Abstract
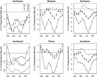
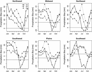
The impact of the simulated large-scale atmospheric circulation on the regional climate is examined using the Weather Research and Forecasting (WRF) model as a regional climate model. The purpose is to understand the potential need for interior grid nudging for dynamical downscaling of global climate model (GCM) output for air quality applications under a changing climate. In this study we downscale the NCEP-Department of Energy Atmospheric Model Intercomparison Project (AMIP-II) Reanalysis using three continuous 20-year WRF simulations: one simulation without interior grid nudging and two using different interior grid nudging methods. The biases in 2-m temperature and precipitation for the simulation without interior grid nudging are unreasonably large with respect to the North American Regional Reanalysis (NARR) over the eastern half of the contiguous United States (CONUS) during the summer when air quality concerns are most relevant. This study examines how these differences arise from errors in predicting the large-scale atmospheric circulation. It is demonstrated that the Bermuda high, which strongly influences the regional climate for much of the eastern half of the CONUS during the summer, is poorly simulated without interior grid nudging. In particular, two summers when the Bermuda high was west (1993) and east (2003) of its climatological position are chosen to illustrate problems in the large-scale atmospheric circulation anomalies. For both summers, WRF without interior grid nudging fails to simulate the placement of the upper-level anticyclonic (1993) and cyclonic (2003) circulation anomalies. The displacement of the large-scale circulation impacts the lower atmosphere moisture transport and precipitable water, affecting the convective environment and precipitation. Using interior grid nudging improves the large-scale circulation aloft and moisture transport/precipitable water anomalies, thereby improving the simulated 2-m temperature and precipitation. The results demonstrate that constraining the RCM to the large-scale features in the driving fields improves the overall accuracy of the simulated regional climate, and suggest that in the absence of such a constraint, the RCM will likely misrepresent important large-scale shifts in the atmospheric circulation under a future climate.










Similar content being viewed by others
References
Alexandru A, de Elia R, Laprise R (2007) Internal variability in regional climate downscaling at the seasonal scale. Mon Wea Rev 135(9):3221–3238
Anderson CJ, Arritt RW, Pan Z, Takle ES, Gutowski WJ, Otieno FO, da Silva R, Caya D, Christensen JH, Lüthi D, Gaertner MA, Gallardo C, Giorgi F, Laprise R, Hong SY, Jones C, Juang HM, Katzfey JJ, McGregor JL, Lapenta WM, Larson JW, Taylor JA, Liston GE, Pielke RA, Roads JO (2003) Hydrological processes in regional climate model simulations of the Central United States flood of June–July 1993. J Hydrometeor 4(3):584–598
Bowden JH, Otte TL, Nolte CG, Otte MJ (2012) Examining interior grid nudging techniques using two-way nesting in the WRF model for regional climate modeling. J Clim 25:2805–2823
Bukovsky MS, Karoly DJ (2009) Precipitation simulations using WRF as a nested regional climate model. J Appl Meteor Climatol 48(10):2152–2159. doi:10.1175/2009JAMC2186.1
Castro CL, Pielke RA, Leoncini G (2005) Dynamical downscaling: assessment of value retained and added using the regional atmospheric modeling system (RAMS). J Geophys Res 110:D05,108+
Chen F, Dudhia J (2001) Coupling an advanced land surface hydrology model with the Penn State NCAR MM5 modeling system. Part I: model implementation and sensitivity. Mon Wea Rev 129(4):569–585
Christensen J, Carter T, Rummukainen M, Amanatidis G (2007) Evaluating the performance and utility of regional climate models: the PRUDENCE project. Climatic Change 81(0):1–6
Christensen JH, Machenhauer B, Jones RG, Schär C, Ruti PM, Castro M, Visconti G (1997) Validation of present-day regional climate simulations over Europe: LAM simulations with observed boundary conditions. Clim Dyn 13:489–506
Collins WD, Rasch PJ, Boville BA, Hack JJ, McCaa JR, Williamson DL, Kiehl JT, Briegleb B, Bitz C, Lin SJ, Zhang M, Dai Y (2004) Description of the NCAR community atmosphere model (CAM 3.0). Tech. rep., NCAR Technical Note
Davies HC (1976) A lateral boundary formulation for multi-level prediction models. QJ Roy Meteor Soc 102:405–418
Giorgi F (2006) Regional climate modeling: status and perspectives. J de Physique IV 139:101–118
Grell GA, Dévényi D (2002) A generalized approach to parameterizing convection combining ensemble and data assimilation techniques. Geophys Res Lett 29(14):1693+
Grotch SL, MacCracken MC (1991) The use of general circulation models to predict regional climatic change. J Clim 4:286–303
Hong SY, Lim JOJ (2006) The WRF single-moment 6-class microphysics scheme (WSM6). J Korean Meteor Soc 42(2):129–151
Hong SY, Noh Y, Dudhia J (2006) A new vertical diffusion package with an explicit treatment of entrainment processes. Mon Wea Rev 134(9):2318–2341
Inatsu M, Kimoto M (2009) A scale interaction study on East Asian cyclogenesis using a general circulation model coupled with an interactively nested regional model. Mon Wea Rev 137(9):2851–2868
Jones RG, Murphy JM, Noguer M (1995) Simulation of Climatic Change over Europe using a nested regional-climate model. I: assessment of control climate, including sensitivity to location of lateral boundaries. Q J R Meteorol Soc 121(526):1413–1449
Kanamitsu M, Ebisuzaki W, Woollen J, Yang SK, Hnilo JJ, Fiorino M, Potter GL (2002) NCEP-DOE AMIP-II reanalysis (R-2). Bull Am Meteorol Soc 83:1631–1643
Katz RW, Parlange MB, Tebaldi C (2003) Stochastic modeling of the effects of large-scale circulation on daily weather in the Southeastern US. Climatic Change 60(1):189–216
Kida H, Koide T, Sasaki H, Chiba M (1991) A new approach to coupling a limited area model with a GCM for regional climate simulation. J Meteor Soc Japan 69:723–728
Koster RD, Dirmeyer PA, Guo Z, Bonan G, Chan E, Cox P, Gordon CT, Kanae S, Kowalczyk E, Lawrence D, Liu P, Lu CH, Malyshev S, McAvaney B, Mitchell K, Mocko D, Oki T, Oleson K, Pitman A, Sud YC, Taylor CM, Verseghy D, Vasic R, Xue Y, Yamada T (2004) Regions of strong coupling between soil moisture and precipitation. Science 305(5687):1138–1140
Laprise R, de-Elia R, Caya D, Biner S, Lucas-Picher P, Diaconescu E, Leduc M, Alexandru A, Separovic L (2007) Challenging some tenets of regional climate modelling. Meteor Atmos Phys 100:3–22
Leung LR, Qian Y (2009) Atmospheric rivers induced heavy precipitation and flooding in the western US simulated by the WRF regional climate model. Geophys Res Lett 36(3):L03,820+
Li W, Li L, Fu R, Deng Y, Wang H (2010) Changes to the North Atlantic subtropical high and its role in the intensification of summer rainfall variability in the Southeastern United States. J Climate 24(5):1499–1506
Liu Kb, Fearn ML (2000) Reconstruction of prehistoric landfall frequencies of catastrophic Hurricanes in Northwestern Florida from Lake Sediment records. Quatern Res 54(2):238–245
Lo JC, Yang Z, Pielke RA (2008) Assessment of three dynamical climate downscaling methods using the Weather Research and Forecasting (WRF) model. J Geophys Res 113(D9):D09,112+
Lorenz P, Jacob D (2005) Influence of regional scale information on the global circulation: a two-way nesting climate simulation. Geophys Res Lett 32(18):L18,706+
Lucas-Picher P, Caya D, de Elia R, Laprise R (2008) Investigation of regional climate models’ internal variability with a ten-member ensemble of ten years over a large domain. Clim Dyn 31:927–940
Mesinger F, DiMego G, Kalnay E, Mitchell K, Shafran PC, Ebisuzaki W, Jović D, Woollen J, Rogers E, Berbery EH, Ek MB, Fan Y, Grumbine R, Higgins W, Li H, Lin Y, Manikin G, Parrish D, Shi W (2006) North American regional reanalysis. Bull Am Meteor Soc 87(3):343–360
Miguez-Macho G, Stenchikov GL, Robock A (2004) Spectral nudging to eliminate the effects of domain position and geometry in regional climate model simulations. J Geophys Res 109:D13,104+
Miguez-Macho G, Stenchikov GL, Robock A (2005) Regional climate simulations over North America: interaction of local processes with improved large-scale flow. J Clim 18(8):1227–1246
Nigam S, Ruiz-Barradas A (2006) Seasonal hydroclimate variability over North America in global and regional reanalyses and AMIP simulations: varied representation. J Climate 19(5):815–837
Otte TL, Nolte CG, Otte MJ, Bowden JH (2012) Does nudging squelch the extremes in regional climate modeling? J Climate (in press), doi:10.1175/JCLI-D-12-00048.1
Pal JS, Eltahir EAB (2002) Teleconnections of soil moisture and rainfall during the 1993 midwest summer flood. Geophys Res Lett 29(18):1865+
Pielke RA, Wilby D, Niyogi F, Hossain F, Daruku K, Adegoke J, Kallos G, Seastedt T, Sudig K (2011) Dealing with complexity and extreme events using a bottom-up, resource based vulnerability perspective. AGU Monograph. doi:10.1029/2011GM001086
Robertson AW, Ghil M (1999) Large-scale weather regimes and local climate over the Western United States. J Climate 12(6):1796–1813
Sanchez-Gomez E, Somot S, Déqué M (2009) Ability of an ensemble of regional climate models to reproduce weather regimes over Europe-Atlantic during the period 1961–2000. Clim Dyn 33(5):723–736
Seager R, Murtugudde R, Naik N, Clement A, Gordon N, Miller J (2003) Air-sea interaction and the seasonal cycle of the subtropical anticyclones. J Clim 16:1948–1966
Skamarock WC, Klemp JB, Dudhia J, Gill DO, Barker M, Duda KG, Huang XY, Wang W, Powers JG (2008) A description of the advanced research WRF version 3. Tech. rep. National Center for Atmospheric Research
Stauffer DR, Seaman NL (1994) Multiscale four-dimensional data assimilation. J App Meteor 33:416–434
von Storch H, Langenberg H, Feser F (2000) A spectral nudging technique for dynamical downscaling purposes. Mon Weather Rev 128:3664–3673
Trenberth KE, Guillemot CJ (1996) Physical processes involved in the 1988 drought and 1993 floods in North America. J Climate 9:1288–1298
Veljovic K, Rajkovic B, Fennessy MJ, Altshuler EL, Mesinger F (2010) Regional climate modeling: Should one attempt improving on the large scales. Lateral boundary condition scheme: any impact. Meteorologische Zeitschrift 19(3):237–246
Waldron K, Peagle J, Horel J (1996) Sensitivity of a spectrally filtered and nudged limited area model to outer model options. Mon Wea Rev 124:529–547
Wang C, Enfield DB (2001) The Tropical Western Hemisphere warm pool. Geophys Res Lett 28(8)
Wang Y, Leung R, Mcgregor J, Lee DK, Wang WC, Kimura F (2004) Regional climate modeling: progress, challenges, and prospects. J Meteor Soc Jap 82(6):1599–1628
Yhang YB, Hong SY (2011) A study on large-scale nudging effects in regional climate model simulation. Asia-Pacific J Atmos Sci 47(3):235–243
Acknowledgments
The author’s time at the EPA was supported by post-doctoral training opportunities managed by the National Research Council and the Oak Ridge Institute for Science and Education. Robert Gilliam and S.T. Rao (US EPA) provided technical feedback on this paper. The critique of the anonymous reviewers served to strengthen this manuscript. The US Environmental Protection Agency through its Office of Research and Development funded and managed the research described here. It has been subjected to the Agency’s administrative review and approved for publication.
Author information
Authors and Affiliations
Corresponding author
Rights and permissions
About this article
Cite this article
Bowden, J.H., Nolte, C.G. & Otte, T.L. Simulating the impact of the large-scale circulation on the 2-m temperature and precipitation climatology. Clim Dyn 40, 1903–1920 (2013). https://doi.org/10.1007/s00382-012-1440-y
Received:
Accepted:
Published:
Issue Date:
DOI: https://doi.org/10.1007/s00382-012-1440-y


