Encyclopedia of Lipidomics

Living Edition
| Editors: Markus R. Wenk

Glycerophosphoglycerophosphoglycerol

Living reference work entry
DOI: https://doi.org/10.1007/978-94-007-7864-1_40-1

Synonyms

Definition and Physicochemical Properties

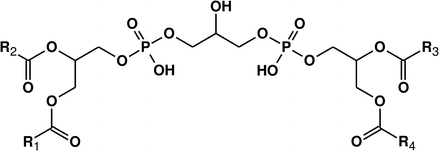
Glycerophosphoglycerophosphoglycerol, a special class of phospholipids containing four fatty acid chains, is widely known under its trivial name cardiolipin. This phospholipid consists of two glycerophosphoglycerol moieties linked via glycerol (Fig. 1). This leads to a conical molecule with a small, immobile head group and a large, rigid, hydrophobic tail. When packed in a membrane, these features strongly promote negative curvature. The acyl groups and the backbone glycerol groups are oriented parallel to the membrane normal, while the two phosphate groups are positioned parallel to the membrane surface. One or both phosphate groups may be deprotonated, depending on pH, leading to single- or double-charged anions (Horvath and Daum 2013).

Keywords

Phosphatidic Acid Phosphatidic Acid Fatty Acid Residue Barth Syndrome Charge Phosphate Group 
These keywords were added by machine and not by the authors. This process is experimental and the keywords may be updated as the learning algorithm improves.
This is a preview of subscription content, log in to check access.

References

  1. Claypool SM, Koehler CM. The complexity of cardiolipin in health and disease. Trends Biochem Sci. 2012;37:32–41.Google Scholar
  2. Horvath SE, Daum G. Lipids of mitochondria. Prog Lipid Res. 2013;52:590–614.CrossRefPubMedGoogle Scholar
  3. Pangborn MC. Isolation and purification of a serologically active phospholipid from beef heart. J Biol Chem. 1942;143:247–256.Google Scholar
  4. Ren M, Phoon CKL, Schlame M. Metabolism and function of mitochondrial cardiolipin. Prog Lipid Res. 2014;55C:1–16.Google Scholar

Copyright information

© Springer Science+Business Media Dordrecht 2016

Authors and Affiliations

  1. 1.Zentrum für Medizinische Forschung (ZMF)Medizinische Universität GrazGrazAustria