Skip to main content

Genotypic Variation in the Phytoremediation Potential of Indian Mustard for Chromium

Abstract

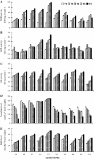
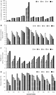
The term “phytoremediation” is used to describe the cleanup of heavy metals from contaminated sites by plants. This study demonstrates phytoremediation potential of Indian mustard (Brasicca juncea (L.) Czern. & Coss.) genotypes for chromium (Cr). Seedlings of 10 genotypes were grown hydroponically in artificially contaminated water over a range of environmentally relevant concentrations of Cr (VI), and the responses of genotypes in the presence of Cr, with reference to Cr accumulation, its phytotoxity and anti-oxidative system were investigated. The Cr accumulation potential varied largely among Indian mustard genotypes. At 100 μM Cr treatment, Pusa Jai Kisan accumulated the maximum amount of Cr (1680 μg Cr g−1 DW) whereas Vardhan accumulated the minimum (107 μg Cr g−1 DW). As the tolerance of metals is a key plant characteristic required for phytoremediation purpose, effects of various levels of Cr on biomass were evaluated as the gross effect. The extent of oxidative stress caused by Cr stress was measured as rate of lipid peroxidation. The level of thiobarbituric acid reactive substances (TBARS) was enhanced at all Cr treatments when compared to the control. Inductions of enzymatic and nonenzymatic antioxidants were monitored as metal-detoxifying responses. All the genotypes responded to Cr-induced oxidative stress by modulating nonenzymatic antioxidants [glutathione (GSH) and ascorbate (Asc)] and enzymatic antioxidants [superoxide dismutase (SOD), ascorbate peroxidase (APX), and glutathione reductase (GR)]. The level of induction, however, differed among the genotypes, being at its maximum in Pusa Jai Kisan and its minimum in Vardhan. Pusa Jai Kisan was grown under natural field conditions with various Cr treatments, and Cr-accumulation capacity was studied. The results confirmed that Pusa Jai Kisan is a hyperaccumulator of Cr and hypertolerant to Cr-induced stress, which makes this genotype a viable candidate for use in the development of phytoremediation technology of Cr-contaminated sites.

This is a preview of subscription content, access via your institution.

Fig. 1
Fig. 2

References

  • Anderson ME (1985) Determination of glutathione and glutathione disulfide in biological samples. Methods in Enzymology 113:548–554

    CAS  Article  Google Scholar 

  • Asada K (1992) Ascorbate peroxidase – a hydrogen peroxide scavenging enzyme in plants. Physiologia Plantarum 85:235–241

    Article  CAS  Google Scholar 

  • Baker AJM, Brooks RR (1989) Terrestrial higher plants that hyperaccumulate metallic elements - a review of their distribution ecology and phytochemistry. Biorecovery 1:81–126

    CAS  Google Scholar 

  • Baker AJM, McGrath SP, Reeves RD, Smith JAC (2000) Metal hyperaccumulator plants: a review of the ecology and physiology of a biological resource for phytoremediation of metal-polluted soils. In: Terry N, Baelos G (eds), Phytoremediation of Contaminated Soil and Water. Lewis Publication, Boca Raton, Florida, USA. pp 85–107

    Google Scholar 

  • Bartlett RJ (1991) Chromium cycling in soil and water: links gaps and methods. Environmental Health Perspectives 92:14–24

    Article  Google Scholar 

  • Baudo R, Canzian E, Galanti G, Guilizzoni P, Rapetti G (1985) Relationships between heavy metals and aquatic organisms in lake Mezzola hydrographic system (northern Italy). IV: metal concentrations in two species of emergent macrophytes. Memorie dell’Istituto Italiano di Idrobiologia 43:161–180

    Google Scholar 

  • Beyer WF, Fridovich Y (1987) Assaying for superoxide dismutase activity: some large consequences of minor changes in conditions. Analytical Biochemistry 61:559–566

    Article  Google Scholar 

  • Bradford MM (1976) A rapid and sensitive method for the quantification of microgram quantities protein utilizing the principle of protein dye binding. Analytical Biochemistry 72:248–254

    Article  CAS  Google Scholar 

  • Brown SL, Chaney RL, Angle JS, Baker AJM (1994) Phytoremediation potential of Thalpsi caerulescence and bladder champion for zinc and cadmium contaminated soil. Journal of Environmental Quality 23:1151–1157

    CAS  Article  Google Scholar 

  • Cao X, Ma LQ, Tu C (2004) Antioxidant responses to arsenic in the arsenic hyperaccumulator Chinese brake fern (Pteris vittata). Environmental Pollution 128:317–325

    Article  CAS  Google Scholar 

  • Cochram WG, Cox GM (1957) Experimental Designs. Willey, New York

    Google Scholar 

  • EPA, USA (Environmental Protection Agency, United States of America). (1984) Health assessment for chromium. Final Report, EPA Publication No. EPA–600/8-83-014F, US Environment Protection Agency, Washington, DC

  • Foyer CH, Halliwell B (1976) The presence of glutathione and glutathione reductase in chloroplasts: a proposed role in ascorbic acid metabolism. Planta 133:21–25

    Article  Google Scholar 

  • Freeman JI, Prsans MW, Nieman K, Albrecht C, Peer W, Picering I, Salt DE (2004) Increased glutathione biosynthesis plays a role in nickel tolerance in Thalpsi nickel hyperaccumulator. Plant Cell 16:2176–2191

    Article  CAS  Google Scholar 

  • Gardea-Torresday JL, De la Rosa G, Peralta-Videa JR, Montes M, Cruz-Jimenez G, Cano-Aguilera I (2005) Differential uptake and transport of trivalent and hexavalent chromium by Tumbleweed (Salsola kali). Archives Environmental Contamination Toxicology 48:225–232

    Article  CAS  Google Scholar 

  • Gratão PL, Polle A, Lea PJ, Azevedo RA (2005) Making the life of heavy metal-stressed plants a little easier. Functional Plant Biology 32:481–494

    Article  CAS  Google Scholar 

  • Haag-Kerwer A, Schafer HJ, Heiss S, Walter C, Rausch T (1999) Cadmium exposure in Brassica juncea causes decline in transpiration rate and leaf expansion without effect on photosynthesis. Journal of Experimental Botany 50:1827–1835

    Article  CAS  Google Scholar 

  • Heath RL, Packer L (1968) Photoperoxidation in isolated chloroplasts. I. Kinetics and stoichiometry of fatty acid peroxidation. Achieves of Biochemistry and Biophysics 125:189–198

    Article  CAS  Google Scholar 

  • Hodges DM, Andrews CJ, Johnson DA, Hamilton RI (1997) Antioxidant enzyme and compound responses to chilling stress and their combining abilities in differentially sensitive maize hybrids. Crop Science 37:857–863

    CAS  Article  Google Scholar 

  • IARC (International Agency for Research on Cancer) (1980) Chromium and chromium compounds. IARC monographs on the evaluation of carcinogenic risk of chemicals to humans. Vol 23, International Agency for Research on Cancer Lyon, France. pp 205–323

  • Israr M, Sahi SV, Jain J (2006) Cadmium accumulation and antioxidative responses in the Sesbania drumondiiallus. Archives of Environmental Contamination and Toxicology 50:121–127

    Article  CAS  Google Scholar 

  • Metwally A, Safronova, Belimov A, Dietz KJ (2005) Genotypic variation of the response to cadmium toxicity in Pisum sativum L. Journal of Experimental Botany 56:167–178

  • Nakano Y, Asada K (1981) Hydrogen peroxide is scavenged by ascorbate-specific peroxidase in spinach chloroplasts. Plant and Cell Physiology 22:867–880

    CAS  Google Scholar 

  • Nriagu JO (1990) Trace metal pollution of lakes: a global perspective In: Proceeding of 2nd International Conference on Trace Metals in Aquatic Environment. November 1990, Sydney, Australia

  • Pandey V, Dixit V, Shyam R (2005) Antioxidative responses in elation to growth of mustard (Brassica juncea cv. Pusa Jai Kisan) plants exposed to hexavalent chromium. Chemosphere 61:40–47

    Article  CAS  Google Scholar 

  • Qureshi MI, Israr M, Abdin MZ, Iqbal M (2005) Responses of Artemisia annua L. to lead and salt induced oxidative stress. Environmental and Experimental Botany 53:185–193

    Article  CAS  Google Scholar 

  • Rao MV (1992) Cellular detoxification mechanisms to determine age dependent injury in tropical plants exposed to SO2. Journal of Plant Physiology 140:733–740

    CAS  Google Scholar 

  • Salt DE, Kramer U (2000) Mechanisms of metal hyperaccumulation in plants. In: Raskin I, Ensley BD (eds), Phytoremediation of Toxic Metals Using Plants to Clean Up the Environment. Wiley, New York. pp 231–237

    Google Scholar 

  • Shanker AK, Cervantes C, Loza-Tavera H, Avudainayagam S (2005) Chromium toxicity in plants. Environmental International 31:739–753

    Article  CAS  Google Scholar 

  • Sinha S, Saxena R, Singh S (2002) Comparative study on accumulation of Cr from metal solution and tannery effluent under repeated metal exposure by aquatic plants: its toxic effects. Chemosphere 80:17–31

    CAS  Google Scholar 

  • Swaminathan MS (2003) Biodiversity: an effective safety net against environmental pollution. Environmental Pollution 126:287–291

    Article  CAS  Google Scholar 

  • WHO (World Health Organization) (1988) Chromium. Environmental Health Criteria 61, World Health Organisation, Geneva

    Google Scholar 

  • Yamaguchi K, Mori H, Nishimura M (1995) A novel enzyme of ascorbate peroxidase localized on glyoxysomal and leaf peroxisomal membranes in pumpkin. Plant and Cell Physiology 36:1157–1162

    CAS  Google Scholar 

  • Yang X, Jin X, Feng Y, Islam E (2005) Molecular mechanisms and genetic basis of heavy metal tolerance/hyperaccumulation in plants. Journal of Integrative Plant Biology 47:1025–1035

    Article  CAS  Google Scholar 

  • Zhang X, Liu J, Huang H, Chen J, Zhu Y, Wang D (2007) Chromium accumulation by the hyperaccumulator plant Leersia hexandra Swartz. Chemosphere 67:1138–1143

    Article  CAS  Google Scholar 

Download references

Author information

Affiliations

Authors

Corresponding author

Correspondence to Muhammad Iqbal.

Rights and permissions

Reprints and Permissions

About this article

Cite this article

Diwan, H., Ahmad, A. & Iqbal, M. Genotypic Variation in the Phytoremediation Potential of Indian Mustard for Chromium. Environmental Management 41, 734–741 (2008). https://doi.org/10.1007/s00267-007-9020-3

Download citation

  • Published:

  • Issue Date:

  • DOI: https://doi.org/10.1007/s00267-007-9020-3

Keywords

  • Antioxidant enzymes
  • Antioxidant metabolites
  • Brassica juncea
  • Chromium
  • Hyperaccumulator
  • Phytoremediation