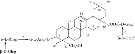
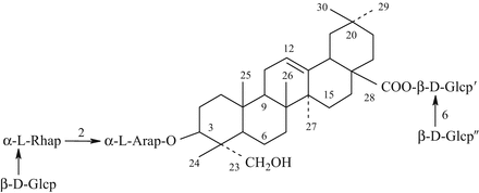
See Figure
Saponin 3
References
- 1.S. Saito, S. Sumita, N. Tamura, Y. Nagamura, K. Nishida, M. Ito, I. Ishiguro, Chem. Pharm. Bull. 38(2), 411 (1990)CrossRefGoogle Scholar
Copyright information
© Springer Science+Business Media New York 2013
