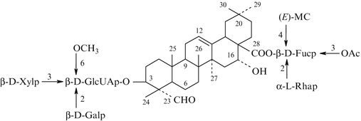
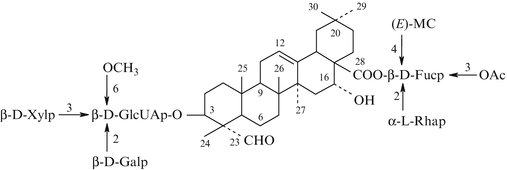
Sinocrassuloside VIII

Reference work entry

References

  1. 1.
    J. Zhao, N. Nakamura, M. Hattori, X.-W. Yang, K. Komatsu, M.-H. Qiu, Chem. Pharm. Bull. 52(2), 230 (2004)CrossRefGoogle Scholar
  2. 2.
    Jiangsu New Medicinal College, Dictionary of Chinese Materia Medica (Shanghai Scientific and Technological Publisher, Shanghai, 1977), p. 400Google Scholar

Copyright information

© Springer Science+Business Media New York 2013

Personalised recommendations