CAS Registry Number: 82410-33-1
See Figure
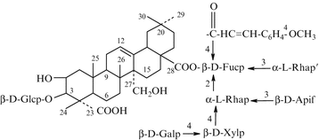
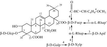
Onjisaponin A
References
- 1.S. Sakuma, J. Shoji, Chem. Pharm. Bull. 30(3), 810 (1982)CrossRefGoogle Scholar
- 2.S. Sakuma, J. Shoji, Chem. Pharm. Bull. 29(9), 2431 (1981)CrossRefGoogle Scholar
Copyright information
© Springer Science+Business Media New York 2013
