Skip to main content

Post-mortem whole-body magnetic resonance imaging of human fetuses: a comparison of 3-T vs. 1.5-T MR imaging with classical autopsy

Abstract

Objective

To prospectively compare diagnostic accuracy of fetal post-mortem whole-body MRI at 3-T vs. 1.5-T.

Methods

Between 2012 and 2015, post-mortem MRI at 1.5-T and 3-T was performed in fetuses after miscarriage/stillbirth or termination. Clinical MRI diagnoses were assessed using a confidence diagnostic score and compared with classical autopsy to derive a diagnostic error score. The relation of diagnostic error for each organ group with gestational age was calculated and 1.5-T with 3-T was compared with accuracy analysis.

Results

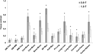
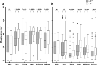
135 fetuses at 12–41 weeks underwent post-mortem MRI (followed by conventional autopsy in 92 fetuses). For all organ groups except the brain, and for both modalities, the diagnostic error decreased with gestation (P < 0.0001). 3-T MRI diagnostic error was significantly lower than that of 1.5-T for all anatomic structures and organ groups, except the orbits and brain. This difference was maintained for fetuses <20 weeks gestation. Moreover, 3-T was associated with fewer non-diagnostic scans and greater concordance with classical autopsy than 1.5-T MRI, especially for the thorax, heart and abdomen in fetuses <20 weeks.

Conclusion

Post-mortem fetal 3-T MRI improves confidence scores and overall accuracy compared with 1.5-T, mainly for the thorax, heart and abdomen of fetuses <20 weeks of gestation.

Key Points

In PM-MRI, diagnostic error using 3-T is lower than that with 1.5-T.

In PM-MRI, diagnostic scan rate is higher using 3-T than 1.5-T.

In PM-MRI, concordance with classical autopsy increases with 3-T.

PM-MRI using 3-T is particularly interesting for thoracic and abdominal organs.

PM-MRI using 3-T is particularly interesting for fetuses < 20 weeks’ gestation.

This is a preview of subscription content, access via your institution.

Fig. 1
Fig. 2
Fig. 3
Fig. 4
Fig. 5
Fig. 6
Fig. 7
Fig. 8

References

  1. Syngelaki A, Chelemen T, Dagklis T, Allan L, Nicolaides KH (2011) Challenges in the diagnosis of fetal non-chromosomal abnormalities at 11-13 weeks. Prenat Diagn 31:90–102

    Article  PubMed  Google Scholar 

  2. Carvalho JS (2004) Fetal heart scanning in the first trimester. Prenat Diagn 24:1060–1067

    Article  PubMed  Google Scholar 

  3. Chaoui R, Benoit B, Mitkowska-Wozniak H, Heling KS, Nicolaides KH (2009) Assessment of intracranial translucency (IT) in the detection of spina bifida at the 11-13-week scan. Ultrasound Obstet Gynecol 34:249–252

    CAS  Article  PubMed  Google Scholar 

  4. Gordijn SJ, Erwich JJHM, Khong TY (2002) Value of the perinatal autopsy: critique. Pediatr Dev Pathol 5:480–488

    Article  PubMed  Google Scholar 

  5. Boyd PA, Tondi F, Hicks NR, Chamberlain PF (2004) Autopsy after termination of pregnancy for fetal anomaly: retrospective cohort study. BMJ 328:137

    CAS  Article  PubMed  PubMed Central  Google Scholar 

  6. Thayyil S, Chitty LS, Robertson NJ, Taylor AM, Sebire NJ (2010) Minimally invasive fetal postmortem examination using magnetic resonance imaging and computerised tomography: current evidence and practical issues. Prenat Diagn 30:713–718

    CAS  Article  PubMed  Google Scholar 

  7. Griffiths PD, Paley MNJ, Whitby EH (2005) Post-mortem MRI as an adjunct to fetal or neonatal autopsy. Lancet 365:1271–1273

    CAS  Article  PubMed  Google Scholar 

  8. Cannie M, Votino C, Moerman P et al (2012) Acceptance, reliability and confidence of diagnosis of fetal and neonatal virtuopsy compared with conventional autopsy: a prospective study. Ultrasound Obstet Gynecol 39:659–665

    CAS  Article  PubMed  Google Scholar 

  9. Kang X, Cos T, Guizani M, Cannie MM, Segers V, Jani JC (2014) Parental acceptance of minimally invasive fetal and neonatal autopsy compared with conventional autopsy. Prenat Diagn 34:1106–1110

    Article  PubMed  Google Scholar 

  10. Thayyil S, Cleary JO, Sebire NJ et al (2009) Post-mortem examination of human fetuses: a comparison of whole-body high-field MRI at 9.4 T with conventional MRI and invasive autopsy. Lancet 374:467–475

    Article  PubMed  Google Scholar 

  11. Thayyil S, Sebire NJ, Chitty LS et al (2013) Post-mortem MRI versus conventional autopsy in fetuses and children: a prospective validation study. Lancet 382:223–233

    Article  PubMed  Google Scholar 

  12. Kuhl CK, Träber F, Schild HH (2008) Whole-body high-field-strength (3.0-T) MR Imaging in Clinical Practice. Part I. Technical considerations and clinical applications. Radiology 246:675–696

    Article  PubMed  Google Scholar 

  13. Kuhl CK, Träber F, Gieseke J et al (2008) Whole-body high-field-strength (3.0-T) MR imaging in clinical practice. Part II. Technical considerations and clinical applications. Radiology 247:16–35

    Article  PubMed  Google Scholar 

  14. Zhang Z, Liu S, Lin X et al (2011) Development of fetal brain of 20 weeks gestational age: assessment with post-mortem Magnetic Resonance Imaging. Eur J Radiol 80:e432–e439

    Article  PubMed  Google Scholar 

  15. Zhang Z, Liu S, Lin X et al (2011) Development of laminar organization of the fetal cerebrum at 3.0T and 7.0T: a postmortem MRI study. Neuroradiology 53:177–184

    Article  PubMed  Google Scholar 

  16. Votino C, Jani J, Verhoye M et al (2012) Postmortem examination of human fetal hearts at or below 20 weeks’ gestation: a comparison of high-field MRI at 9.4 T with lower-field MRI magnets and stereomicroscopic autopsy. Ultrasound Obstet Gynecol 40:437–444

    CAS  Article  PubMed  Google Scholar 

  17. Sandaite I, De Catte L, Moerman P et al (2013) A morphometric study of the human fetal heart on post-mortem 3-tesla magnetic resonance imaging. Prenat Diagn 33:318–327

    PubMed  Google Scholar 

  18. Sandaite I, Dymarkowski S, De Catte L et al (2014) Fetal heart pathology on postmortem 3-T magnetic resonance imaging. Prenat Diagn 34:223–229

    Article  PubMed  Google Scholar 

  19. Victoria T, Johnson AM, Edgar JC, Zarnow DM, Vossough A, Jaramillo D (2016) Comparison Between 1.5-T and 3-T MRI for fetal imaging: is there an advantage to imaging with a higher field strength? AJR Am J Roentgenol 206:195–201

    Article  PubMed  Google Scholar 

  20. Cannie MM, De Keyzer F, Van Laere S et al (2016) Potential heating effect in the gravid uterus by using 3-T MR imaging protocols: experimental study in miniature pigs. Radiology 279:754–761

    Article  PubMed  Google Scholar 

  21. Arthurs OJ, Guy A, Thayyil S et al (2016) Comparison of diagnostic performance for perinatal and paediatric post-mortem imaging: CT versus MRI. Eur Radiol 26:2327–2336

    Article  PubMed  Google Scholar 

  22. Votino C, Cannie M, Segers V et al (2012) Virtual autopsy by computed tomographic angiography of the fetal heart: a feasibility study. Ultrasound Obstet Gynecol 39:679–684

    CAS  Article  PubMed  Google Scholar 

  23. Sarda-Quarello L, Tuchtan L, Torrents J et al (2015) Perinatal death: Is there a place for post-mortem angio-CT? J Forensic Radiol Imaging 3:1–4

    Article  Google Scholar 

  24. Votino C, Bessieres B, Segers V et al (2014) Minimally invasive fetal autopsy using three-dimensional ultrasound: a feasibility study. Ultrasound Obstet Gynecol

  25. Arthurs OJ, Thayyil S, Pauliah SS et al (2015) Diagnostic accuracy and limitations of post-mortem MRI for neurological abnormalities in fetuses and children. Clin Radiol 70:872–880

    CAS  Article  PubMed  Google Scholar 

  26. Arthurs OJ, Thayyil S, Olsen OE et al (2014) Diagnostic accuracy of post-mortem MRI for thoracic abnormalities in fetuses and children. Eur Radiol 24:2876–2884

    Article  PubMed  PubMed Central  Google Scholar 

  27. Arthurs OJ, Thayyil S, Owens CM et al (2015) Diagnostic accuracy of post mortem MRI for abdominal abnormalities in foetuses and children. Eur J Radiol 84:474–481

    Article  PubMed  Google Scholar 

  28. Arthurs OJ, Thayyil S, Addison S et al (2014) Diagnostic accuracy of postmortem MRI for musculoskeletal abnormalities in fetuses and children. Prenat Diagn 34:1254–1261

    Article  PubMed  Google Scholar 

Download references

Author information

Affiliations

Authors

Corresponding author

Correspondence to Jacques C. Jani.

Ethics declarations

Guarantor

The scientific guarantors of this publication are Xin Kang and Jacques Jani.

Conflict of interest

The authors of this manuscript declare no relationships with any companies whose products or services may be related to the subject matter of the article.

Funding

This study has received funding by the Fetal Medicine Foundation Belgium.

Statistics and biometry

One of the authors has significant statistical expertise.

Ethical approval

Institutional review board approval was obtained.

Informed consent

Written informed consent was obtained from all subjects (patients) in this study.

Methodology

prospective, observational, performed at one institution.

Rights and permissions

Reprints and Permissions

About this article

Verify currency and authenticity via CrossMark

Cite this article

Kang, X., Cannie, M.M., Arthurs, O.J. et al. Post-mortem whole-body magnetic resonance imaging of human fetuses: a comparison of 3-T vs. 1.5-T MR imaging with classical autopsy. Eur Radiol 27, 3542–3553 (2017). https://doi.org/10.1007/s00330-016-4725-4

Download citation

  • Received:

  • Revised:

  • Accepted:

  • Published:

  • Issue Date:

  • DOI: https://doi.org/10.1007/s00330-016-4725-4

Keywords

  • Post-mortem MRI
  • 3-Tesla
  • Accuracy
  • Classical post-mortem
  • Virtual autopsy