Abstract
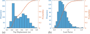
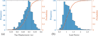
With the increasing reliance on the constant flow of electricity, risk-based management strategies are increasingly needed to ensure that with limited available resources, the grid can maintain high reliability and resilience. A growing concern in meeting this objective is the impact of climatic extremes, as the wide exposure of the power grid infrastructure has resulted in a system that is inherently vulnerable to extreme climatic hazards which are exacerbated by climate change. Analyzing the likelihood of damage induced by extreme hazards is critical for developing risk-informed strategies. Overhead structures, in particular, may experience a wide spectrum of damage types and degrees during hurricanes. Beyond the collapse state of transmission towers, which has been investigated in the past, non-collapse damage states in lattice towers require further attention as they can assist with performance-based design, grid recovery planning, and hardening decisions in preparation for extreme events. The present study establishes a set of performance-based limit states for lattice transmission towers subject to wind-induced extreme loadings. Specifically, five damage states including no damage, slight, moderate, and extensive damage, and collapse are defined. These limit states are founded on the nonlinear behavior of lattice towers and the type and severity of failures in tower elements and connections, as they relate to the repair or replacement requirements of towers. Focusing on a double circuit vertical steel lattice transmission tower as a case study, the proposed limit states are evaluated by generating a large number of random realizations of a diverse set of uncertain variables including those related to wind pressure and material properties using Latin Hypercube sampling method. The generated realizations are used in a set of nonlinear pushover analyses to investigate the performance of the tower at various loading levels. Subsequently, multi-state fragility functions are developed via logistic regression. These fragility models constitute a key step toward reliable extreme wind hazard risk assessment of the transmission grid and can assist with risk-informed decision-making in support of a resilient power grid.
This is a preview of subscription content, access via your institution.
Buying options
Tax calculation will be finalised at checkout
Purchases are for personal use only
Learn about institutional subscriptions













References
ASCE No. 07 (2016) Minimum design loads for buildings and other structures. American Society Civil Engineers (ASCE). Reston, VA, USA
ASCE No. 74 (2009) Guidelines for electrical transmission line structural loading. American Society of Civil Engineers (ASCE). Reston, VA, USA
Akaike H (1998) Information theory and an extension of the maximum likelihood principle. In: Selected papers of hirotugu akaike. Springer, New York, pp 199–213
Darestani YM, Shafieezadeh A (2019) Multi-dimensional wind fragility functions for wood utility poles. Eng Struct 183:937–948
Darestani YM, Shafieezadeh A, Cha K (2020) Effect of modelling complexities on extreme wind hazard performance of steel lattice transmission towers. Struct Infrastruct Eng 16(6):898–915
Darestani YM, Wang Z, Shafieezadeh A (2019) Wind reliability of transmission line models using kriging-based methods. In: Paper presented at the13th International Conference on Applications of Statistics and Probability in Civil Engineering (ICASP13), Seoul, South Korea, 26–30 May 2019
Dehghani NL, Darestani YM, Shafieezadeh A (2020) Optimal life-cycle resilience enhancement of aging power distribution systems: a MINLP-based preventive maintenance planning. IEEE Access 8:22324–22334
Dehghani NL, Jeddi AB, Shafieezadeh A (2021) Intelligent hurricane resilience enhancement of power distribution systems via deep reinforcement learning. Appl Energy 285: 116355
Ellingwood BR, Tekie PB (1999) Wind load statistics for probability-based structural design. J Struct Eng 125(4):453–463
Fereshtehnejad E, Shafieezadeh A (2016) Multiple hazard incidents lifecycle cost assessment of structural systems considering state-dependent repair times and fragility curves. Earthquake Eng Struct Dynam 45(14):2327–2347
Hosmer DW, Lemeshow S, Sturdivant RX (2013) Applied logistic regression, vol 398. Wiley
Huang M, Wu L, Xu Q, Wang Y, Lou W, Bian R (2020) Bayesian approach for typhoon-induced fragility analysis of real overhead transmission lines. J Eng Mech 146(9):04020092
Jeddi AB, Shafieezadeh A, Hur J, Kim M, Ha J (2020) Fragility assessment of overhead transmission towers under typhoon and earthquake multi-hazard events. In: Transactions of the korean nuclear society, autumn meeting
Jiang WQ, Liu YP, Chan SL, Wang ZQ (2017) Direct analysis of an ultrahigh-voltage lattice transmission tower considering joint effects. J Struct Eng 143(5):04017009
Jiang WQ, Wang ZQ, McClure G, Wang GL, Geng JD (2011) Accurate modeling of joint effects in lattice transmission towers. Eng Struct 33(5):1817–1827
Kroetz HM, Tessari RK, Beck AT (2017) Performance of global metamodeling techniques in solution of structural reliability problems. Adv Eng Softw 114:394–404
McKenna F (2011) OpenSees: a framework for earthquake engineering simulation. Comput Sci Eng 13(4):58–66
Rezaei SN (2017) Fragility assessment and reliability analysis of transmission lines subjected to climatic hazards (Doctoral dissertation, McGill University)
Roueche D, Cleary J, Gurley K, Marshall J, Pinelli J, Prevatt D, Smith D, Alipour A, AngelesK, Davis B, Gonzalez C (2018) StEER—hurricane Michael: field assessment team 1 (FAT-1) early access reconnaissance report (EARR). DesignSafe-CI. https://doi.org/10.17603/DS2G41M
StEER (2017) NSF Structural Extreme Events Reconnaissance (StEER) Network, Fulcrum Community, Accessed 1 Mar 2021
Tessari RK, Kroetz HM, Beck AT (2017) Performance-based design of steel towers subject to wind action. Eng Struct 143:549–557
Ungkurapinan N (2000) A study of joint slip in galvanized bolted angle connections
Uriz P, Filippou FC, Mahin SA (2008) Model for cyclic inelastic buckling of steel braces. J Struct Eng 134(4):619–628
Xue J, Mohammadi F, Li X, Sahraei-Ardakani M, Ou G, Pu Z (2020) Impact of transmission tower-line interaction to the bulk power system during hurricane. In: Reliability engineering & system safety, vol 203, p 107079
Acknowledgements
This paper is based upon work supported by the Division of Civil, Mechanical and Manufacturing Innovation, National Science Foundation under Grants Nos. CMMI-1635569, CMMI-1762918, and CMMI-2000156. These supports are greatly appreciated.
Author information
Authors and Affiliations
Corresponding author
Editor information
Editors and Affiliations
Rights and permissions
Copyright information
© 2022 The Author(s), under exclusive license to Springer Nature Switzerland AG
About this chapter
Cite this chapter
Darestani, Y.M., Jeddi, A.B., Shafieezadeh, A. (2022). Hurricane Fragility Assessment of Power Transmission Towers for a New Set of Performance-Based Limit States. In: Stewart, M.G., Rosowsky, D.V. (eds) Engineering for Extremes. Springer Tracts in Civil Engineering . Springer, Cham. https://doi.org/10.1007/978-3-030-85018-0_8
Download citation
DOI: https://doi.org/10.1007/978-3-030-85018-0_8
Published:
Publisher Name: Springer, Cham
Print ISBN: 978-3-030-85017-3
Online ISBN: 978-3-030-85018-0
eBook Packages: EngineeringEngineering (R0)
