Abstract
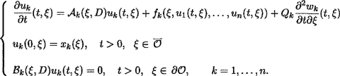
In the previous two chapters we have been dealing with stochastic reaction-diffusion systems of the following type

In those two chapters the reaction term f(ξ,.) is assumed to have bounded derivatives, uniformly with respect to
Keywords
- Mild Solution
- Gronwall Lemma
- Transition Semigroup
- PRIORI Estimate
- Smooth Dependence
These keywords were added by machine and not by the authors. This process is experimental and the keywords may be updated as the learning algorithm improves.
This is a preview of subscription content, access via your institution.
Buying options
Tax calculation will be finalised at checkout
Purchases are for personal use only
Learn about institutional subscriptionsPreview
Unable to display preview. Download preview PDF.
Editor information
Editors and Affiliations
Rights and permissions
Copyright information
© 2001 Springer-Verlag Berlin Heidelberg
About this chapter
Cite this chapter
(2001). Smooth dependence on data for the SPDE: the non-Lipschitz case (I). In: Cerrai, S. (eds) Second Order PDE’s in Finite and Infinite Dimension. Lecture Notes in Mathematics, vol 1762. Springer, Berlin, Heidelberg. https://doi.org/10.1007/3-540-45147-1_7
Download citation
DOI: https://doi.org/10.1007/3-540-45147-1_7
Published:
Publisher Name: Springer, Berlin, Heidelberg
Print ISBN: 978-3-540-42136-8
Online ISBN: 978-3-540-45147-1
eBook Packages: Springer Book Archive
