Non-minimal Coupling of the Higgs Boson to Curvature in an Inflationary Universe
- 794 Downloads
- 1 Citations
Abstract
In the absence of new physics around \(10^{10}\) GeV, the electroweak vacuum is at best metastable. This represents a major challenge for high scale inflationary models as, during the early rapid expansion of the universe, it seems difficult to understand how the Higgs vacuum would not decay to the true lower vacuum of the theory with catastrophic consequences if inflation took place at a scale above \(10^{10}\) GeV. In this paper we show that the non-minimal coupling of the Higgs boson to curvature could solve this problem by generating a direct coupling of the Higgs boson to the inflationary potential thereby stabilizing the electroweak vacuum. For specific values of the Higgs field initial condition and of its non-minimal coupling, inflation can drive the Higgs field to the electroweak vacuum quickly during inflation.
Keywords
Inflation Higgs Electroweak vacuum stabilityThe non-minimal coupling \(\xi \phi ^2 R\) of scalars (\(\phi \)) to curvature R has attracted much attention in the recent years. Indeed, in four space–time dimensions, \(\xi \) is a dimensionless coupling constant and as such is likely to be a fundamental constant of nature. With the discovery of the Higgs boson, the only known fundamental scalar field so far observed, it became clear that this parameter is relevant and should be considered when coupling the standard model of particle physics to general relativity.
The value of the non-minimal coupling of the Higgs boson to curvature is a free parameter of the standard model of particle physics. There has been no direct measurement so far of this fundamental constant of nature. The discovery of the Higgs boson at the Large Hadron Collider at CERN and the fact that the Higgs boson behaves as expected in the standard model implies that the non-minimal coupling is smaller than \(2.6 \times 10^{15}\) [1]. This bound comes from the fact that for a large non-minimal coupling the Higgs boson would decouple of the standard model particles. We have little theoretical prejudice on the magnitude of this constant. Conformal invariance would require \(\xi = 1/6\), but this symmetry is certainly not an exact symmetry of nature.
Assuming that the standard model is valid up to the Planck scale or some \(10^{18}\) GeV, the early universe cosmology of the Higgs boson represents an interesting challenge. Given the mass of the Higgs boson which has been measured at 125 GeV and the current measurement of the top quark mass, the electroweak vacuum is at best metastable [2]. The implication of this metastability of the electroweak vacuum for the standard model coupled to an inflation sector has recently been discussed [3]. Indeed, one finds that the Higgs quadratic coupling which governs the shape of the Higgs potential for large field value turns negative at an energy scale \(\Lambda \sim 10^{10}-10^{14}\) GeV. The electroweak vacuum with the minimum at 246 GeV is not the ground state of the standard model, but rather there is a lower minimum to the left and our vacuum is only metastable. This is a problem in an inflationary universe.
In [3, 4], it is shown that a direct coupling of the Higgs boson to the inflaton field can significantly affect this picture if this coupling makes the Higgs potential convex. This interaction between the inflaton and the Higgs boson drives the Higgs field to small values during inflation. This is closely related to an earlier result [5, 6] that the curvature coupling of the Higgs boson resembles an additional mass term \(-\;\xi R\) in the Higgs potential and could stabilise the Higgs boson. We shall argue below this interpretation of the curvature term is not entirely correct, and in fact the two mechanisms are closely related when carried out correctly. Assuming that there is no new physics between the weak scale and the scale of inflation, we shall derive a new prediction for the value of the non-minimal coupling of the Higgs boson to the Ricci scalar.
Before deriving our prediction for the value of the non-minimal coupling of the Higgs boson to curvature, we need to address a common misconception which can be very important when discussing Higgs physics within the context of cosmology and very early universe physics. It is often argued that the non-minimal coupling which appears in Eq. (2) of a scalar field to curvature is identical to a contribution to the mass of the scalar field that is curvature dependent. We will prove that this is not strictly correct. We will then show that the correct treatment is necessary when analysing the initial conditions problem for the Higgs field towards the false vacuum from a Planck-scale initial value.
These results demonstrate that the non-minimal coupling does not introduce stronger gravitational interactions for the Higgs boson once its field has been correctly canonically normalized. We stress that the underlying reason is that there is no violation of the equivalence principle. Our findings are in sharp contrast to the claims made in [17]. The only valid bound to date on the non-minimal coupling of the Higgs boson to curvature is that obtained in [1], namely that its non-minimal coupling is smaller than \(2.6\times 10^{15}\). While the fact that we may be living in a metastable vacuum is problematic for the Higgs boson in an inflationary context, the non-minimal coupling of the Higgs boson to curvature does not create a new problem. On the contrary, we shall now show that this non-minimal coupling could solve the stability issue.
In the early universe we need to consider large Higgs field values (\(v\ll \phi \ll M_P|\xi |^{-1/2}\))). As explained previously, even if one is willing to fine-tune the initial condition for the value of the Higgs field, it will experience quantum fluctuations of the order of the Hubble scale H. Unless the Hubble scale is much smaller than the energy scale at which the electroweak vacuum becomes unstable, the Higgs field is likely to swing into the lower true vacuum of the theory. A Higgs non-minimal coupling to the Ricci scalar could actually solve this problem since, as we will show, it will generate a direct coupling between the Higgs boson and the inflaton if the Jordan frame action contains an inflationary potential \(V_I\).
It has been shown that a direct coupling between the Higgs boson and the inflaton can drive the Higgs field [3] to the false electroweak vacuum quickly during inflation even if the Higgs field initial value is chosen to be large. There are basically three scenarios for the onset of inflation: the thermal initial state [18], ab initio creation [19, 20] and the chaotic initial state [21, 22]. The thermal initial state starting from a temperature just below the Planck scale would introduce thermal corrections to the Higgs potential preventing vacuum decay until the temperature fell to the inflationary de Sitter temperature, at which point it becomes a question of vacuum fluctuation as to whether the Higgs survives in the false vacuum. However, the consistency of thermal equilibrium of the standard model fields when the Higgs takes a large value has not yet been verified. The ab initio creation is an attractive possibility, where the Higgs would nucleate at the top of the potential barrier. In this case also, stability depends on the size of vacuum fluctuations during inflation. The final possibility, the chaotic initial state, would have the Higgs field start out at arbitrarily large values. The most likely initial values would be larger than the instability scale \(\Lambda \), preventing the Higgs field from entering the false vacuum. An anthropic argument could be applied to rule out these initial conditions, but we shall see that the non-minimal curvature coupling of the Higgs boson can force the Higgs into the false vacuum without anthropic considerations.
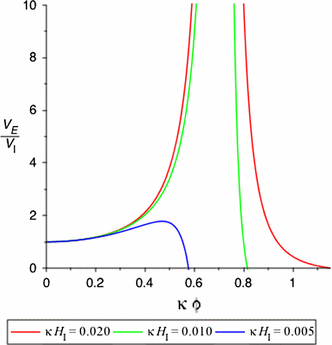
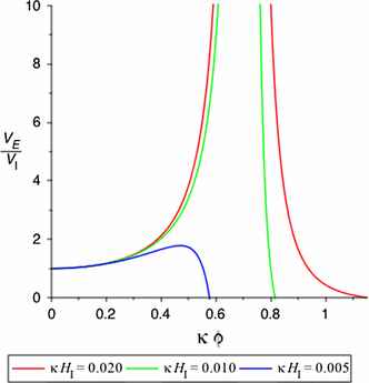
The Einstein frame Higgs potential \(V_E(\phi )\) for different values of the false-vacuum inflation rate \(H_I\) for \(\xi =-\;2\). The potential vanishes at \(\phi =\phi _m\), and there is an asymptote at \(\phi =\phi _c\). Consistency of the model (no ghosts) requires \(\phi <\phi _c\). An initial condition \(V_E\sim M_p^4\) can be achieved with the initial \(\phi \) close to \(\phi _c\)
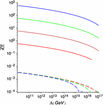
The lower bound on \(-\;\xi \), where \(\xi \) is the curvature coupling, for consistent chaotic initial conditions on the Higgs field which will lead the Higgs into the false vacuum. The horizontal axis is the Higgs stability scale. The different curves from bottom to top are for the false vacuum Hubble parameter 0.1 to \(10^{-4}M_p\). The dashed lines show the lower bound for quantum stability of the false vacuum
The plots in Fig. 2 show numerical results for the values of \(-\;xi\) which are lower bounds of the range which is consistent with chaotic initial conditions. Also shown by the dashed lines are the quantum bounds from the vacuum tunnelling rate \(\exp (-\;8\pi ^2\Delta V_E/3 H_I^2) \sim O(1)\), where \(\Delta V_E\) is the height of the potential barrier [20]. The quantum bound on \(-\;\xi \) is lower than the one quoted in [17], which we believe is due to our inclusion of the \(8\pi ^2/3\) factor.2 The results show curves for different values of the false vacuum Hubble parameter, essentially corresponding to different initial values of the inflaton field through (14). We ought to expect that this initial Hubble parameter is close to the Planck scale. As advertised, a non-minimal coupling of the Higgs boson can drive the Higgs boson into the false vacuum of the standard model early on during inflation. Instead of being a source of problems, it can solve some of the issues associated with the cosmological evolution of the Higgs boson.
It is worth mentioning as well that our results also imply that the non-minimal coupling of the Higgs boson will not influence reheating as long as the Higgs field value is small during inflation. Reheating could be generated by a direct coupling of the Higgs boson to the inflaton via either couplings of the type \(\sigma ^2 \mathcal{H}^\dagger \mathcal{H}\) or \(\sigma \mathcal{H}^\dagger \mathcal{H}\). As usual right-handed neutrinos N could also play a role in reheating via a coupling \(\bar{N} N \sigma \). However, none of these couplings will be significantly influenced by the conformal factor or the rescaling of the Higgs boson as long as one is considering small Higgs field values.
We have seen that a non-minimal coupling of the Higgs boson to the Ricci scalar does not generate new issues for Higgs boson physics in the early universe and that, on the contrary, there is a range of values for \(\xi \) for which the Higgs potential is stabilized thanks to the coupling of the Higgs boson to the inflaton generated by the non-minimal coupling of the Higgs boson to curvature. This becomes obvious when mapping the Jordan frame action to the Einstein frame. Finally, it has been shown in [23] that the non-minimal coupling \(\xi \) does not introduce a new scale below the Planck mass which finishes to establish our point that the standard model, if we add a non-minimal coupling to the Ricci scalar, could be valid up the Planck scale in an inflationary universe.
Footnotes
- 1.
From a purely classical gravity point of view, it is clear that \(\phi \) cannot take values larger than \(\phi _c\). Values of \(\phi >\phi _c\) would lead to the formation of anisotropic and inhomogeneous curvature singularity due to arbitrary small perturbations at this point, see [24, 25]. Thus, it is possible that inflation begins not according to the mechanism proposed in [18], but from a generic anisotropic and inhomogeneous phase where the potential is not important just as suggested by the generic de Sitter-like late-time attractor in general relativity with a cosmological constant [26].
- 2.
It is worth mentioning that the tunneling rate is potentially sensitive to physics above the scale of quantum gravity [27] and as such this calculation implies a leap of faith.
Notes
Acknowledgements
This work is supported in part by the Science and Technology Facilities Council (Grant Numbers ST/P000819/1 and ST/J000426/1) and by the National Council for Scientific and Technological Development (CNPq-Brazil). XC is very grateful to PRISMA and the MITP for their generous hospitality during the academic year 2017/2018.
References
- 1.Atkins, M., Calmet, X.: Bounds on the nonminimal coupling of the Higgs Boson to gravity. Phys. Rev. Lett. 110(5), 051301 (2013). https://doi.org/10.1103/PhysRevLett.110.051301. [arXiv:1211.0281 [hep-ph]]ADSCrossRefGoogle Scholar
- 2.Degrassi, G., Di Vita, S., Elias-Miro, J., Espinosa, J.R., Giudice, G.F., Isidori, G., Strumia, A.: Higgs mass and vacuum stability in the standard model at NNLO. JHEP 1208, 098 (2012). https://doi.org/10.1007/JHEP08(2012)098. [arXiv:1205.6497 [hep-ph]]ADSCrossRefGoogle Scholar
- 3.Lebedev, O., Westphal, A.: Metastable electroweak vacuum: implications for inflation. Phys. Lett. B 719, 415 (2013). https://doi.org/10.1016/j.physletb.2012.12.069. [arXiv:1210.6987 [hep-ph]]ADSCrossRefGoogle Scholar
- 4.Lebedev, O.: On stability of the electroweak vacuum and the Higgs portal. Eur. Phys. J. C 72, 2058 (2012). https://doi.org/10.1140/epjc/s10052-012-2058-2. [arXiv:1203.0156 [hep-ph]]ADSCrossRefGoogle Scholar
- 5.Espinosa, J.R., Giudice, G.F., Riotto, A.: Cosmological implications of the Higgs mass measurement. JCAP 0805, 002 (2008). https://doi.org/10.1088/1475-7516/2008/05/002. [arXiv:0710.2484 [hep-ph]]ADSCrossRefGoogle Scholar
- 6.Espinosa, J.R., Giudice, G.F., Morgante, E., Riotto, A., Senatore, L., Strumia, A., Tetradis, N.: The cosmological Higgstory of the vacuum instability. JHEP 1509, 174 (2015). https://doi.org/10.1007/JHEP09(2015)174. [arXiv:1505.04825 [hep-ph]]ADSCrossRefGoogle Scholar
- 7.Frommert, H., Schoor, H., Dehnen, H.: The Cosmological background in the Higgs scalar—tensor theory without Higgs particles. Int. J. Theor. Phys. 38, 725 (1999). [gr-qc/9609069]CrossRefMATHGoogle Scholar
- 8.Cervantes-Cota, J.L., Dehnen, H.: Induced gravity inflation in the standard model of particle physics. Nucl. Phys. B 442, 391 (1995). [astro-ph/9505069]ADSCrossRefGoogle Scholar
- 9.Bezrukov, F.L., Shaposhnikov, M.: The standard model Higgs Boson as the inflaton. Phys. Lett. B 659, 703 (2008). [arXiv:0710.3755 [hep-th]]ADSCrossRefGoogle Scholar
- 10.Chernikov, N.A., Tagirov, E.A.: Quantum theory of scalar fields in de Sitter space-time. Annales Poincare Phys. Theor. A 9, 109 (1968)ADSMathSciNetMATHGoogle Scholar
- 11.Callan Jr., C.G., Coleman, S.R., Jackiw, R.: A new improved energy—momentum tensor. Ann. Phys. 59, 42 (1970)ADSMathSciNetCrossRefMATHGoogle Scholar
- 12.Herranen, M., Markkanen, T., Nurmi, S., Rajantie, A.: Spacetime curvature and Higgs stability after inflation. Phys. Rev. Lett. 115, 241301 (2015). https://doi.org/10.1103/PhysRevLett.115.241301. arXiv:1506.04065 [hep-ph]ADSCrossRefGoogle Scholar
- 13.Ema, Y., Mukaida, K., Nakayama, K.: Fate of electroweak vacuum during preheating. JCAP 1610(10), 043 (2016). https://doi.org/10.1088/1475-7516/2016/10/043. [arXiv:1602.00483 [hep-ph]]ADSCrossRefGoogle Scholar
- 14.van der Bij, J.J.: Can gravity make the Higgs particle decouple? Acta Phys. Polon. B 25, 827 (1994)Google Scholar
- 15.Zee, A.: A broken symmetric theory of gravity. Phys. Rev. Lett. 42, 417 (1979)ADSCrossRefGoogle Scholar
- 16.Minkowski, P.: On the spontaneous origin of Newton’s constant. Phys. Lett. B 71, 419 (1977)ADSCrossRefGoogle Scholar
- 17.Herranen, M., Markkanen, T., Nurmi, S., Rajantie, A.: Spacetime curvature and the Higgs stability during inflation. Phys. Rev. Lett. 113(21), 211102 (2014). https://doi.org/10.1103/PhysRevLett.113.211102. [arXiv:1407.3141 [hep-ph]]ADSCrossRefGoogle Scholar
- 18.Guth, A.: The inflationary universe: a possible solution to the horizon and flatness. Phys. Rev. D 23, 347 (1981)ADSCrossRefMATHGoogle Scholar
- 19.Vilenkin, A.: Birth of inflationary universes. Phys. Rev. D 27, 2848 (1983)ADSMathSciNetCrossRefGoogle Scholar
- 20.Hawking, S.W., Moss, I.G.: Supercooled phase transitions in the very early universe. Phys. Lett. B 182, 35 (1982)ADSCrossRefGoogle Scholar
- 21.Linde, A.D.: Chaotic inflation. Phys. Lett. B 129, 177–181 (1983)ADSCrossRefGoogle Scholar
- 22.Linde, A.D.: Eternally existing self-reproducing chaotic inflanationary universe. Phys. Lett. B 175, 395 (1986)ADSCrossRefGoogle Scholar
- 23.Calmet, X., Casadio, R.: Self-healing of unitarity in Higgs inflation. Phys. Lett. B 734, 17 (2014). https://doi.org/10.1016/j.physletb.2014.05.008. [arXiv:1310.7410 [hep-ph]]ADSCrossRefGoogle Scholar
- 24.Starobinsky, A.A.: Pi\(s^{\prime }\) ma v Astron. Sov. Astron. Lett. 7, 36 (1981)ADSGoogle Scholar
- 25.Figueiro, M.F., Saa, A.: Anisotropic singularities in modified gravity models. Phys. Rev. D 80, 063504 (2009). [arXiv:0906.2588]ADSCrossRefGoogle Scholar
- 26.Starobinsky, A.A.: Pisma ZhETF. JETP Lett. 37, 66 (1983)ADSGoogle Scholar
- 27.Branchina, V., Messina, E., Sher, M.: Lifetime of the electroweak vacuum and sensitivity to Planck scale physics. Phys. Rev. D 91, 013003 (2015). https://doi.org/10.1103/PhysRevD.91.013003. [arXiv:1408.5302 [hep-ph]]ADSCrossRefGoogle Scholar
Copyright information
Open AccessThis article is distributed under the terms of the Creative Commons Attribution 4.0 International License (http://creativecommons.org/licenses/by/4.0/), which permits unrestricted use, distribution, and reproduction in any medium, provided you give appropriate credit to the original author(s) and the source, provide a link to the Creative Commons license, and indicate if changes were made.

