Skip to main content

Red blood cell membrane mechanical fluctuations in non-proliferative and proliferate diabetic retinopathy

Abstract

Purpose

To study whether cell membrane mechanical fluctuation (CMF) of red blood cells (RBCs) are attenuated in non-proliferative diabetic retinopathy (NPDR) and proliferative diabetic retinopathy (PDR).

Patients and methods

Point dark-field microscopy-based recordings of local membrane displacements (frequency 0.3–25 Hz) were compared between type 2 diabetes patients with mild-to-moderate and severe NPDR and type 2 diabetes patients with PDR. The matched control group, corresponding to each stage of diabetic retinopathy, was based on non-diabetic patients who were evaluated in our clinic due to cataract.

Results

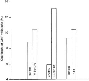
The average mean values of the maximal CMF amplitude did not differ between RBCs of NPDR patients (n=20) and controls (n=20) (19.5±1.5% and 19.6±1.7%, respectively). A statistically significant decrease in CMF amplitudes was observed in patients with PDR compared with patients with a non-proliferative disease (NPDR −20%, PDR −90%).

Conclusion

This new rheological characteristic demonstrates differences in the mechanical properties of RBCs in different stages of diabetic retinopathy. The significant reduction in CMF in patients with PDR may shed more light on the possible mechanism modulating retinal ischemia and leading to angiogenesis in these patients. Larger-scale studies are needed to evaluate these findings and the possible correlation between significantly lower CMF values and the progression of diabetic retinopathy.

This is a preview of subscription content, access via your institution.

Fig. 1
Fig. 2
Fig. 3
Fig. 4

References

  1. Alster Y, Loewenstein A, Levin S, Lazar M, Korenstein R (1998) Low-frequency submicrometer fluctuations of red blood cells in diabetic retinopathy. Arch Ophthalmol 116:1321–1325

    CAS  PubMed  Google Scholar 

  2. Bohlen HG, Hankins KD (1982) Early arteriolar and capillary changes in streptozocin-induced diabetic rats and intraperitoneal hyperglycemic rats. Diabetologia 22:344–348

    CAS  PubMed  Google Scholar 

  3. Caimi G, Canino B, Romano A, Catania A, Presti L (2000) Erythrocyte aggregation and erythrocyte membrane properties in type 2 diabetes mellitus and in vascular atherosclerotic disease. Thromb Haemost 83:516–517

    CAS  PubMed  Google Scholar 

  4. Carilli CT, Farley RA, Perlman DM, Cantley LC (1982) The active site structure of Na+ and K+ stimulated ATPase. J Biol Chem 257:5601–5606

    CAS  PubMed  Google Scholar 

  5. Chien S (1987) Red cell deformability and its relevance to blood flow. Annu Rev Physiol 49:177–192

    Article  CAS  PubMed  Google Scholar 

  6. Coppola L, Verrazzo G, La Marca C, Ziccardi P, Grassia A, Tirelli A, Giugliano D (1997) Effect of insulin on blood rheology in non-diabetic subjects and in patients with type 2 diabetes mellitus. Diabet Med 14:959–963

    Article  CAS  PubMed  Google Scholar 

  7. Delamaire M, Maugendre D, Moreno M, Le Goff MC, Allannic H, Genetet B (1997) Impaired leucocyte functions in diabetic patients. Diabet Med 14:29–34

    Article  CAS  PubMed  Google Scholar 

  8. ETDRS report number 10 (1991) Early Treatment Diabetic Retinopathy Study Research Group. Grading diabetic retinopathy from stereoscopic color fundus photographs—an extension of the modified Airlie House classification. Ophthalmology 98:786–806

    PubMed  Google Scholar 

  9. Evans EA (1989) Structure and deformation properties of red blood cells: concepts and quantitative methods. Methods Enzymol 173:3–35

    Article  CAS  PubMed  Google Scholar 

  10. Filoteo AG, Gorski JP, Penniston JP (1987) The ATP-binding site of the erythrocyte membrane Ca2+ pump. J Biol Chem 262:6526–6530

    CAS  PubMed  Google Scholar 

  11. Finotti P, Palatini, P (1986) Reduction of erythrocyte Na/K ATPase activity in type 1 (insulin-dependent) diabetic subjects and its activation by homologous plasma. Diabetologia 29:623–628

    CAS  PubMed  Google Scholar 

  12. Karlish SJ (1980) Characterization of conformational changes in (Na, K) ATPase labeled with the fluorescein at the active site. J Bioenerg Biomembr 12:111–136

    CAS  PubMed  Google Scholar 

  13. Kelly L, Barden CA, Tiedman JS, Harchell DL (1993) Alterations in viscosity and filterability of whole blood and blood cell subpopulation in diabetic cats. Exp Eur Res 56:341–347

    Article  CAS  Google Scholar 

  14. Klein R, Klein BE, Moss SE Davis, DeMets DL (1984) The Wisconsin epidemiologic study of diabetic retinopathy. III. Prevalence and risk of diabetic retinopathy when age at diagnosis is 30 or more years. Arch Ophthalmol 102:527–532

    CAS  PubMed  Google Scholar 

  15. Koscielny J, Latza R, Wolf S, Kiesewetter H, Jung F (1998) Early rheological and microcirculatory changes in children with type I diabetes mellitus. Clin Hemorheol Microcirc 19:139–150

    CAS  PubMed  Google Scholar 

  16. Krol AY, Grinfeldt MG, Levin SV, Smilgavichus AD (1990) Local mechanical oscillations of the cell surface within range 0.2–30 Hz. Eur Biophys J 19:93–99

    PubMed  Google Scholar 

  17. Levin S, Korenstein R (1991) Membrane fluctuations in erythrocytes are linked to Mg-ATP-dependent dynamic assembly of membrane skeleton. Biophys J 60:733–737

    CAS  PubMed  Google Scholar 

  18. Mittelman L, Levin S, Korenstein R (1991) Fast cell membrane displacements in B lymphocytes. Modulation by dihydrocytochalasin B and colchicine. FEBS Lett 293:207–210

    Article  CAS  PubMed  Google Scholar 

  19. Miyamoto K, Ogura Y, Kenmochi S, Honda Y (1997) Role of leukocytes in diabetic microcirculatory disturbances. Microvasc Res 54:43–48

    Article  CAS  PubMed  Google Scholar 

  20. Patz A, Smith RE (1991) The ETDRS and diabetes 2000 (editorial). Ophthalmology 98:739–740

    CAS  PubMed  Google Scholar 

  21. Pick U, Karlish SJ (1980) Indications for an oligomeric structure and for conformational changes in sarcoplasmic reticulum Ca2+-ATPase labeled selectively with fluorescein. Biochim Biophys Acta 626:255–261

    Article  CAS  PubMed  Google Scholar 

  22. Raccah D, Jannot MF, Issautier D, Vague P (1994) Effect of experimental diabetes on Na/K ATPase activity in red blood cells, peripheral nerve and kidney. Diabetes Metab 20:271–274

    CAS  Google Scholar 

  23. Rimmer T, Fleming J, Kohner EM (1990) Hypoxic viscosity and diabetic retinopathy. Br J Ophthalmol 74:400–404

    CAS  PubMed  Google Scholar 

  24. Sagel J, Colwell JA, Crook L, Laimins M (1975) Increased platelet aggregation in early diabetes mellitus. Ann Intern Med 82:733–738

    CAS  PubMed  Google Scholar 

  25. Small KW, Stefansson E, Hatchell DL (1987) Retinal blood flow in normal and diabetic dogs. Invest Ophthalmol Vis Sci 28:672–675

    CAS  PubMed  Google Scholar 

  26. Sobol AB, Watala C (2000) The role of platelets in diabetes-related vascular complications. Diabetes Res Clin Prac 50:1–16

    Article  CAS  Google Scholar 

  27. Tuvia S, Levin S, Korenstein R (1992) Correlation between local cell membrane displacements and filterability of human red blood cells. FEBS Lett 304:32–36

    Article  CAS  PubMed  Google Scholar 

  28. Tuvia S, Almagor A, Bitler A, Levin S, Korenstein R, Yedgar S (1997) Cell membrane fluctuations are regulated by medium macroviscosity: evidence for a metabolic driving force. Proc Natl Acad Sci USA 94:5045–5049

    Article  CAS  PubMed  Google Scholar 

  29. Tuvia S, Levin S, Bitler A, Korenstein R (1998) Membrane fluctuation of the membrane-skeleton are dependent on F-actin ATPase in human erythrocytes. J Cell Biol 141:1551–1561

    Article  CAS  PubMed  Google Scholar 

  30. Tuvia S, Moses A, Gulayev N, Levin S, Korenstein R (1999) Beta-adrenergic agonists regulate cell membrane fluctuations of human erythrocytes. J Physiol 516:781–792

    CAS  PubMed  Google Scholar 

  31. Vague P, Dufayet D, Coste T, Moriscot C, Jannot MF, Raccah D (1997) Association of diabetic neuropathy with Na/K ATPase gene polymorphism. Diabetologia 40:506–511

    Article  CAS  PubMed  Google Scholar 

  32. Vekasi J, Marton ZS, Kesmarky G, Cser A, Russai R, Horvath B (2001) Hemorheological alterations in patients with diabetic retinopathy. Clin Hemorheol Microcirc 24:59–64

    CAS  PubMed  Google Scholar 

  33. Yanoff M (1966) Diabetic retinopathy. N Engl J Med 274:1344–1349

    CAS  PubMed  Google Scholar 

  34. Zamir N, Tuvia S, Riven-Kreitman R, Levin S, Korenstein R (1992) Atrial natriuretic peptide: direct effects on human red blood cell dynamics. Biochem Biophys Res Commun 188:1003–1009

    CAS  PubMed  Google Scholar 

  35. Zatz R, Brenner BM (1986) Pathogenesis of diabetic microangiopathy. The hemodynamic view. Am J Med 80:443–453

    Article  CAS  PubMed  Google Scholar 

Download references

Acknowledgements

This research was supported by grants from the Israel Ministry of Health, Jerusalem (#3735, Dr Alster) and Office of Navy Research, Arlington, Va (#G-00014-94-10005, Drs Levin and Korenstein). The authors thank Esther Eshkol for editorial assistance.

Author information

Affiliations

Authors

Corresponding author

Correspondence to Igal Leibovitch.

Rights and permissions

Reprints and Permissions

About this article

Cite this article

Goldstein, M., Leibovitch, I., Levin, S. et al. Red blood cell membrane mechanical fluctuations in non-proliferative and proliferate diabetic retinopathy. Graefe's Arch Clin Exp Ophthalmol 242, 937–943 (2004). https://doi.org/10.1007/s00417-004-0946-3

Download citation

  • Received:

  • Revised:

  • Accepted:

  • Published:

  • Issue Date:

  • DOI: https://doi.org/10.1007/s00417-004-0946-3

Keywords

  • Ghost
  • Diabetic Retinopathy
  • Proliferative Diabetic Retinopathy
  • Early Treatment Diabetic Retinopathy Study
  • Retinal Ischemia