Drug-DNA Interaction Protocols pp 207-222 | Cite as
In vitro Transcription Assay for Resolution of Drug-DNA Interactions at Defined DNA Sequences
Abstract
A major class of anticancer agents in current clinical use exerts its anticancer effects by binding covalently or non-covalently to DNA. A detailed understanding of the nature of these drug-DNA complexes would be expected to lead to better uses of these drugs, and also assist with the design of improved drug derivatives. Here, we present a transcriptional footprinting assay that can be implemented to define the DNA sequence specificity and kinetics associated with drug-DNA complexes. The basic steps involve the formation of drug-DNA complexes, the formation of synchronised initiated transcripts, and finally transcriptional elongation to reveal drug blockage sites that impede the progression of RNA polymerase. We have used the “in vitro transcription assay” to investigate many covalent drug-DNA interactions; most notably those obtained using anthracycline anticancer agents such as doxorubicin and anthracenedione-based anticancer agents, including mitoxantrone and pixantrone.
Key words
Drug DNA Transcription Sequence specificity1 Introduction
Many anticancer agents in current clinical use interact with DNA covalently or non-covalently. A detailed understanding of these drug-DNA interactions would be expected to provide the basis for the design of new generations of more active drug derivatives. Fundamental understanding of the DNA interaction includes knowledge of the kinetics and affinity of the interaction and the DNA sequence involved. Molecular biology-based approaches used to gauge the nature of these properties include DNA footprinting (utilising DNase I or hydroxyl radicals) and inhibition of the processivity of DNA-dependent enzymes such as exonucleases and polymerases (1-3).
Here, we present a transcription-based method (an “in vitro transcription assay”) that was developed in our laboratory and relies on the tendency of drug-occupied DNA sites to pose a physical blockage to RNA polymerase. This approach provides quantitative nucleotide resolution of the DNA specificity of drug-occupied sites as well as kinetic information associated with the interactions. Detailed theoretical information concerning this method has already been presented elsewhere (4, 5). We have used our version of the in vitro transcription assay to characterize the non-covalent DNA interactions of drugs, including actinomycin D, echinomycin, mitoxantrone, and doxorubicin (6-8) as well as probing long-lived or covalent DNA interactions produced by drugs such as doxorubicin, nitrogen mustards, mitoxantrone, and pixantrone (9-12).
- 1.
Reaction of DNA template containing the lac UV5 promoter with the drug of interest. Producing stable drug-DNA interactions suitable for transcriptional analysis requires conditions specific to the drug of choice. The drug-DNA complex must be relatively stable in order to survive the cleanup procedure presented below. Alternatively, the cleanup procedure can be omitted if the reactants will not be detrimental to subsequent transcription steps. Another version of the transcription assay entails initiation of transcription prior to drug exposure. This variation is often used to probe non-covalent drug-DNA interactions, where the interaction will not be inhibitory to the initiated transcription complex and this procedure has been presented in detail elsewhere (4, 5).
- 2.
Initiation phase of transcription to form synchronized transcripts. Initiation of transcription is achieved quickly and with high fidelity using E. coli RNA polymerase and the lac UV5 promoter. Inclusion of a GpA dinucleotide ensures that the first nucleotide of the newly synthesized transcript is always at the -1 position, and therefore initiated transcripts are synchronized from a common starting point. Transcripts are stalled at 10 nucleotides in length due to the omission of CTP in the initiation mixture. Inclusion of three radiolabeled UTP (or ATP if preferred) nucleotides within the stalled initiated transcript allows for unambiguous and quantitative detection of equally labeled transcripts after electrophoresis. The synchronized initiation complex is represented diagrammatically in Fig. 1.
- 3.
Elongation phase of transcription to yield blocked transcripts. RNA polymerase progression is highly sensitive to the presence of drugs (and other physical perturbations) on the DNA template and becomes blocked at that site on the DNA. The length of transcripts therefore reveals the original location of drug-DNA complexes. Elongation of the initiated transcription complex is accomplished in the presence of high concentrations of unlabeled nucleotides. Since nucleotides are in vast excess to those used for initiation, further incorporation of radiolabeled UTP (or ATP) is not an issue, and therefore does not impede subsequent quantitative analysis.
Synchronized transcription initiation complex. Initiation of the lac UV5 promoter with E. coli RNA polymerase GpA, ATP, GTP and [α −32P] UTP (in the absence of CTP) results in a stable transcription complex containing a nascent RNA ten nucleotides in length (indicated by an arrowhead). The nascent RNA begins at the −1 position with G of GpA in the initiation mixture. Radiolabelled [α-32P] UTP is incorporated into the nascent RNA in three locations (shown by asterisks)
2 Materials
2.1 Preparation of 512 bp DNA Fragment Containing the lac UV5 Promoter
- 1.
Glycerol stock of plasmid containing the lac UV5 promoter (selection of promoter, see Note 1). We routinely use the plasmid pCC1 (13).
- 2.
Qiagen maxi plasmid purification kit (QIAGEN, Hilden, Germany).
- 3.
Restriction endonucleases PvuII and HindIII.
- 4.
Elutrap electroelution apparatus and membranes (Whatman, Kent, UK).
- 5.
Agarose, molecular biology certified (Bio-Rad, Hercules, California).
- 6.
Ultrapure buffer-saturated phenol (Invitrogen, Carlsbad, California).
- 7.
Chloroform for liquid chromatography (Merck, Darmstadt, Germany).
- 8.
Sodium acetate, anhydrous (Merck, Darmstadt, Germany).
- 9.
Ethanol (Biolab, Clayton, Australia).
- 10.
1× TBE buffer (Tris-borate-EDTA) buffer: 90 mM Tris, 90 mM boric acid, 2 mM EDTA, pH 8.3. Store at room temperature as a 10× stock (see Note 2).
- 11.
1× TE buffer (Tris-EDTA) buffer: 10 mM Tris-HCl, 1 mM EDTA, pH 8.0. Store in aliquots at −20°C.
- 12.
Transilluminator (Model TVC-312A, 312 nm, Spectroline, Spectronics, New York).
2.2 In vitro Transcription Assay
2.2.1 Individual Reagents
- 1.
Dinucleotide GpA (guanylyl (3′-5′) adenosine) (Ribomed Technologies, Inc., Carlsbad, California). Make up a 2 mM stock solution in Milli-Q water and store at −20°C.
- 2.
Ribonucleotides consisting of ATP, CTP, GTP, and UTP (RNase free). Supplied individually in purified water as 100 mM (pH 7.5) solutions (GE Healthcare, Buckinghamshire, UK).
- 3.
Methoxy nucleotides for sequencing (eg. 3′-methoxy CTP and 3′-methoxy ATP) (see Note 3).
- 4.
E. coli RNA polymerase, 1U/μL (USB Corp, Cleveland, Ohio).
- 5.
[α-32P] UTP, 3,000 Ci/mmol (Perkin Elmer, Waltham, MA, USA).
- 6.
Dithiothreitol (BioVectra, Charlottetown, Canada). Make up a 200 mM solution in Milli-Q water (see Note 4).
- 7.
BSA, RNase/DNase free, approximately 2.5 mg/mL (GE Healthcare, Buckinghamshire, UK).
- 8.
RNAguard™ (human placental), approximately 30 U/μL (GE Healthcare, Buckinghamshire, UK).
- 9.
Heparin, ammonium salt (porcine intestinal mucosal) (Sigma, St Louis, MO). Make a 2 mg/mL stock solution in 1 × Tc (10 × Tc recipe is given below in subheading 2.2.2) and store at −20°C.
2.2.2 Reagent Mixes
- 1.
10× Transcription buffer (Tc): 400 mM Tris-HCl (pH 8.0), 1 M KCl, 30 mM MgCl2, and 1 mM EDTA. Autoclave, then store in aliquots at −20°C (see Note 5).
- 2.
6× Initiation mix (IM): 1.2 mM GpA, 30 μM GTP, 30 μM ATP, and 2 μCi/μL [α-32P] UTP in 1× Tc.
- 3.
3× Elongation nucleotide mix (EM): 6 mM each of CTP, ATP, GTP, and UTP in transcription buffer containing 1.2 M KCl.
- 4.
Sequencing solutions [eg. 10% Methoxy CTP/90% CTP (MeC mix)]. Make a solution in transcription buffer containing 30 μM 3′ methoxy CTP, 0.27 mM CTP, 6 mM ATP, 6 mM GTP, and 6 mM UTP and 1.2 M KCl (see Note 6). Store in small aliquots at −20°C.
- 5.
Termination/loading buffer: 9 M urea, 10% sucrose, 40 mM EDTA, 0.1% xylene cyanol, 0.1% bromophenol blue in 2× TBE buffer, pH 7.5.
3 Methods
Diagrammatic representation of the transcription assay. The major steps are formation of drug-DNA adducts within the 512 bp DNA fragment, binding of RNA polymerase selectively to the lac UV5 promoter (in the presence of heparin), formation of a synchronized initiated transcription complex, and elongation of the transcription complex to yield drug-induced blocked transcripts of varied lengths which terminate at defined locations of the DNA template
Typical in vitro transcription protocol for drug-DNA concentration dependence studies. The 512 bp DNA template is reacted with drug under suitable conditions and then subjected to cleanup. The transcription mix (TM) is prepared and other samples required are initiation (I), sequencing (e.g., A and C), control (E) and drug-treated (S1-S4). The circled letters represent the end point of transcription for each of these samples where termination/loading buffer is added and samples subjected to electrophoresis
Comparison of blocked transcripts induced by the anticancer drugs mitoxantrone, pixantrone and doxorubicin. Multiple reactions were run in parallel, each containing the 512 bp DNA fragment (25 μMbp) and either of the following: 0-20 μM mitoxantrone and 5 mM formaldehyde; 0-5 μM pixantrone and 2 mM formaldehyde; 0-1 μM doxorubicin and 1 mM formaldehyde. Each reaction was incubated for 4 h, ethanol precipitated, resuspended and subjected to transcription. Transcription was initiated from the lac UV5 promoter of each sample, allowed to elongate for 5 min and subsequently terminated. Lane “I” represents the initiated complex prior to elongation, “E” represents elongated complex in the absence of drug and lanes “A” and “C” are sequencing lanes. The lengths of some of the transcripts are shown on the left-hand side of the autoradiogram
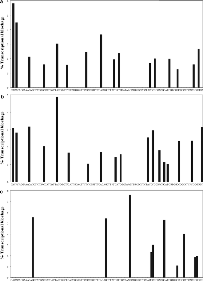
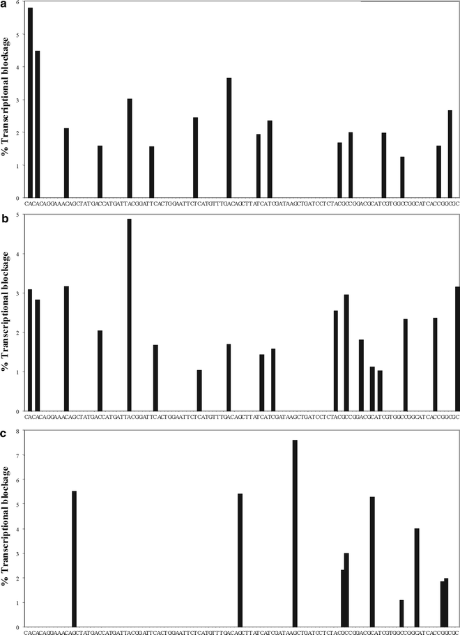
The sequence selectivity of (a) mitoxantrone, (b) pixantrone, and (c) doxorubicin. The % transcriptional blockage of each transcript in either the 20 μM mitoxantrone, 5 μM pixantrone or 0.25 μM doxorubicin lane (from Fig. 4) was quantitated and is expressed as a function of the sequence of a portion of the 512 bp DNA fragment. The nucleotide sequence of the non-template DNA strand is shown. To simplify the histogram transcriptional blockages less than an arbitrary value of 1% have been omitted (reprinted from Evison et al. (12), Copyright© 2008, by permission of the publisher American Society for Pharmacology and Experimental Therapeutics)
Elongation of the transcription complex past pixantrone-induced blockage sites. (a) The 512 bp fragment was initially reacted with 5 μM pixantrone and 2 mM formaldehyde for 4 h. Following ethanol precipitation, drug-reacted DNA was resuspended and transcription initiated from the lac UV5 promoter. Elongation of the initiated complex was then allowed to proceed at 37°C for time periods ranging from 5 to 240 min. Lanes E1 and E2 are control lanes representing the initiated transcription complex that had been allowed to elongate in the absence of drug for 5 and 240 min, respectively. (b) Several drug-induced blockage sites, including 52-mer (open square), 59-mer (solid square), 80-mer (solid circle), 108-mer (open circle) and 120-mer (solid diamond) were quantitated and subjected to first-order kinetic analysis (reprinted from Evison et al. (12), Copyright© 2008, by permission of the publisher American Society for Pharmacology and Experimental Therapeutics). The half-life of each pixantrone-induced blockage is summarised in Table 1
3.1 Preparation of 512 bp DNA Fragment Containing the lac UV5 Promoter
- 1.
Set up a restriction digest of 20 μg pCC1 using PvuII and HindIII (see Note 7). Subject a small aliquot of this mix to electrophoresis using a 1% agarose gel to assess if liberation of the 512 bp fragment has been completed.
- 2.
To separate the two DNA fragments, subject the restriction digest to electrophoresis using a 1.5% mini submarine agarose gel in 1× TBE buffer (lacking ethidium bromide) for 2 h at 10 V/cm (see Note 8).
- 3.
Cut a thin lengthwise slice from each side of the gel and stain with 0.5 μg/mL ethidium bromide.
- 4.
Place the gel on a transilluminator and align the gel slice with the main gel. Visualise the location of the 512 bp fragment in the gel slice and excise the 512 bp fragment from the main agarose gel.
- 5.
Place the agarose gel slice in an Elutrap chamber (Whatman) and electroelute the DNA fragment (see Notes 9 and 10).
- 6.
Purify the DNA further by extracting with an equal volume of phenol followed by extraction with an equal volume of chloroform and then subject to ethanol precipitation.
- 7.
Redissolve the DNA in TE buffer to a concentration of approximately 100 ng/μL (200 nM).
3.2 In vitro Transcription Assay
3.2.1 Initiation of Transcription
- 1.
To a sterile Eppendorf tube, add lac UV5 DNA fragment (approximately 25 nM final concentration), 10× Tc (1× final concentration), DTT (10 mM final concentration), BSA (125 µg/mL final concentration), RNase Inhibitor (1 U/μL final concentration), and Milli-Q water in a total volume of 20 μL.
- 2.
Add 1 μL E. coli RNA polymerase, mix gently, and incubate for 15 min at 37°C.
- 3.
Add 5 μL of heparin and incubate for 5 min at 37°C.
- 4.
Add 5 μL of initiation mix (IM) and return to incubation at 37°C.
- 5.
After 5 min at 37°C this mixture results in the formation of the initiated complex. Take a 5 μL aliquot and add to 5 μL termination/loading buffer on ice.
3.2.2 Elongation of Initiated Transcripts
- 1.
Place a 10 μL aliquot of the initiated complex into an Eppendorf tube containing 5 μL of elongation mix (EM) and return to incubation at 37°C.
- 2.
After 1 min at 37°C, take a 5 μL aliquot of the elongated complex and add to 5 μL termination/loading buffer on ice.
- 3.
After 5 min at 37°C, take a 5 μL aliquot of the elongated complex, and add to 5 μL termination/loading buffer on ice.
- 4.
After 15 min at 37°C, take a 5 μL aliquot of the elongated complex, and add to 5 μL termination/loading buffer on ice (see Note 11).
3.2.3 Sequencing of Initiated Transcripts
- 1.
Place two 5 μL aliquots of the initiated transcript into separate Eppendorf tubes.
- 2.
Add 2.5 μL of MeC mix to one and 2.5 µL MeA mix to the other.
- 3.
Incubate at 37°C for 5 min, then add an equal volume of termination/loading buffer to both samples, and place on ice.
3.2.4 Denaturing Gel Electrophoresis
- 1.
Prepare a 12% acrylamide denaturing sequencing gel (19:1 acrylamide:bisacrylamide, containing 7 M urea) in TBE buffer.
- 2.
Subject gel to pre-electrophoresis for 30 min to 1 h to heat gel to approximately 60°C (typically 2000 V, approximately 100 W).
- 3.
Denature all samples (generated in steps 1-3 of Subheading 3.2 above) at 90°C for 5 min, then quench immediately on ice.
- 4.
Rinse the wells of the gel with 1× TBE buffer then load 4-6 μL of each sample into each well.
- 5.
Subject gel to electrophoresis until the bromophenol blue migrates approximately 75% of the length of the gel (1-2 h). Fix gel in 10% glacial acetic acid/10% methanol, rinse in distilled water, and then transfer onto Whatman 3MM paper.
- 6.
Vacuum dry the gel.
3.2.5 Formation of Drug-DNA Adducts
- 1.
Incubate the lac UV5 DNA fragment (approximately 400 ng/sample) with the drug of interest using the appropriate drug activation conditions (see Notes 12 and 13). A good parameter to investigate initially is a range of drug concentrations. For an example of drug reaction conditions, refer to Fig. 4. Include a mock reaction that can be used for initiation, control, and sequencing lanes in subsequent transcription reactions.
- 2.
Make up the volume of each sample to 200 μL using TE.
- 3.
Add 200 μL of Tris-saturated phenol, vortex and centrifuge at full speed in a benchtop microcentrifuge for 5 min.
- 4.
Transfer the top aqueous phase to a fresh Eppendorf tube.
- 5.
Repeat steps 3 and 4 (see Note 14).
- 6.
Add 200 μL of chloroform, vortex and centrifuge at full speed in a benchtop microcentrifuge for 5 min.
- 7.
Ethanol precipitate the drug-reacted DNA using standard procedures.
- 8.
Redissolve the DNA samples in TE buffer to a concentration of approximately 50 ng/μL (100 nM).
3.2.6 Transcription of Drug-Reacted DNA
- 1.
To a sterile Eppendorf tube, add DTT (10 mM final concentration), 10× Tc (1× final concentration), BSA (125 μg/mL final concentration), RNase Inhibitor (1 U/μL final concentration), RNA polymerase (100 nM final concentration) and Milli-Q water in a total volume of 35 μL. This mixture comprises the transcription mix (TM) and is sufficient for all transcription control samples and approximately 4 drug-reacted samples.
- 2.
For control transcription reactions, add 4 μL mock treated DNA (control sample as outlined in Subheading 3.2.5) to a separate sterile Eppendorf tube. For each drug reacted DNA sample, add 1.5 μL per fresh Eppendorf tube.
- 3.
Add 12 μL of TM to the control DNA sample and 4.5 μL TM to each drug-reacted DNA sample.
- 4.
Incubate samples for 15 min at 37°C.
- 5.
Add heparin to each tube; 4 μL to the control sample and 1.5 μL to each drug reacted DNA sample.
- 6.
Incubate for 5 min at 37°C.
- 7.
Add IM to each tube; 4 μL to the control sample and 1.5 μL to each drug reacted DNA sample.
- 8.
Incubate for 5 min at 37°C.
- 9.
Take a 5 μL aliquot of the control mixture and add to 5 μL termination/loading buffer on ice.
- 10.
Take 2 × 5 μL aliquots of the control mixture and add to sequencing mixes; one to 2.5 μL MeC mix and one to 2.5 μL MeA mix.
- 11.
Take a 5 μL aliquot of the control mixture and add to 2.5 μL EM.
- 12.
Add 4.5 μL EM to each tube of drug-reacted DNA sample.
- 13.
Incubate tubes from points 10-12 above at 37°C for 1, 5 or 15 min (as determined to be appropriate from Subheading 3.2.2).
- 14.
Add an equal volume of loading/termination buffer to each sample and place samples on ice.
- 15.
Resolve truncated transcripts by electrophoresis as described in Subheading 3.2.4.
3.2.7 Phosphor Imaging and Analysis
- 1.
Place the dried gel in contact with a phosphor plate for 1 h (or up to overnight if necessary).
- 2.
Scan the phosphor plate with a phosphorimaging system.
- 3.
Analyse and quantitate the scanned image using an appropriate software program such as Image Quant. Normalise each transcript with respect to the total intensity in each lane to yield the percentage of each transcript in each reaction mixture. The sequencing lanes are used to determine the precise length of each transcript. The percentage of RNA blocked at each site is an indication of the relative occupancy at each site.
3.2.8 Drug Dissociation Kinetics
The stability of pixantrone-DNA adducts at discrete binding sites. The underlined nucleotide (non-template sequence) represents the site of each transcriptional blockage that was selected for quantitation in Fig. 6 b (reprinted from Evison et al. (12), Copyright© 2008, by permission of the publisher American Society for Pharmacology and Experimental Therapeutics)
| Site | Sequence | Half-life (min) | |
|---|---|---|---|
| 52 | ACGG | 30 | |
| 59 | TCAC | 40 | |
| 80 | ACAG | >180 | |
| 108 | ACGC | >180 | |
| 120 | TCGT | 134 |
4 Notes
- 1.
The promoter selected for this assay must fulfil a number of suitable criteria. The promoter must accommodate a high fidelity of transcription from its start site and permit the initiated transcription complex to possess a half-life of at least several hours. Ideally, no additional transcription activating elements such as CAP and cAMP should be required. These requirements have been fully summarized previously along with a list of promoters that satisfy these criteria (4, 5).
- 2.
It is important to use high purity sterile water to prepare all solutions for this procedure since the presence of trace amounts of metal ions, bacteria or nucleases can completely destroy transcription complexes.
- 3.
Two methoxy nucleotides are generally sufficient for sequencing purposes. These should be chosen based on the expected sequence specificity of the agent under investigation. Alternatively, dideoxynucleotides can be utilised.
- 4.
DTT has a limited half-life. Store in frozen aliquots and use a fresh aliquot for each experiment.
- 5.
The exact MgCl2 concentration is critical to ensure that transcription proceeds efficiently and that natural pausing by the RNA polymerase is minimised.
- 6.
The sequencing mixes are made up as 3× mixes and can be made for any of the four ribonucleotides. Dideoxynucleotides can be used as an alternative to methoxy nucleotides for sequencing reactions. However, a higher concentration is required to ensure adequate incorporation of the dideoxynucleotide.
- 7.
Alternatively, use appropriate restriction enzymes or PCR primers to isolate the lac UV5 promoter from other sources as appropriate.
- 8.
If ethidium bromide is included in the agarose gel, then single-strand nicks may be induced in the DNA, and this will result in a high background of truncated transcripts during the elongation phase of the transcription assay.
- 9.
The Elutrap electroelution procedure has a high efficiency of recovery of DNA from agarose (typically greater than 95%).
- 10.
Pierce the agarose slice with a pipette tip to inject a small amount of loading dye containing bromophenol blue before electroelution. Location of this dye in the electroelution trap after electroelution will help to assess that the process is complete.
- 11.
Comparing the amount of full length transcript produced after three different time periods will allow selection of the optimal conditions for further experiments, and the repetition involved also allows experimenters to become competent with the technique before progressing to more complex experiments involving the transcription of multiple drug-reacted DNA samples.
- 12.
This procedure can be simplified by incubating the initiated transcript directly with drug as previously described (4, 5). This is mandatory if non-covalent drug-DNA interactions are being analysed. Some covalent drug-DNA interactions can also be assessed using this technique, but only if the initiated transcription complex is not damaged by the drug of choice.
- 13.
Subsaturating levels of drug are ideal as this ensures that most drug binding sites are unoccupied, and subsequently a range of truncated transcript lengths that define different blockage sites can be obtained. If drug levels were saturating, transcription would terminate at the first blockage site encountered, thus revealing limited information.
- 14.
The cleanup procedure chosen needs to be relevant to the drug of choice. The procedure is required to remove non-covalently bound drug that may interfere with transcription and other agents that are detrimental to subsequent formation of the transcription complex.
Notes
Acknowledgments
We thank the Australian Research Council (ARC), National Health and Medical Research Council (NHMRC), and The CASS Foundation for funding our research.
References
- 1.Hampshire AJ, Rusling DA, Broughton-Head VJ, Fox KR (2007) Footprinting: a method for determining the sequence selectivity, affinity and kinetics of DNA-binding ligands. Methods 42:128-140CrossRefPubMedGoogle Scholar
- 2.Murray VA (1999) A survey of the sequence-specific interaction of damaging agents with DNA: emphasis on antitumor agents. Prog Nucleic Acid Res Mol Biol 63:367-415CrossRefPubMedGoogle Scholar
- 3.Portugal J (1989) Footprinting analysis of sequence-specific DNA-drug interactions. Chem Biol Interact 71:311-324CrossRefPubMedGoogle Scholar
- 4.Phillips DR, Cutts SM, Cullinane CM, Crothers DM (2001) High-resolution transcription assay for probing drug-DNA interactions at individual drug sites. Methods Enzymol 340:466-485CrossRefPubMedGoogle Scholar
- 5.Phillips DR, Cullinane CM, Crothers DM (1998) An in vitro transcription assay for probing drug-DNA interactions at individual drug sites. Mol Biotechnol 10:63-75CrossRefPubMedGoogle Scholar
- 6.White RJ, Phillips DR (1988) Transcriptional analysis of multisite drug-DNA dissociation kinetics: delayed termination of transcription by actinomycin D. Biochemistry 27:9122-9132CrossRefPubMedGoogle Scholar
- 7.Trist H, Phillips DR (1989) In vitro transcription analysis of the role of flanking sequence on the DNA sequence specificity of adriamycin. Nucleic Acids Res 17:3673-3688CrossRefPubMedGoogle Scholar
- 8.Panousis C, Phillips DR (1994) DNA sequence specificity of mitoxantrone. Nucleic Acids Res 22:1342-1345CrossRefPubMedGoogle Scholar
- 9.Cullinane C, Phillips DR (1990) Induction of stable transcriptional blockage sites by adriamycin: GpC specificity of apparent adriamycin-DNA adducts and dependence on iron(III) ions. Biochemistry 29:5638-5646CrossRefPubMedGoogle Scholar
- 10.Gray PJ, Cullinane C, Phillips DR (1991) In vitro transcription analysis of DNA alkylation by nitrogen mustard. Biochemistry 30:8036-8040CrossRefPubMedGoogle Scholar
- 11.Parker BS, Cutts SM, Phillips DR (2001) Cytosine methylation enhances mitoxantrone-DNA adduct formation at CpG dinucleotides. J Biol Chem 276:15953-15960CrossRefPubMedGoogle Scholar
- 12.Evison BJ, Chiu F, Pezzoni G, Phillips DR, Cutts SM (2008) Formaldehyde-activated Pixantrone is a monofunctional DNA alkylator that binds selectively to CpG and CpA doublets. Mol Pharmacol 74:184-194CrossRefPubMedGoogle Scholar
- 13.Cullinane C, Phillips DR (1993) Thermal stability of DNA adducts induced by cyanomorpholinoadriamycin in vitro. Nucleic Acids Res 21:1857-1862CrossRefPubMedGoogle Scholar





