Abstract
Summary
Fracture liaison services often perform laboratory testing, but these results may be altered by surgery. In 40 hip arthroplasty patients, many laboratory parameters of bone health relevance were reduced by 8–22% on the first post-operative day. Laboratory results obtained in the immediate post-surgery interval do not reliably ascertain baseline status.
Introduction
As secondary causes of osteoporosis are common, fracture liaison services often perform laboratory testing in the immediate post-fracture interval. We hypothesized that laboratory results obtained shortly after surgery may not accurately ascertain baseline status. If true, such alterations might confound subsequent fracture prevention efforts.
Methods
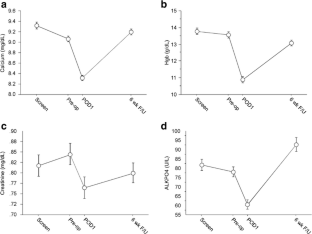
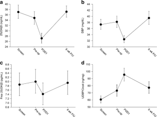
Patients undergoing elective total hip arthroplasty were studied as a surrogate for hip fracture patients. Blood and urine were obtained 2Â weeks before surgery, before anesthetic induction, on post-operative day one, and 6Â weeks after surgery. Serum total and free 25-hydroxyvitamin D (25(OH)D), vitamin D-binding protein (DBP), calcium, creatinine, albumin (Alb), alkaline phosphatase (ALP), plasma hemoglobin (Hgb) and urinary DBP/creatinine ratio (UDBP/Cr) were measured.
Results
Forty volunteers (28 women; 12 men) with mean age of 65.7 [8.7] years were studied. Laboratory results were stable from 2 weeks before to the day of surgery. On the first day after surgery, total 25(OH)D, DBP, calcium, creatinine, ALP, and Alb declined 8–22% (p < 0.0001); free 25(OH)D and Hgb declined by 8 and 15% (p < 0.01), respectively; and UDBP/Cr increased 32% (p < 0.01). Using a 25(OH)D <30 ng/mL threshold, vitamin D inadequacy prevalence increased from 38% before surgery to 68% the day after (p < 0.001). All laboratory values returned to baseline at 6 weeks after surgery.
Conclusions
Laboratory values are reduced immediately following elective total hip arthroplasty. Testing at that time does not accurately ascertain baseline status and may lead to elevated estimates of vitamin D inadequacy, incorrect interventions, and misallocation of healthcare resources.
This is a preview of subscription content, access via your institution.



References
Anonymous (2001) Osteoporosis prevention, diagnosis and therapy NIH consensus development panel on osteoporosis prevention, diagnosis and therapy. J Am Med Assoc 285:785–795
Leslie WD, Morin SN (2014) Osteoporosis epidemiology 2013: implications for diagnosis, risk assessment, and treatment. Curr Opin Rheumatol 26:440–446
Sattui SE, Saag KG (2014) Fracture mortality: associations with epidemiology and osteoporosis treatment. Nat Rev Endocrinol 10:592–602
Si L, Winzenberg TM, de Graaff B, Palmer AJ (2014) A systematic review and meta-analysis of utility-based quality of life for osteoporosis-related conditions. Osteoporos Int 25:1987–1997
Hernlund E, Svedbom A, Ivergard M, Compston J, Cooper C, Stenmark J, McCloskey EV, Jonsson B, Kanis JA (2013) Osteoporosis in the European Union: medical management, epidemiology and economic burden. Arch Osteoporos 8:136
Kanis JA, Johnell O, De Laet C et al (2004) A meta-analysis of previous fracture and subsequent fracture risk. Bone 35:375–382
Johnell O, Kanis JA, Oden A, Sernbo I, Redlund-Johnell I, Petterson C, De Laet C, Jonsson B (2004) Fracture risk following an osteoporotic fracture. Osteoporos Int 15:175–179
Lyles KW, Colon-Emeric CS, Magaziner JS et al (2007) Zoledronic acid and clinical fractures and mortality after hip fracture. N Engl J Med 357:1799–1809
Cummings SR, San Martin J, McClung MR et al (2009) Denosumab for prevention of fractures in postmenopausal women with osteoporosis. [Erratum appears in N Engl J Med. 2009 Nov 5;361(19):1914] N Engl J Med 361:756–765
Solomon DH, Johnston SS, Boytsov NN, McMorrow D, Lane JM, Krohn KD (2014) Osteoporosis medication use after hip fracture in U.S. patients between 2002 and 2011. J Bone Miner Res 29:1929–1937
Akesson K, Marsh D, Mitchell PJ, McLellan AR, Stenmark J, Pierroz DD, Kyer C, Cooper C (2013) Capture the fracture: a best practice framework and global campaign to break the fragility fracture cycle. Osteoporos Int 24:2135–2152
Eisman JA, Bogoch ER, Dell R, Harrington JT, McKinney RE, McLellan A, Mitchel PJ, Silverman S, Singleton R, Siris E (2012) Making the first fracture the last fracture: ASBMR task force report on secondary fracture prevention. J Bone Miner Res 27:2039–2046
Miller AN, Lake AF, Emory CL (2015) Establishing a fracture liaison service: an orthopaedic approach. J Bone Joint Surg Am 97:675–681
Dell R, Greene D, Schelkun SR, Williams K (2008) Osteoporosis disease management: the role of the orthopaedic surgeon. J Bone Joint Surg 90(suppl 4):188–194
Mirza F, Canalis E (2015) Management of endocrine disease: secondary osteoporosis: pathophysiology and management. Eur J Endocrinol 173:R131–R151
Bogoch ER, Elliot-Gibson V, Wang RY, Josse RG (2012) Secondary causes of osteoporosis in fracture patients. J Orthop Trauma 26:e145–e152
Commission TJ (2013) Osteoporosis-Associated Fracture Implemention Guide. The Joint Commission, Online, http://www.jointcommission.org/assets/1/6/Osteoporosis_Imp_Guide.pdf
Louw JA, Werbeck A, Louw ME, Kotze TJ, Cooper R, Labadarios D (1992) Blood vitamin concentrations during the acute-phase response. Crit Care Med 20:934–941
Navarro LH, Bloomstone JA, Auler JO Jr et al (2015) Perioperative fluid therapy: a statement from the international Fluid Optimization Group. Perioperative medicine (London, England) 4:3
Schricker T, Lattermann R (2015) Perioperative catabolism. Can J Anaesth 62:182–193
Lensmeyer GL, Wiebe DA, Binkley N, Drezner MK (2006) HPLC method for 25-hydroxyvitamin D measurement: comparison with contemporary assays. Clin Chem 52:1120–1126
Binkley N, Sempos CT (2014) Standardizing vitamin D assays: the way forward. J Bone Miner Res 29:1709–1714
LeBoff MS, Kohlmeier L, Hurwitz S, Franklin J, Wright J, Glowacki J (1999) Occult vitamin D deficiency in postmenopausal US women with acute hip fracture. J Am Med Assoc 281:1505–1511
LeBoff MS, Hawkes WG, Glowacki J, Yu-Yahiro J, Hurwitz S, Magaziner J (2008) Vitamin D-deficiency and post-fracture changes in lower extremity function and falls in women with hip fractures. Osteoporos Int 19:1283–1290
Reid D, Toole BJ, Knox S, Talwar D, Harten J, O’Reilly DS, Blackwell S, Kinsella J, McMillan DC, Wallace AM (2011) The relation between acute changes in the systemic inflammatory response and plasma 25-hydroxyvitamin D concentrations after elective knee arthroplasty. Am J Clin Nutr 93:1006–1011
Waldron JL, Ashby HL, Cornes MP, Bechervaise J, Razavi C, Thomas OL, Chugh S, Deshpande S, Ford C, Gama R (2013) Vitamin D: a negative acute phase reactant. J Clin Pathol 66:620–622
Schwartz JB, Lai J, Lizaola B, Kane L, Markova S, Weyland P, Terrault NA, Stotland N, Bikle D (2014) A comparison of measured and calculated free 25(OH) vitamin D levels in clinical populations. J Clin Endocrinol Metab 99:1631–1637
Henriksen VT, Rogers VE, Rasmussen GL, Trawick RH, Momberger NG, Aguirre D, Barker T (2014) Pro-inflammatory cytokines mediate the decrease in serum 25(OH)D concentrations after total knee arthroplasty? Med Hypotheses 82:134–137
Santonocito C, De Loecker I, Donadello K, Moussa MD, Markowicz S, Gullo A, Vincent JL (2014) C-reactive protein kinetics after major surgery. Anesth Analg 119:624–629
Barker T, Martins TB, Kjeldsberg CR, Trawick RH, Hill HR (2012) Circulating interferon-gamma correlates with 1,25(OH)D and the 1,25(OH)D-to-25(OH)D ratio. Cytokine 60:23–26
Bertoldo F, Pancheri S, Zenari S, Boldini S, Giovanazzi B, Zanatta M, Valenti MT, Dalle Carbonare L, Lo Cascio V (2010) Serum 25-hydroxyvitamin D levels modulate the acute-phase response associated with the first nitrogen-containing bisphosphonate infusion. J Bone Miner Res 25:447–454
Newens K, Filteau S, Tomkins A (2006) Plasma 25-hydroxyvitamin D does not vary over the course of a malarial infection. Trans R Soc Trop Med Hyg 100:41–44
Barth JH, Field HP, Mather AN, Plein S (2012) Serum 25 hydroxy-vitamin D does not exhibit an acute phase reaction after acute myocardial infarction. Ann Clin Biochem 49:399–401
Bang UC, Novovic S, Andersen AM, Fenger M, Hansen MB, Jensen JE (2011) Variations in serum 25-hydroxyvitamin D during acute pancreatitis: an exploratory longitudinal study. Endocr Res 36:135–141
Silva MC, Furlanetto TW (2015) Does serum 25-hydroxyvitamin D decrease during acute-phase response? A systematic review. Nutr Res 35:91–96
Iglar PJ, Hogan KJ (2015) Vitamin D status and surgical outcomes: a systematic review. Patient Saf Surg 9:14
Fakler JK, Grafe A, Dinger J, Josten C, Aust G (2016) Perioperative risk factors in patients with a femoral neck fracture - influence of 25-hydroxyvitamin D and C-reactive protein on postoperative medical complications and 1-year mortality. BMC Musculoskelet Disord 17:51
Maier GS, Maus U, Lazovic D, Horas K, Roth KE, Kurth AA (2016) Is there an association between low serum 25-OH-D levels and the length of hospital stay in orthopaedic patients after arthroplasty?. J Orthop Traumatol
Barker T, Martins TB, Hill HR, Kjeldsberg CR, Trawick RH, Weaver LK, Traber MG (2011) Low vitamin D impairs strength recovery after anterior cruciate ligament surgery. J Evid Based Complementary Altern Med 16:201–209
Amrein K, Schnedl C, Holl A et al (2014) Effect of high-dose vitamin D3 on hospital length of stay in critically ill patients with vitamin D deficiency: the VITdAL-ICU randomized clinical trial. JAMA 312:1520–1530
Przybelski R, Agrawal S, Krueger D, Engelke JA, Walbrun F, Binkley N (2008) Rapid correction of low vitamin D status in nursing home residents. Osteoporos Int 19:1621–1628
Ross AC, Manson JE, Abrams SA et al (2011) The 2011 report on dietary reference intakes for calcium and vitamin D from the institute of medicine: what clinicians need to know. J Clin Endocrinol Metab 96:53–58
Holick MF, Binkley N, Bischoff-Ferrari HA, Gordon CM, Hanley DA, Heaney RP, Murad MH, Weaver CM (2011) Evaluation, treatment, and prevention of vitamin D deficiency: an Endocrine Society Clinical Practice Guideline. J Clin Endocrinol Metab 96:1911–1930
Author information
Authors and Affiliations
Corresponding author
Ethics declarations
This study was reviewed and approved by the University of Wisconsin Health Sciences Institutional Review Board.
Conflicts of interest
None.
Rights and permissions
About this article
Cite this article
Binkley, N., Coursin, D., Krueger, D. et al. Surgery alters parameters of vitamin D status and other laboratory results. Osteoporos Int 28, 1013–1020 (2017). https://doi.org/10.1007/s00198-016-3819-9
Received:
Accepted:
Published:
Issue Date:
DOI: https://doi.org/10.1007/s00198-016-3819-9
Keywords
- Fracture liaison service
- Hip fracture
- Laboratory results
- Vitamin D