Skip to main content

Perforin level in CD4+ T cells from patients with systemic lupus erythematosus

Abstract

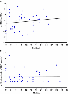
CD4+ T cells from patients with systemic lupus erythematosus (SLE) exhibit increased expression of various proteins contributing to defective function of CD4+ T cells. We evaluated the transcript and protein levels of perforin (PRF1) in CD4+ T cells from SLE patients (n = 41) and healthy individuals (n = 34). The CD4+ T cells were obtained by a positive biomagnetic separation system. The amounts of mRNA were determined by reverse transcription and real-time quantitative PCR. The protein levels in the CD4+ T cells were evaluated by Western blotting analysis. We observed significantly higher levels of PRF1 protein (p = 0.013) in SLE CD4+ T cells than in controls. There was no significant increase in PRF1 transcript levels (p = 0.908) in CD4+ T cells from SLE patients as compared to healthy individuals. Moreover, we did not observe a correlation between PRF1 transcript and protein levels in SLE CD4+ T cells and disease activity expressed by the SLEDAI scale. We confirmed previous observations that demonstrated higher levels of PRF1 protein in CD4+ T cells from SLE patients. However, we did not find a correlation between PRF1 transcripts and proteins in CD4+ T cells and SLE disease activity.

This is a preview of subscription content, access via your institution.

Fig. 1
Fig. 2

References

  1. Ruiz-Irastorza G, Khamashta MA, Castellino G, Hughes GR (2001) Systemic lupus erythematosus. Lancet 357:1027–1032

    CAS  Article  PubMed  Google Scholar 

  2. Jönsen A, Bengtsson AA, Nived O, Truedsson L, Sturfelt G (2007) Gene–environment interactions in the aetiology of systemic lupus erythematosus. Autoimmunity 40:613–617

    Article  PubMed  Google Scholar 

  3. Love LA (1994) New environmental agents associated with lupus-like disorders. Lupus 3:467–471

    CAS  Article  PubMed  Google Scholar 

  4. Wong M, Tsao BP (2006) Current topics in human SLE genetics. Springer Semin Immunopathol 28:97–107

    CAS  Article  PubMed  Google Scholar 

  5. Hom G, Graham RR, Modrek B, Taylor KE, Ortmann W, Garnier S, Lee AT, Chung SA, Ferreira RC, Pant PV, Ballinger DG, Kosoy R, Demirci FY, Kamboh MI, Kao AH, Tian C, Gunnarsson I, Bengtsson AA, Rantapää-Dahlqvist S, Petri M, Manzi S, Seldin MF, Rönnblom L, Syvänen AC, Criswell LA, Gregersen PK, Behrens TW (2008) Association of systemic lupus erythematosus with C8orf13-BLK and ITGAM-ITGAX. N Engl J Med 358:900–909

    CAS  Article  PubMed  Google Scholar 

  6. International Consortium for Systemic Lupus Erythematosus Genetics (SLEGEN), Harley JB, Alarcón-Riquelme ME, Criswell LA, Jacob CO, Kimberly RP, Moser KL, Tsao BP, Vyse TJ, Langefeld CD, Nath SK, Guthridge JM, Cobb BL, Mirel DB, Marion MC, Williams AH, Divers J, Wang W, Frank SG, Namjou B, Gabriel SB, Lee AT, Gregersen PK, Behrens TW, Taylor KE, Fernando M, Zidovetzki R, Gaffney PM, Edberg JC, Rioux JD, Ojwang JO, James JA, Merrill JT, Gilkeson GS, Seldin MF, Yin H, Baechler EC, Li QZ, Wakeland EK, Bruner GR, Kaufman KM, Kelly JA (2008) Genome-wide association scan in women with systemic lupus erythematosus identifies susceptibility variants in ITGAM, PXK, KIAA1542 and other loci. Nat Genet 40:204–210

    CAS  Article  PubMed  Google Scholar 

  7. Quigg RJ (2004) Complement and autoimmune glomerular diseases. Curr Dir Autoimmun 7:165–180

    CAS  Article  PubMed  Google Scholar 

  8. Pirner K, Rascu A, Nurnberg W, Rubbert A, Kalden JR, Manger B (1994) Evidence for direct anti-heparin-sulphate reactivity in sera of SLE patients. Rheumatol Int 14:169–174

    CAS  Article  PubMed  Google Scholar 

  9. Nakajima M, Nakajima A, Kayagaki N, Honda M, Yagita H, Okumura K (1997) Expression of Fas ligand and its receptor in cutaneous lupus: implication in tissue injury. Clin Immunol Immunopathol 83:223–229

    CAS  Article  PubMed  Google Scholar 

  10. Utz PJ, Anderson P (1998) Posttranslational protein modifications, apoptosis, and the bypass of tolerance to autoantigens. Arthritis Rheum 41:1152–1160

    CAS  Article  PubMed  Google Scholar 

  11. Rosen A, Casciola-Rosen L (1999) Autoantigens as substrates for apoptotic proteases: implications for the pathogenesis of systemic autoimmune disease. Cell Death Differ 6:6–12

    CAS  Article  PubMed  Google Scholar 

  12. Casciola-Rosen L, Andrade F, Ulanet D, Wong WB, Rosen A (1999) Cleavage by granzyme B is strongly predictive of autoantigen status: implications for initiation of autoimmunity. J Exp Med 190:815–826

    CAS  Article  PubMed  Google Scholar 

  13. Richardson BC, Strahler JR, Pivirotto TS, Quddus J, Bayliss GE, Gross LA, O’Rourke KS, Powers D, Hanash SM, Johnson MA (1992) Phenotypic and functional similarities between 5-azacytidine-treated T cells and a T cell subset in patients with active systemic lupus erythematosus. Arthritis Rheum 35:647–662

    CAS  Article  PubMed  Google Scholar 

  14. Kaplan MJ, Lewis EE, Shelden EA, Somers E, Pavlic R, McCune WJ, Richardson BC (2002) The apoptotic ligands TRAIL, TWEAK, and Fas ligand mediate monocyte death induced by autologous lupus T cells. J Immunol 169:6020–6029

    CAS  PubMed  Google Scholar 

  15. Crispín JC, Tsokos GC (2008) Novel molecular targets in the treatment of systemic lupus erythematosus. Autoimmun Rev 7:256–261

    Article  PubMed  Google Scholar 

  16. Krishnan S, Farber DL, Tsokos GC (2003) T cell rewiring in differentiation and disease. J Immunol 171:3325–3331

    CAS  PubMed  Google Scholar 

  17. Stohl W, Metyas S, Tan SM, Cheema GS, Oamar B, Xu D, Roschke V, Wu Y, Baker KP, Hilbert DM (2003) B lymphocyte stimulator overexpression in patients with systemic lupus erythematosus: longitudinal observations. Arthritis Rheum 48:3475–3486

    Article  PubMed  Google Scholar 

  18. Zhou Y, Lu Q (2008) DNA methylation in T cells from idiopathic lupus and drug-induced lupus patients. Autoimmun Rev 7:376–383

    CAS  Article  PubMed  Google Scholar 

  19. Appay V, Zaunders JJ, Papagno L, Sutton J, Jaramillo A, Waters A, Easterbrook P, Grey P, Smith D, McMichael AJ, Cooper DA, Rowland-Jones SL, Kelleher AD (2002) Characterization of CD4(+) CTLs ex vivo. J Immunol 2002(168):5954–5958

    Google Scholar 

  20. Markovic-Plese S, Cortese I, Wandinger KP, McFarland HF, Martin R (2001) CD4 + CD28S costimulation-independent T cells in multiple sclerosis. J Clin Invest 108:1185–1194

    CAS  PubMed  Google Scholar 

  21. Fasth AE, Snir O, Johansson AA, Nordmark B, Rahbar A, Af KE, Bjorkstrom NK, Ulfgren AK, van Vollenhoven RF, Malmstrom V, Trollmo C (2007) Skewed distribution of proinflammatory CD4 + CD28 null T cells in rheumatoid arthritis. Arthritis Res Ther 9:R87

    Article  PubMed  Google Scholar 

  22. Kobayashi T, Okamoto S, Iwakami Y, Nakazawa A, Hisamatsu T, Chinen H, Kamada N, Imai T, Goto H, Hibi T (2007) Exclusive increaseof CX3CR1 + CD28SCD4 + T cells in inflammatory bowel disease and their recruitment as intraepithelial lymphocytes. Inflamm Bowel Dis 13:837–846

    Article  PubMed  Google Scholar 

  23. Liuzzo G, Biasucci LM, Trotta G, Brugaletta S, Pinnelli M, Digianuario G, Rizzello V, Rebuzzi AG, Rumi C, Maseri A, Crea F (2007) Unusual CD4 + CD28 null T lymphocytes and recurrence of acute coronary events. J Am Coll Cardiol 50:1450–1458

    CAS  Article  PubMed  Google Scholar 

  24. Kaplan MJ, Lu Q, Wu A, Attwood J, Richardson B (2004) Demethylation of promoter regulatory elements contributes to perforin overexpression in CD4+ lupus T cells. J Immunol 172:3652–3661

    CAS  PubMed  Google Scholar 

  25. Blanco P, Pitard V, Viallard JF, Taupin JL, Pellegrin JL, Moreau JF (2005) Increase in activated CD8+ T lymphocytes expressing perforin and granzyme B correlates with disease activity in patients with systemic lupus erythematosus. Arthritis Rheum 52:201–211

    CAS  Article  PubMed  Google Scholar 

  26. Tan EM, Cohen AS, Fries JF, Masi AT, McShane DJ, Rothfield NF, Schaller JG, Talal N, Winchester RJ (1982) The 1982 revised criteria for the classification of systemic lupus erythematosus. Arthritis Rheum 25:1271–1277

    CAS  Article  PubMed  Google Scholar 

  27. Hochberg MC (1997) Updating the American College of Rheumatology revised criteria for the classification of systemic lupus erythematosus. Arthritis Rheum 40:1725

    CAS  Article  PubMed  Google Scholar 

  28. Bombardier C, Gladman DD, Urowitz MB, Caron D, Chang CH (1992) Derivation of the SLEDAI. A disease activity index for lupus patients. The Committee on Prognosis Studies in SLE. Arthritis Rheum 35:630–640

    CAS  Article  PubMed  Google Scholar 

  29. Chomczynski P, Sacchi N (1987) Single-step method of RNA isolation by acid guanidinium thiocyanate-phenol-chloroform extraction. Anal Biochem 162:156–159

    CAS  Article  PubMed  Google Scholar 

  30. Podack ER, Lowrey DM, Lichtenheld M, Olsen KJ, Aebischer T, Binder D, Rupp F, Hengartner H (1988) Structure, function and expression of murine and human perforin 1 (P1). Immun Rev 103:203–211

    CAS  Article  PubMed  Google Scholar 

  31. Podack ER, Hengartner H, Lichtenheld MG (1991) A central role of perforin in cytolysis? Annu Rev Immunol 9:129–157

    CAS  PubMed  Google Scholar 

  32. Hamann D, Baars PA, Rep MH, Hooibrink B, Kerkhof-Garde SR, Klein MR, van Lier RA (1997) Phenotypic and functional separation of memory and effector human CD8+ T cells. J Exp Med 186:1407–1418

    CAS  Article  PubMed  Google Scholar 

  33. Zheng CF, Ma LL, Jones GJ, Gill MJ, Krensky AM, Kubes P, Mody CH (2007) Cytotoxic CD4+ T cells use granulysin to kill Cryptococcus neoformans, and activation of this pathway is defective in HIV patients. Blood 109:2049–2057

    CAS  Article  PubMed  Google Scholar 

  34. Saez-Borderias A, Guma M, Angulo A, Bellosillo B, Pende D, Lopez-Botet M (2006) Expression and function of NKG2D in CD4+ T cells specific for human cytomegalovirus. Eur J Immunol 36:3198–3206

    CAS  Article  PubMed  Google Scholar 

  35. Haigh TA, Lin X, Jia H, Hui EP, Chan AT, Rickinson AB, Taylor GS (2008) EBV latent membrane proteins (LMPs) 1 and 2 as immunotherapeutic targets: LMP-specific CD4 + cytotoxic T cell recognition of EBV-transformed B cell lines. J Immunol 180:1643–1654

    CAS  PubMed  Google Scholar 

  36. Zhou W, Sharma M, Martinez J, Srivastava T, Diamond DJ, Knowles W, Lacey SF (2007) Functional characterization of BK virus specific CD4+ T cells with cytotoxic potential in seropositive adults. Viral Immunol 20:379–388

    CAS  Article  PubMed  Google Scholar 

  37. Milikan JC, Kinchington PR, Baarsma GS, Kuijpers RW, Osterhaus AD, Verjans GM (2007) Identification of viral antigens recognized by ocular infiltrating T cells from patients with varicella zoster virus-induced uveitis. Invest Ophthalmol Vis Sci 48:3689–3697

    Article  PubMed  Google Scholar 

  38. Aslan N, Yurdaydin C, Wiegand J, Greten T, Ciner A, Meyer MF, Heiken H, Kuhlmann B, Kaiser T, Bozkaya H, Tillmann HL, Bozdayi AM, Manns MP, Wedemeyer H (2006) Cytotoxic CD4 T cells in viral hepatitis. J Viral Hepat 13:505–514

    CAS  Article  PubMed  Google Scholar 

  39. Silva CL, Lowrie DB (2000) Identification and characterization of murine cytotoxic T cells that kill Mycobacterium tuberculosis. Infect Immun 68:3269–3274

    CAS  Article  PubMed  Google Scholar 

  40. Lu Q, Wu A, Ray D, Deng C, Attwood J, Hanash S, Pipkin M, Lichtenheld M, Richardson B (2003) DNA methylation and chromatin structure regulate T cell perforin gene expression. J Immunol 170:5124–5132

    CAS  PubMed  Google Scholar 

  41. Luo Y, Zhang X, Zhao M, Lu Q (2009) DNA demethylation of the perforin promoter in CD4(+) T cells from patients with subacute cutaneous lupus erythematosus. J Dermatol Sci. doi:10.1016/j.jdermsci.2009.06.010

  42. Appay V, Zaunders JJ, Papagno L, Sutton J, Jaramillo A, Waters A, Easterbrook P, Grey P, Smith D, McMichael AJ, Cooper DA, Rowland-Jones SL, Kelleher AD (2002) Characterization of CD4(+) CTLs ex vivo. J Immunol 168:5954–5958

    CAS  PubMed  Google Scholar 

  43. De Jong R, Brouwer M, Hooibrink B, Van der Pouw-Kraan T, Miedema F, Van Lier RA (1992) The CD27-subset of peripheral blood memory CD4+ lymphocytes contains functionally differentiated T lymphocytes that develop by persistent antigenic stimulation in vivo. Eur J Immunol 22:993–999

    Article  PubMed  Google Scholar 

Download references

Acknowledgments

Supported by a grant No 502-01-01124182-07474, Poznań University of Medical Sciences. We would like to acknowledge Margarita Lianeri for editorial assistance.

Author information

Affiliations

Authors

Corresponding author

Correspondence to Paweł Piotr Jagodziński.

Rights and permissions

Reprints and Permissions

About this article

Cite this article

Kozłowska, A., Hrycaj, P., Łącki, J.K. et al. Perforin level in CD4+ T cells from patients with systemic lupus erythematosus. Rheumatol Int 30, 1627–1633 (2010). https://doi.org/10.1007/s00296-009-1329-1

Download citation

  • Received:

  • Accepted:

  • Published:

  • Issue Date:

  • DOI: https://doi.org/10.1007/s00296-009-1329-1

Keywords

  • SLE
  • Perforina
  • CD4+ T cells