CAS Registry Number: 333333-20-3
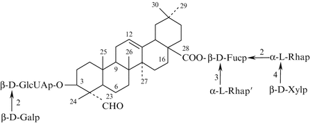
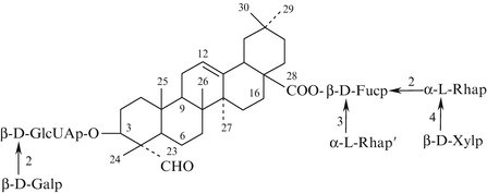
See Figure
Goyasaponin I
References
- 1.T. Murakami, A. Emoto, H. Matsuda, M. Yoshikawa, Chem. Pharm. Bull. 49(1), 54 (2001)CrossRefGoogle Scholar
Copyright information
© Springer Science+Business Media New York 2013
