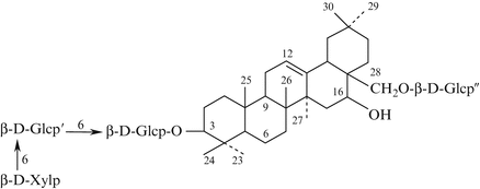
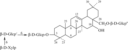
CAS Registry Number: 256510-01-7
See Figure
Alternoside XIX
References
- 1.K. Yoshikawa, K. Takahashi, K. Matsuchika, S. Arihara, H-Ch. Chang, J.-D. Wang, Chem. Pharm. Bull. 47, 1598 (1999)CrossRefGoogle Scholar
Copyright information
© Springer Science+Business Media New York 2013
