi-model inference: a practical information-theoretic approach, 2nd edn. Springer, New York
Castagneyrol B, Giffard B, Péré C, Jactel H (2013) Plant apparency, an overlooked driver of associational resistance to insect herbivory. J Ecol 101:418–429. doi:10.1111/1365-2745.12055
Collinge SK, Louda SM (1988) Patterns of resource use by a drosophilid (Diptera) leaf miner on a native crucifer. Ann Entomol Soc Am 81:733–741
Dechert G, Ulber B (2004) Interactions between the stem-mining weevils Ceutorhynchus napi Gyll. and Ceutorhynchus pallidactylus (Marsh.) (Coleoptera: Curculionidae) in oilseed rape. Agric For Entomol 6:193–198. doi:10.1111/j.1461-9555.2004.00220.x
Donnelly SE, Lortie CJ, Aarssen LW (1998) Pollination in Verbascum thapsus (Scrophulariaceae): the advantage of being tall. Am J Bot 85:1618–1625
Duggan AE (1985) Pre-dispersal seed predation by Anthocharis cardamines (Pieridae) in the population dynamics of the perennial Cardamine pratensis (Brassicaceae). Oikos 44:99–106
Ekbom B, Borg A (1996) Pollen beetle (Meligethes aeneus) oviposition and feeding preference on different host plant species. Entomol Exp Appl 78:291–299. doi:10.1111/j.1570-7458.1996.tb00793.x
Endara M-J, Coley PD (2011) The resource availability hypothesis revisited: a meta-analysis. Funct Ecol 25:389–398. doi:10.1111/j.1365-2435.2010.01803.x
Espírito-Santo MM, Neves FDS, Andrade-Neto FR, Fernandes GW (2007) Plant architecture and meristem dynamics as the mechanisms determining the diversity of gall-inducing insects. Oecologia 153:353–364. doi:10.1007/s00442-007-0737-8
Feeny P (1976) Plant apparency and chemical defense. In: Wallace JW, Mansell RL (eds) Biochem Interact between plants insects. Springer, New York, pp 1–40
Free JB, Williams IH (1979) The distribution of insect pests on crops of oil-seed rape (Brassica napus L.) and the damage they cause. J Agric Sci 92:139–149
Free JB, Ferguson AW, Winfield S (1983) Effect of various levels of infestation by the seed weevil (Ceutorhynchus assimilis Payk.) on the seed yield of oil-seed rape (Brassica napus L.). J Agric Sci 101:589–596
Gavloski J, Lamb R (2000) Compensation for herbivory in cruciferous plants: specific responses to three defoliating insects. Environ Entomol 29:1258–1267. doi:10.1603/0046-225X-29.6.1258
Giamoustaris A, Mithen R (1996) The effect of flower colour and glucosinolates on the interaction between oilseed rape and pollen beetles. Entomol Exp Appl 80:206–208. doi:10.1111/j.1570-7458.1996.tb00919.x
Grueber CE, Nakagawa S, Laws RJ, Jamieson IG (2011) Multimodel inference in ecology and evolution: challenges and solutions. J Evol Biol 24:699–711. doi:10.1111/j.1420-9101.2010.02210.x
Hainsworth FR, Wolf LL, Mercier T (1984) Pollination and pre-dispersal seed predation: net effects on reproduction and inflorescence characteristics in Ipomopsis aggregata. Oecologia 63:405–409
Haysom KA, Coulson JC (1998) The Lepidoptera fauna associated with Calluna vulgaris: effects of plant architecture on abundance and diversity. Ecol Entomol 23:377–385. doi:10.1046/j.1365-2311.1998.00152.x
Heiberger RM (2015) HH: statistical analysis and data display: Heiberger and Holland. R package version 3.1-15. http://CRAN.R-project.org/package=HH
Hemptinne J-L, Magro A, Evans EW, Dixon AFG (2012) Body size and the rate of spread of invasive ladybird beetles in North America. Biol Invasions 14:595–605. doi:10.1007/s10530-011-0101-0
Herms D, Mattson W (1992) The dilemma of plants: to grow or defend. Q Rev Biol 67:283–335. doi:10.1086/417659
Juran I, Gothlin Čuljak T, Grubišić D (2011) Rape stem weevil (Ceutorhynchus napi Gyll. 1837) and cabbage stem weevil (Ceutorhynchus pallidactylus Marsh. 1802) (Coleoptera: Curculionidae)—important oilseed rape pests. Agric Conspec Sci 76:93–100
Kawano S, Nagai Y (1975) The productive and reproductive biology of flowering plants, 1: life history strategies of three Allium species in Japan. Bot Mag 88:281–318
Klotz S, Kühn I, Durka W (2002) BIOLFLOR—Eine Datenbank zu biologisch-ökologischen Merkmalen der Gefäßpflanzen in Deutschland (BIOLFLOR database—search and information system on vascular plants in Germany). Schriftenr für Veg 38
Lawton JH (1983) Plant architecture and the diversity of phytophagous insects. Annu Rev Entomol 28:23–39
Lawton JH, Price PW (1979) Species richness of parasites on hosts: agromyzid flies on the British Umbelliferae. J Anim Ecol 48:619–637
McArt SH, Halitschke R, Salminen JP, Thaler JS (2013) Leaf herbivory increases plant fitness via induced resistance to seed predators. Ecology 94:966–975. doi:10.1890/12-1664.1
McCall AC, Irwin RE (2006) Florivory: the intersection of pollination and herbivory. Ecol Lett 9:1351–1365. doi:10.1111/j.1461-0248.2006.00975.x
Moyes CL, Raybould AF (1997) Herbivory by the cabbage seed weevil (Ceutorhynchus assimilis) in natural populations of Brassica oleracea. Int Symp Brassica 97 Xth Crucif Genet Work 459:315–322
Neuvonen S, Niemelä P (1981) Species richness of Macrolepidoptera on Finnish deciduous trees and shrubs. Oecologia 51:364–370
Peters RH (1983) The ecological implications of body size. doi: 10.1017/CBO9780511608551
Pinheiro J, Bates D, DebRoy S et al (2015) nlme: linear and nonlinear mixed effects models. R package version 3.1-120. http://CRAN.R-project.org/package=nlme%3E
Puentes A, Ågren J (2012) Additive and non-additive effects of simulated leaf and inflorescence damage on survival, growth and reproduction of the perennial herb Arabidopsis lyrata. Oecologia 169:1033–1042. doi:10.1007/s00442-012-2276-1
R Development Core Team (2015) R: a language and environment for statistical computing. R Foundation for Statistical Computing, Vienna, Austria. URL http://www.R-project.org/
Remmel T, Tammaru T (2009) Size-dependent predation risk in tree-feeding insects with different colouration strategies: a field experiment. J Anim Ecol 78:973–980. doi:10.1111/j.1365-2656.2009.01566.x
Reudler Talsma JH, Biere A, Harvey JA, van Nouhuys S (2008) Oviposition cues for a specialist butterfly-plant chemistry and size. J Chem Ecol 34:1202–1212. doi:10.1007/s10886-008-9519-y
Schielzeth H (2010) Simple means to improve the interpretability of regression coefficients. Methods Ecol Evol 1:103–113. doi:10.1111/j.2041-210X.2010.00012.x
Schlinkert H (2014) Plant size gradient in Brassicaceae. doi: 10.6084/m9.figshare.1246843
Steffan-Dewenter I, Tscharntke T (1999) Effects of habitat isolation on pollinator communities and seed set. Oecologia 121:432–440. doi:10.1007/s004420050949
Strauss SY, Agrawal AA (1999) The ecology and evolution of plant tolerance to herbivory. Trends Ecol Evol 14:179–185. doi:10.1016/S0169-5347(98)01576-6
Tenow O, Larsson S (1987) Consumption by needle-eating insects on Scots pine in relation to season and stand age. Ecography (Cop) 10:249–260. doi:10.1111/j.1600-0587.1987.tb00766.x
Trumble JT, Kolodny-Hirsch DM, Ting IP (1993) Plant compensation for arthropod herbivory. Annu Rev Entomol 38:93–119
Ulber B (2003) Parasitoids of Ceutorhynchid stem weevils. In: Alford DV (ed) Biocontrol oilseed rape pests. Blackwell, Oxford, pp 87–96
Vasconcellos-Neto J, Ferreira Monteiro R (1993) Inspection and evaluation of host plant by the butterfly Mechanitis lysimnia (Nymph., Ithomiinae) before laying eggs: a mechanism to reduce intraspecific competition. Oecologia 95:431–438. doi:10.1007/BF00320999
Weiner J (1985) Size hierarchies in experimental populations of annual plants. Ecology 66:743–752. doi:10.2307/1940535
Williams IH (2010) The major insect pests of oilseed rape in Europe and their management: an overview. In: Williams IH (ed) Biocontrol-based Integr Manag oilseed rape pests. Springer, Dordrecht, pp 1–44
Williams IH, Free JB (1978) The feeding and mating behaviour of pollen beetles (Meligethes aeneus Fab.) and seed weevils (Ceutorhynchus assimilis Payk.) on oil-seed rape (Brassica napus L.). J Agric Sci 91:453–459. doi:10.1017/S0021859600046554
Williams IH, Free JB (1979) Compensation of oil-seed rape (Brassica napus L.) plants after damage to their buds and pods. J Agric Sci 92:53–59. doi:10.1017/S0021859600060494
Zuur AF, Ieno EN, Elphick CS (2010) A protocol for data exploration to avoid common statistical problems. Methods Ecol Evol 1:3–14. doi:10.1111/j.2041-210X.2009.00001.x
Acknowledgments
Special thanks for help in the field go to Susanne Jahn and Brigitte Jünemann, as well as to Christiane Schlinkert, Eugen Schlinkert, Barbara Scheid, Christina Fischer, Verena Rösch, Georg Everwand, Jenny Osterburg, Annabelle Rohlfing, Anna-Katharina Franke, Petra Kubisch, Alexandra Arndt, Carina Burmeister and Felix Steinmeyer. KWS SAAT and the botanical gardens of the universities of Bayreuth and Göttingen provided part of the seeds. We thank Carsten Thies for advice and Kristy Udy for linguistic improvements of the manuscript and two anonymous reviewers for their comments and suggestions, which improved the manuscript. H.S. was supported by the Ministry of Science and Culture of Lower Saxony.
Author information
Authors and Affiliations
Corresponding author
Additional information
Communicated by Andreas Prinzing.
Electronic supplementary material
Below is the link to the electronic supplementary material.
Rights and permissions
About this article
Cite this article
Schlinkert, H., Westphal, C., Clough, Y. et al. Feeding damage to plants increases with plant size across 21 Brassicaceae species. Oecologia 179, 455–466 (2015). https://doi.org/10.1007/s00442-015-3353-z
Received:
Accepted:
Published:
Issue Date:
DOI: https://doi.org/10.1007/s00442-015-3353-z


