Carcinogen Metabolism
Definition
General paradigm for carcinogen metabolism, including both bioactivation and detoxication reactions
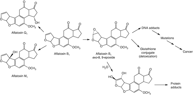
Major events in the metabolism of the hepatocarcinogen aflatoxin B1
Characteristics
History
In 1761, the London physician J. Hill associated the use of snuff with nasal cancers (Tobacco carcinogenesis, tobacco-related cancers). More than one hundred years later in 1895, Rehn and others reported a link of large-scale arylamine exposure of workers in the aniline dye industry in Germany and Switzerland to bladder cancer ( Aromatic amine). Aniline is an aromatic amine. It is a colorless, oily liquid, originally obtained from indigo, a blue dyestuff derived from several plants, by distillation. Today it is largely manufactured from coal tar or nitrobenzene as a base from which many brilliant dyes are made. In Japan, Yamagiwa and Ichikawa were in 1915 the first to demonstrate the formation of tumors in rabbits exposed to coal tar, a mixture of polycyclic hydrocarbons ( Polycyclic aromatic hydrocarbons). The concept that metabolic processes are a necessity for the bioactivation of chemical carcinogens was primarily developed by J. A. and E. C. Miller at the University of Wisconsin in the early 1940s ( DNA damage). Over the next few decades, they and others provided further insight, defining metabolically derived carcinogenic products that react with DNA (“ultimate carcinogens”) (Adducts to DNA). However, although the relationship between carcinogens and mutagenesis had been considered, it was not clearly defined. It was only after B. N. Ames developed a (still widely used) bacterial mutation system in which rat liver extracts are able to transform carcinogens into mutagens that the correlation between carcinogenesis and mutagenesis became obvious ( Genetic toxicology). Advances in enzymology and recombinant DNA technology made it possible to discern the role of individual human enzymes in various steps in carcinogen metabolism. Using inbred mouse strains and knockout mice, it was possible to demonstrate the critical role of mouse orthologues in carcinogen activation.
Metabolism
-
Polycyclic aromatic hydrocarbons are systems of fused benzene rings that are found in carcinogenic soots, tars, and tobacco smoke (Polycyclic aromatic hydrocarbons). A widely studied member of this class of compounds is benzo[a]pyrene. It is widely believed that the main metabolic pathway involves the oxidation of benzo[a]pyrene by cytochrome P450 (P450) to an epoxide. The hydrolysis of this epoxide to a dihydrodiol is followed by another oxidation by P450 that generates highly reactive diol epoxides ( Cytochrome P450). The latter can either react with DNA or are detoxicated by glutathione transferase.
-
Aflatoxin B1 is a mycotoxin and a prominent contributor to human liver cancer ( Hepatocellular carcinoma). A critical feature of its metabolism is the formation of an epoxide by P450 enzymes (Fig. 2). The epoxide (with a half-life in water of t1/2 = 1 s) is able to react with DNA or can be conjugated with glutathione. P450 enzymes can also detoxicate aflatoxin B1 by catalyzing several other oxidation steps (e.g., the oxidation to 3α- and 9α-hydroxylated products).
-
Olefins (alkenes) can be oxidized to epoxides ( Alkylating agents). A member of this group is vinyl chloride, a carcinogenic substance that was shown to cause a rare liver hemangiosarcoma in people working in the rubber industry.
-
Another problematic group of substances are N-nitrosamines. They can result from some industrial settings but are also produced endogenously from amines and nitrites in the acidic environment of the stomach. Sources are the so-called tobacco-specific nitrosamines as well as sodium nitrite that are used to preserve processed meats (Tobacco carcinogenesis, tobacco-related cancers). As in the examples stated above, P450 activates N-nitrosamines by oxidation. The formation of an alcohol on the adjacent carbon atom yields an unstable product that decomposes and alkylates DNA.
-
Another group of chemicals of concern present in food and tobacco is heterocyclic amines, substances derived from creatinine and amino acids following pyrolysis (Aromatic amines). Amine activation involves its oxidation by a P450 enzyme to a hydroxylamine (–NHOH). An unstable compound (–NHOAc) is the result of the enzymatic transfer of an acetyl group ( Arylamine N-acetyltransferases (NAT) and cancer, biomarkers). It ultimately breaks down to a nitrenium ion (–NH+) that can react with DNA. Detoxication involves other P450 enzymes, glutathione transferases, and UDP glucuronosyltransferases.
Mechanisms
Conjugation reactions (including those catalyzed by the enzyme N-acetyltransferase) (Arylamine N-acetyltransferases (NAT) and cancer) are usually involved in detoxication reactions; they can, however, also be part of bioactivation schemes ( Sulfotransferases). An example is the pesticide ethylene dibromide (BrCH2Cl2Br) and related compounds where the enzymatic conjugation of ethylene dibromide with endogenous tripeptide glutathione yields a molecule (in this case glutathione-CH2CH2Br) that can react with DNA ( Glutathione S-Transferase).
Cancers
Numerous studies support the important role of carcinogen metabolism in human cancers.
First, substances, such as aflatoxin B1, whose metabolic products can cause cancers (Fig. 2) have been identified in foods (Xenobiotics). Second, it has been shown in animal models that either the absence or the induction of certain enzymes that are involved in carcinogen metabolism can have a dramatic effect on chemical-caused cancers. Third, humans are known to show great phenotypic variation in many enzymes involved in carcinogen metabolism. Dramatic effects on the metabolism of drugs have been demonstrated with these enzymes. Large international and other interindividual differences in cancer incidence, as well as the documented effects of diet on cancer, justify the considerable interest to study carcinogen metabolism, particularly in humans. Research in carcinogen metabolism and its applications can be divided into several areas. Investigating cancer cause and cancer etiology depends upon the understanding of basic chemistry, enzymology, and physiology of metabolic processes as well as how the chemicals react with DNA once they are activated. Molecular epidemiology utilizes information about carcinogen metabolism in order to establish their relevance in human cancer ( Biomarkers). A related topic is risk assessment, which uses the knowledge of carcinogen metabolism derived from animal bioassay studies and sometimes epidemiology to determine critical exposure levels of environmental carcinogens in humans ( Cancer epidemiology).
Metabolism mechanisms play an important role in cancer safety assessment studies of prospective new drugs, including those used to treat cancer. Another important area is chemoprevention where beneficial effects of certain chemicals are investigated, e.g., their ability to change the metabolism of carcinogens.
Cross-References
References
- Guengerich FP (2000) Metabolism of chemical carcinogens. Carcinogenesis 21:345–351PubMedCrossRefGoogle Scholar
- Guengerich FP, Shimada T (1991) Oxidation of toxic and carcinogenic chemicals by human cytochrome P-450 enzymes. Chem Res Toxicol 4:391–407PubMedCrossRefGoogle Scholar
- Miller JA (1998) The metabolism of xenobiotics to reactive electrophiles in chemical carcinogenesis and mutagenesis. Drug Metab Rev 30:645–674PubMedCrossRefGoogle Scholar
- Searle CE (ed) (1984) Chemical carcinogens, vols 1 and 2. American Chemical Society, Washington, DCGoogle Scholar
See Also
- (2012) Biomarkers. In: Schwab M (ed) Encyclopedia of cancer, 3rd edn. Springer, Berlin/Heidelberg, pp 408–409. doi:10.1007/978-3-642-16483-5_6601Google Scholar

