Abstract
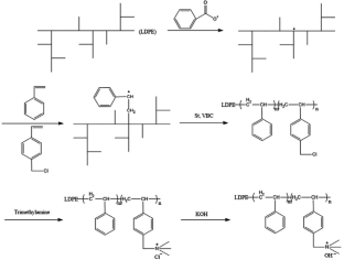
A non-radiation polyethylene-based anion exchange membrane (AEM) was synthesized by chemically grafting 4-vinylbenzyl chloride (VBC) onto it. The resulting AME with a 10% styrene addition has peak IEC value, 57% higher than the non-styrene AEM. Water uptake and mechanical properties were slightly enhanced with the presence of styrene. The addition of styrene improves the compatibility between VBC and low-density polyethylene due to the formation of compatibilizer of poly(styrene-co-VBC). These were evidenced by elemental analysis, infrared spectroscopy, [1] H NMR, and Field Emission-SEM.
Keywords
- Anion exchange membrane
- Non-radiation grafting
- Styrene effect
This is a preview of subscription content, access via your institution.
Buying options
Tax calculation will be finalised at checkout
Purchases are for personal use only
Learn about institutional subscriptions






References
Xu T (2005) Ion exchange membranes: state of their development and perspective. J Membr Sci 263(1):1–29
Li X, Zhang H, Mai Z, Zhang H, Vankelecom I (2011) Ion exchange membranes for vanadium redox flow battery (VRB) applications. Energy Environ Sci 4(4):1147–1160
Kariduraganavar MY, Nagarale RK, Kittur AA, Kulkarni SS (2006) Ion-exchange membranes: preparative methods for electrodialysis and fuel cell applications. Desalination 197(1):225–246
Tran Duy T, Sawada S-I, Hasegawa S, Katsumura Y, Maekawa Y (2013) J Membr Sci 447:19–25
Lei QY-L, Luo Y-J, Chen F, Mei L-H (2014) Polymers 6:14–19
Dekel DR (2018) Review of cell performance in anion exchange membrane fuel cells. J Power Sources 375:158–169
Hosseini SS, Bringas E, Tan NR, Ortiz I, Ghahramani M, Shahmirzadi MA (2016) Recent progress in development of high performance polymeric membranes and materials for metal plating wastewater treatment: a review. J Water Process Eng 29(9):78–110
Espiritu R, MamloukMand Scott K (2016) Int J Hydrogen Energy 41:1120–1133
Zhao Y, Pan J, Yu H, Yang D, Li J, Zhuang L et al (2013) Int J Hydrogen Energy 38(1983–1987):12882
Mamlouk M, Scott K, Horsfall JA, Williams C (2011) Int J Hydrogen Energy 36:7191–7198
Author information
Authors and Affiliations
Corresponding author
Editor information
Editors and Affiliations
Rights and permissions
Copyright information
© 2020 The Minerals, Metals & Materials Society
About this paper
Cite this paper
Huang, D., Hwang, JY., Chen, Z. (2020). Study of Styrene Effect on Non-radiation Grafting of Vinyl Benzyl Chloride on to Polyethylene-Based Anion Exchange Membrane. In: , et al. Characterization of Minerals, Metals, and Materials 2020. The Minerals, Metals & Materials Series. Springer, Cham. https://doi.org/10.1007/978-3-030-36628-5_69
Download citation
DOI: https://doi.org/10.1007/978-3-030-36628-5_69
Published:
Publisher Name: Springer, Cham
Print ISBN: 978-3-030-36627-8
Online ISBN: 978-3-030-36628-5
eBook Packages: Chemistry and Materials ScienceChemistry and Material Science (R0)
