Definition:Data Encryption Standard (DES) and Advanced Encryption Standard (AES) are designed to encrypt a sequence of data elements.
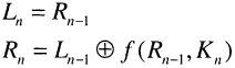
The DES algorithm is designed to encipher and decipher 64-bit blocks of data under control of a 64-bit key, of which 56 bits are randomly generated and used directly by the algorithm. Deciphering must be accomplished by using the same key as for enciphering. The deciphering process is the reverse of the enciphering process. A 64-bit block to be enciphered is subject to an initial permutation to form L 0 and R 0 (32 bits each, respectively the left and right half of the 64-bit block generated by the initial permutation), then to 16-iteration key-dependent computation, and the final result of the computation (L 16 and R 16) is subject to a permutation that is the inverse of the initial permutation. The 16 key-dependent computations can be simply defined as [1]:
where n is in the range of 1 to 16; f is the cipher function; L n and R n are 32-bits each and...
This is a preview of subscription content, log in via an institution.
References
National Institute of Standards and Technology, “Specification for the Data Encryption Standard (DES),” Technical Report NIST FIPS PUB 46-3, Department of Commerce, October 1999.
National Institute of Standards and Technology, “Specification for the Advanced Encryption Standard (AES),” Technical Report NIST FIPS PUB 197, Department of Commerce, November 2001.
Editor information
Editors and Affiliations
Rights and permissions
Copyright information
© 2006 Springer Science+Business Media, Inc.
About this entry
Cite this entry
(2006). Data Encryption Standard (DES) and Advanced Encryption Standard (AES). In: Furht, B. (eds) Encyclopedia of Multimedia. Springer, Boston, MA. https://doi.org/10.1007/0-387-30038-4_46
Download citation
DOI: https://doi.org/10.1007/0-387-30038-4_46
Publisher Name: Springer, Boston, MA
Print ISBN: 978-0-387-24395-5
Online ISBN: 978-0-387-30038-2
eBook Packages: Computer ScienceReference Module Computer Science and Engineering
