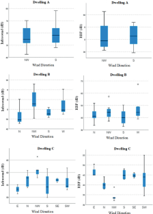
Abstract
Technological advances in the construction of wind turbines with lower noise emission have been many, however they continue to be responsible for producing infrasound and low frequency noise that can affect the quality of life of human populations (hypertension, discomfort, sleep disorders, among others). Assess the levels of infrasound and low-frequency noise at which residents in the vicinity of the wind turbines were taking into account wind direction, air speed and distance to the source. The analytical collection was carried out inside houses in the district of Viana do Castelo, using a CESVA SC420 sound level meter. The distance to the noise source was not a relevant factor in the attenuation. The wind speed and direction were responsible for the noise expression. The southernmost dwellings in the region under study were more exposed to higher levels of this types of noise. It is important to adopt territorial management measures taking into account the protection of public health, environmental impact studies within the scope of the types of noise and safety distances, taking into account the population.
Keywords
- Infrasound
- Wind turbines
- Noise pollution
- Vibroacoustic disease
- Sound pressure level
This is a preview of subscription content, access via your institution.
Buying options


References
Alves-Pereira, M., Branco, N.C.: Sobre o impacto das infraestruturas e do ruído de baixa frequência na saúde pública-Dois casos de exposição residencial. Revista Tecnologias Lusófonas De Ciências Da Saúde 2(4), 186–200 (2007a)
Alves-Pereira, M., Branco, N.C.: Vibroacoustic disease: biological effects of infrasound and low-frequency noise explained by mechanotransduction cellular signalling. Prog. Biophys. Mol. Biol. 93(1–3), 256–279 (2007b)
Alves-Pereira, M., Branco, N.C.: Contribuição para o conceito dose-resposta em exposições a infrassons e ruído de baixa frequência. Revista Lusófona De Ciências e Tecnologias Da Saúde 6(1), 31–44 (2009)
Almeida, J.: Análise geográfica do risco de exposição a infrasons e ruído de baixa frequência nas turbinas eólicas. Dissertação de Doutoramento, Universidade de Coimbra, Faculdade de Geografia (2018)
Antunes, M.: Exposição a ruídos de baixa frequência em ambientes ocupacionais vs. repercussões na qualidade do sono. Dissertação de Mestrado, Faculdade de Medicina, Universidade de Lisboa (2009)
Bento, E.: A incomodidade do ruído: Relações com o nível de exposição sonoro e identidade de lugar. Dissertação de Mestrado, Faculdade de Psicologia da Universidade de Lisboa (2011)
Berglund, B., Hassmén, P., Job, R.: Sources and effects of low-frequency noise. J. Acoust. Soc. Am. 99(5), 2985–3002 (1996)
Carvalho, A., Rocha, C.: Manual técnico para elaboração de planos municipais de redução de ruído. Agência Portuguesa do Ambiente, Lisboa (2008)
Cassou, B.: Medir a qualidade de vida numa idade avançada. Servir 49(5), 237–238 (2001)
ENEOP Eólicas de Portugal: Vantagens e desvantagens da Energia Eólica. Consultado a 7 de Maio de 2021 (s.d). http://www.portal-energia.com/vantagens-desvantagens-da-energia-eolica/
EEA: Good practice guide on noise exposure and potential health effects. EEA Technical report, vol. 11. European Environment Agency, Copenhagen (2010)
Fernandes, E., et al.: Energias renováveis. Atelier Nunes e Pa, Porto (2009)
Filho, W., Azevedo, A.: Impactos ambientais em usinas eólicas. In: Agrener, G.D. (ed.). Itajubá, 15–17 Maio, pp. 1–17 (2013)
Freitas, L., Cordeiro, T.: Segurança e saúde do trabalho—Guia para micro, pequenas e médias empresas. Autoridade para as Condições do Trabalho, Lisboa (2013)
Maia, D.: Ruído de parques eólicos: análise e caraterização. Dissertação de Mestrado, Faculdade de Engenharia, Universidade do Porto (2010)
Mendes, B., Silva, L.: Impacto do ruído na saúde e qualidade de vida das pessoas—O caso da cidade de Guimarães (Portugal). In: Construção saudável—Saúde no ambiente construído, Guimarães, 4 Outubro, pp. 1–14 (2017)
Santos, S., Pina, M., Carvalho, M.: Os sistemas de informações geográficas. In: Carvalho, M., Pina, M., Santos, S. (eds.) Conceitos básicos de sistema de informação geográfica e cartografia aplicados à saúde. Organização Pan-Americana de Saúde, Brasília (2000)
Stansfeld, S., Matheson, M.: Noise pollution: non-auditory effects on health. Br. Med. Bull. 68, 243–257 (2003)
Stewart, J.: Location, location, location—an investigation into wind farms and noise (2006). Consultado a 20 de outubro de 2020 http://isbm.smeal.psu.edu/library/working-paper-articles/2004-working-papers/08-2004-how-structural-embeddedness-affects.pdf
Tang, U., Wang, Z.: Influências das formas urbanas no ruído induzido pelo tráfego e na poluição atmosférica—resulta de um sistema de modelização. Modelação Ambiental and Software 22, 1750–1764 (2007)
Van Den Berg, G.P.: The beat is getting stronger: the effect of atmospheric stability on low frequency modulated sound of wind turbines. J. Low Freq. Noise Vib. Act Control 24(1), 1–24 (2005)
WHO: Environmental Health Criteria for Noise. World Health Organization, Geneva (1980)
WHO: Environmental Health Inequalities in Europe. World Health Organization, Copenhagen (2012)
Author information
Authors and Affiliations
Corresponding author
Editor information
Editors and Affiliations
Rights and permissions
Copyright information
© 2023 The Author(s), under exclusive license to Springer Nature Switzerland AG
About this chapter
Cite this chapter
Trigueiro, C., Almeida, J., Figueiredo, J.P., Ferreira, A. (2023). Assessment of Infrasound and Low Frequency Noise—Case Study in a Community of Inhabitants Near Wind Turbines. In: , et al. Occupational and Environmental Safety and Health IV. Studies in Systems, Decision and Control, vol 449. Springer, Cham. https://doi.org/10.1007/978-3-031-12547-8_14
Download citation
DOI: https://doi.org/10.1007/978-3-031-12547-8_14
Published:
Publisher Name: Springer, Cham
Print ISBN: 978-3-031-12546-1
Online ISBN: 978-3-031-12547-8
eBook Packages: EngineeringEngineering (R0)
