Abstract
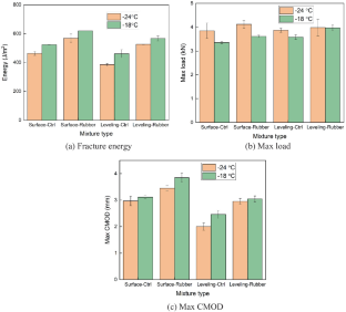
The paper evaluated the low temperature performance of the bituminous mixtures, which were produced in the plant using the dry process and compacted in the laboratory. ElastikoR crumb rubber was chosen to modify the bituminous mixture. Four types of bituminous mixtures, including leveling layer and surface layer gradation with and without crumb rubber, were produced in a plant in Iron Mountain, MI. The volumetric design of the mixture followed the Superpave mixture design. The leveling layer and surface layer mixture used 25 and 17% recycled asphalt pavement (RAP) (by weight of bituminous mixture). To improve the moisture resistance, dosages of 0.125 and 0.08% anti-stripping agent (by weight of bitumen) were selected for the leveling layer and surface layer. The low temperature cracking properties of four types of bituminous mixtures were evaluated using the Disk-shaped Compact Tension (DCT) test. The RAP content, bitumen content, and nominal maximum aggregate size (NMAS) influenced the low temperature cracking performance of the bituminous mixture. The fracture energy of the surface layer bituminous mixture was higher than that of the leveling layer bituminous mixture. The cracking resistance of the leveling layer and surface layer bituminous mixture were improved after the addition of rubber. The maximum CMOD was linearly correlated with the fracture energy of different types of bituminous mixtures.
Keywords
- Rubber
- DCT
- Dry process
- Low temperature cracking
- Bituminous materials
This is a preview of subscription content, access via your institution.
Buying options
Tax calculation will be finalised at checkout
Purchases are for personal use only
Learn about institutional subscriptions

References
Chavez, F., Marcobal, J., Gallego, J.: Laboratory evaluation of the mechanical properties of asphalt mixtures with rubber incorporated by the wet, dry, and semi-wet process. Constr. Build. Mater. 205, 164–174 (2019)
Ge, D., You, Z., Chen, S., Liu, C., Gao, J., Lv, S.: The performance of asphalt binder with trichloroethylene: improving the efficiency of using reclaimed asphalt pavement. J. Cleaner Prod. 232, 205–212 (2019)
Chen, S., Gong, F., Ge, D., You, Z., Sousa, J.: Use of reacted and activated rubber in ultra-thin hot mixture asphalt overlay for wet-freeze climates. J. Cleaner Prod. 205, 369–378 (2019)
Zhou, H., Holikatti, S., Vacura, P.: Caltrans use of scrap tires in asphalt rubber products: a comprehensive review. J. Traffic Transp. Eng. 1(1), 39–48 (2014)
Oliveira, J., Silva, H., Abreu, L., Fernandes, S.: Use of a warm mix asphalt additive to reduce the production temperatures and to improve the performance of asphalt rubber mixtures. J. Cleaner Prod. 41, 15–22 (2013)
Acknowledgments
This study is sponsored by the Michigan Department of Environment, Great Lakes, and Energy (EGLE), the former Michigan Department of Environmental Quality (MDEQ), through the Dickinson County Road Commission of the United States. Trademark or manufacturers’ names appear in this paper only because they are considered essential to the objectives of this paper.
Author information
Authors and Affiliations
Corresponding author
Editor information
Editors and Affiliations
Rights and permissions
Copyright information
© 2022 The Author(s), under exclusive license to Springer Nature Switzerland AG
About this paper
Cite this paper
Ge, D., Li, X., You, Z. (2022). The Low Temperature Performance of Rubberized Bituminous Mixture Using the Dry Process. In: Di Benedetto, H., Baaj, H., Chailleux, E., Tebaldi, G., Sauzéat, C., Mangiafico, S. (eds) Proceedings of the RILEM International Symposium on Bituminous Materials. ISBM 2020. RILEM Bookseries, vol 27. Springer, Cham. https://doi.org/10.1007/978-3-030-46455-4_233
Download citation
DOI: https://doi.org/10.1007/978-3-030-46455-4_233
Published:
Publisher Name: Springer, Cham
Print ISBN: 978-3-030-46454-7
Online ISBN: 978-3-030-46455-4
eBook Packages: EngineeringEngineering (R0)
