Growth and Optical Properties of GaN-Based Non- and Semipolar LEDs
- 3 Citations
- 3.8k Downloads
Abstract
Light emitting diodes (LEDs) based on the (In,Al,Ga)N material system offer the possibility to generate light in the entire visible wavelength range, extending into the ultraviolet and the infrared regions. The widely tunable bandgap makes nitride based LEDs suitable devices for applications such as general energy efficient lighting, water purification, UV curing and medical applications. Conventionally, all group III-nitride based devices have been grown epitaxially on the polar (0001) c-plane of the wurtzite crystal structure. This leads to the formation of strong polarization fields pointing along the [0001] c-axis. These fields reduce the device efficiency through the quantum confined Stark effect (QCSE) and also cause other detrimental effects like wavelength-shifts and efficiency droop with increasing current densities. By growing InAlGaN heterostructures on non- and semipolar growth planes, these fields can be significantly reduced or even eliminated. In addition, due to the reduction of in-plane symmetry, a number of new heterostructure design options emerge to control the optoelectronic properties of non- and semipolar light emitters. Among these are the occurrence of anisotropic strain with the consequence of an anisotropic valence band structure and the possibility to generate strongly polarized light emission from LEDs. In this chapter we will discuss the origin of the polarization fields in III-nitrides and their control by growth on non- and semipolar crystal planes. Different approaches for the homo- and heteroepitaxial growth of non- and semipolar nitride heterostructures as well as structural properties, such as surface morphologies and indium incorporation efficiencies will be discussed. The influence of the crystal plane and the indium content on the valence band structure and the polarization state of the emitted light will be presented and the state-of-the-art device characteristics of non- and semipolar LEDs will be reviewed.
Keywords
Quantum Well External Quantum Efficiency Polarization Switching Indium Content Thread Dislocation Density5.1 Introduction
The development of smooth (0001) GaN films on c-plane sapphire [1] and the activation of p-dopants in GaN [2] led very quickly to the realization of high brightness InGaN LEDs on c-plane sapphire substrates [3, 4]. Already at the end of the last century blue and green LEDs with tens and hundreds of milli-Watt output power levels were demonstrated. Today, blue InGaN LEDs boast record external quantum efficiencies exceeding 80 % and the emission wavelength of c-plane InGaN quantum well (QW) LEDs has been pushed into the yellow and even red spectral range. Although the performance characteristics of c-plane LEDs seem excellent, the strong polarization fields at InGaN/GaN heterointerfaces can lead to a significant deterioration of the device performance. This polarization field is suppressed or reduced in LEDs with InGaN/GaN heterointerfaces of nonpolar or semipolar orientation, respectively. Triggered by the first demonstration of nonpolar GaN quantum wells grown on LiAlO2 by Waltereit and colleagues in 2000 [5], impressive advancements in the field of non- and semipolar nitride semiconductors and devices have been achieved. Today, a large variety of heterostructures free of polarization fields exhibiting exceptional optical properties have been demonstrated, and the fundamental understanding of polar, semipolar, and nonpolar nitrides has made significant leaps forward. This chapter is intended to provide an overview on the epitaxial growth and optical properties of group III-nitride LEDs on non- and semipolar surface orientations [6]. After introducing the physical origins of piezoelectric and spontaneous polarization effects in group-III nitrides, different approaches for the heteroepitaxial growth of low defect density non- and semipolar (Al,In)GaN layers and (Al,In)GaN/GaN heterointerfaces are presented, followed by a discussion of the effect of surface orientation on the indium incorporation efficiency in InGaN layers and quantum wells. In the third section the polarized light emission characteristics and the optical properties of non- and semipolar InGaN QWs are discussed and finally the performance characteristics of non- and semipolar LEDs are presented including the effects on droop, wavelength shift and external quantum efficiencies of state-of-the-art devices.
5.2 Piezoelectric and Spontaneous Polarization in Group-III Nitrides
The stable crystal structure of the group-III nitrides AlN, GaN, and InN and their ternary compounds AlGaN, InGaN, and AlInN is the hexagonal wurtzite structure. The high electronegativity of the nitrogen atom creates a strong dipole in the metal–nitrogen bond which is the origin of the strong polar character of the group-III nitrides. In their real crystal structure the bond lengths and bond angles deviate slightly from the ideal tetrahedral configuration of the wurtzite structure, without loosing the hexagonal crystal symmetry C6v . This is the point group of highest symmetry without a center of inversion [7]. Because of this distinction between “up” and “down”, the crystal has two polar surfaces, one terminated with metal atoms Al, Ga, or In, the other N-face. By convention, the [0001] direction points from a metal atom to the nearest-neighbor nitrogen atom in the direction of highest symmetry, which is also the optical axis of the uniaxial crystal, or the c-axis.
Radiative recombination is proportional to the absolute square of the overlap integral of electron and hole wave functions. The field inside the QW causes a spatial separation of the electron and hole wave function, resulting in a spatial indirect transition which reduces the radiative recombination rate. This shifts the balance from radiative to non-radiative recombination, which is less affected by the internal field, and therefore reduces the internal quantum efficiency of the LED.
The wavelength of emission is shifted due to the so-called quantum confined Stark effect (QCSE): Band bending in the active region shifts the transition between bound states of the QW to longer wavelengths. Because the internal fields are partially screened with increasing carrier density, the wavelength of a polar InGaN LED is shifting towards shorter wavelength with increasing current density. This effect is most pronounced for LEDs emitting in the green spectral region where the strain and consequently the field inside the QW is largest. Carrier transport is affected because the polarization field causes additional barriers in the active region which affect forward voltage and current injection efficiency [10, 11].
Orientations of c-plane, semipolar \((11\bar{2}2)\)- and \((20\bar{2}1)\)-planes and nonpolar \((10\bar{1}0)\)-plane (shaded polygons) with inclination angle θ to the c-plane [12] (Color figure online)
Strain tensor components as function of crystal angle for a fully strained In0.25Ga0.75N layer grown on free-standing GaN substrate. The dashed lines mark the semipolar \((11\bar{2}2)\)- and the \((20\bar{2}1)\)-planes [12]
Polarization discontinuity ΔP z′ along growth direction and wave function overlap as function of crystal angle for a \(3\,\rm nm\) wide In0.25Ga0.75N quantum well. The dashed lines mark the semipolar \((11\bar{2}2)\)- and the \((20\bar{2}1)\)-planes [12]
For an inclination of about θ=50∘ the different components of the piezoelectric field compensate each other, resulting in a zero polarization discontinuity. For some time the existence of this zero transition of the polarization field was heavily discussed, as it depends critically on the parameters used in the strain model on the theoretical side and on the strain in a real QW when the internal field is determined experimentally [14, 15, 16]. However, currently the parameters determining strain and piezoelectric field are converging and there is a general agreement on the existence of the zero crossing for the internal field. Because this zero crossing is close to the angle corresponding to the \((11\bar{2}2)\) lattice plane, this plane, which also shows stable growth, is preferred for semipolar LEDs. However, considering also optical properties and transport, other planes may be better candidates for semipolar LEDs and laser diodes. We will later see that the effect of polarization switching is most prominent for the \((11\bar{2}2)\) orientation, which is relevant for semipolar optoelectronic devices emitting in the green spectral region.
5.3 Growth of GaN and InGaN on Different Non- and Semipolar Surface Orientations
The synthesis of GaN layers with non- or semipolar surface orientations can be achieved by different means. The most straightforward approach is the growth of single crystal GaN boules, from which GaN wafer slabs can be cut out at basically any angle and therefore crystal orientation of choice. Another advantage of this approach is that the defect densities in the semi- and nonpolar bulk GaN substrates are similar to the defect densities of the original GaN boule. Since GaN boules can be realized with very low defect densities the resulting semi- and nonpolar bulk GaN provide an excellent growth substrate with very low defect densities. This type of approach has already been successfully demonstrated by a number of research groups [17, 18, 19, 20, 21]. In most cases the bulk GaN crystal boules have been grown by hydride vapor phase epitaxy (HVPE) or ammonothermal growth along the (0001) direction. In order to obtain GaN wafers with non- or semipolar surface orientations the GaN boules have to be cut perpendicular to the c-plane surface for nonpolar orientations or at the appropriate off-axis angle corresponding to the respective semipolar surface plane. The challenge with this approach is, that in order to obtain larger non- and semipolar substrate sizes, the c-plane GaN boules have to be large in height as well as in diameter. This is still a significant challenge, since the GaN growth rates, even with HVPE, are relatively low and the built-up of strain and parasitic deposits during growth limits the maximum heights that can be achieved without fracturing the boule. In addition the fabrication costs for bulk GaN boules are relatively high, which also translates into high costs for the semi- and nonpolar bulk GaN substrates. Therefore the heteroepitaxial growth of non- and semipolar GaN layers on readily available sapphire, silicon, SiC and other substrates is still of great interest and importance. All of the heteroepitaxial substrates are available with large diameters (e.g. 6″ is already standard for sapphire substrates and 8″ and 12″ sapphire are under development) and the costs of these substrate are low to moderate. In the past decade a large number of substrate materials and surface orientations have been explored in order to realize heteroepitaxial GaN layers with different non- and semipolar surface orientations. A detailed discussion of the different approaches is given in the following paragraph.
5.3.1 Heteroepitaxial Growth of Non- and Semipolar GaN on Sapphire, Silicon, Spinel, and LiAlO2 Substrates
Overview showing the relationship between different substrate orientations and materials and the orientation of the resulting GaN layer. The examples include heteroepitaxial growth of GaN layers on planar substrates as well as growth of non- and semipolar GaN on patterned sapphire and silicon substrates
Schematic illustration of (a) heteroepitaxial growth of semipolar \((11\overline{2}2)\) GaN on planar \((10\overline{1}0)\) m-plane sapphire substrate, (b) defect reduction by epitaxial lateral overgrowth (ELO) for \((11\overline{2}0)\) GaN layers on \((10\overline{1}2)\) r-plane sapphire, (c) \((10\overline{1}1)\) GaN facet on 3-dimensional stripes on c-plane sapphire and (d) heteroepitaxial growth of semipolar \((11\overline{2}2)\) GaN on a stripe patterned \((10\overline{1}2)\) r-plane sapphire substrate
5.3.2 Surface Morphologies and Strutural Defects of Non- and Semipolar GaN Films
(a) Atomic force microscopy (AFM) image of a \((11\overline{2}2)\) GaN layer grown on an m-plane sapphire substrate [33]. Clearly visible are arrowhead like features on the surface, which are oriented along the c′ \([11\overline{23}]\) direction. (b) Scanning white light interferometry (SWLI) images of m-plane GaN, \((10\overline{1}1)\), \((10\overline{1}2)\), and \((11\overline{2}2)\) GaN layers homoepitaxially grown on bulk GaN substrates [34] (Color figure online)
Normarski contrast microscope images of semipolar \((10\overline{1}1)\), \((10\overline{1}2)\), and \((11\overline{2}2)\) GaN layers grown homoepitaxially with different reactor pressures on bulk GaN [34]. The growth temperature was kept constant at 980 ∘C
Cathodoluminescence (CL) dark spot density of different semipolar GaN layers grown on patterned sapphire substrates
| GaN orientation | Patterned sapphire orientation | Dark spot density [cm−2] | Reference |
|---|---|---|---|
| \((11\overline{2}2)\) | \((10\overline{1}2)\) | 2⋅108 | [28] |
| \((10\overline{1}1)\) | \((11\overline{2}3)\) | 1.2⋅108 | [28] |
| \((20\overline{2}1)\) | \((22\overline{4}3)\) | 5.6⋅106 | [29] |
| \((10\overline{1}0)\) | \((11\overline{2}0)\) | not specified | [42] |
Overview over performance of nonpolar and semipolar LEDs at 20 mA dc current
| Growth plane | Substrate | Wavelength [nm] | Power [mW] | EQE [%] | Reference |
|---|---|---|---|---|---|
| \((11\overline{2}2)\) | GaN | 425 | 1.76 | 3.0 | [94] |
| \((11\overline{2}2)\) | GaN | 525 | 1.91 | 4.1 | [94] |
| \((11\overline{2}2)\) | GaN | 585 | 0.54 | 1.3 | [94] |
| \((11\overline{2}2)\) | GaN | 516 | 5.0 | 10.5 | [95] |
| \((11\overline{2}2)\) | GaN | 562.7 | 5.9 (pulsed) | 13.4 | [96] |
| \((11\overline{2}2)\) | Patterned Si | 439 | [93] | ||
| \((10\overline{1}1)\) | Patterned Si | 419 | [93] | ||
| \((10\overline{11})\) | GaN | 455 | 31.1 | 54.7 | [97] |
| \((10\overline{11})\) | GaN | 444 | 16.21 (pulsed) | 29 | [98] |
| \((20\overline{2}1)\) | GaN | 516.3 | 9.2 | 19.1 | [99] |
| \((20\overline{2}1)\) | GaN | 552.3 | 5.2 | 11.6 | [99] |
| \((11\overline{2}0)\) | PLOG-sapphire | 460 | 7.5 | [90] | |
| \((11\overline{2}0)\) | HVPE-LEO | 413 | 0.24 | [91] | |
| \((10\overline{1}0)\) | GaN | 435 | 1.79 | 3.1 | [100] |
| \((10\overline{1}0)\) | GaN | 407 | 23.7 | 38.9 | [69] |
| \((10\overline{1}0)\) | GaN | 457 | 0.24 | [101] | |
| \((10\overline{1}0)\) | GaN | 452 | 0.6 | 1.09 | [102] |
| \((10\overline{1}0)\) | GaN | 402 | 28 (pulsed) | 45.4 | [103] |
| \((20\overline{21})\) | GaN | 423 | 30.6 | 52 | [70] |
| \((10\overline{11})\) | MgAl2O4 | 439 | 0.01 | 0.02 | [92] |
| \((10\overline{13})\) | MgAl2O4 | 439 | 0.19 | 0.35 | [92] |
Recently Ravash et al. have shown that high silicon doping [32] can lead to a significant reduction of threading dislocation density and BSF density in \((1\overline{1}06)\) and \((1\overline{1}04)\) GaN layers grown on (112) and (113) Si substrates, respectively. Similarly the insertion of low-temperature (LT) AlN interlayers [43] has also led to a significant reduction of threading dislocation and BSF density in \((1\overline{1}06)\) and \((1\overline {1}04)\) GaN. In both cases the reduction of BSFs is most likely due to the generation of a- and c-type misfit dislocations at the LT-AlN/GaN interface, which are preferential to the generation of new stacking faults, especially for semipolar GaN with a low-inclination angle.
A third approach to realize InGaN light emitters on semipolar GaN surfaces is the selective growth of three-dimensional (3D) triangular-shaped GaN structures on stripe patterned c-plane GaN/sapphire substrates [44]. A schematic of this approach is shown in Fig. 5.5(c). Depending on the growth conditions, the resulting triangular-shaped GaN stripes can either exhibit \(\{1\overline{1}01\}\) or \(\{11\overline{2}2\}\) facets. One advantage of this approach is that it can be realized on large area and low cost (0001) sapphire substrates. Since the growth originates from the c-plane, the semipolar surfaces are mostly free of stacking faults and exhibit fairly low threading dislocation densities. The downside is that the 3-dimensional growth makes the device fabrication and electrical contacting more difficult. In addition indium incorporation efficiency depends strongly on the position on the pyramid leading to large scale fluctuations of the emission wavelength.
5.3.3 Indium Incorporation in InGaN Layers and Quantum Wells on Different Semipolar and Nonpolar Surfaces
Emission wavelength and indium incorporation efficiency of InGaN quantum well structures grown on c-plane and different semipolar and nonpolar GaN substrates [46]
5.4 Polarization of the Light Emission from Non- and Semipolar InGaN QWs
Emission of polarized light was observed in electroluminescence [47, 48] and photoluminescence [49]. For nonpolar QWs in m-direction polarization ratios as high as 0.91 [48, 50] have been observed by electroluminescence at room temperature. Light emitted from nonpolar QWs is linearly polarized, perpendicular to the c-axis. Semipolar QWs generally emit light with a lower degree of polarization. Ueda et al. observed that the direction of the predominant polarization changes from perpendicular to the c-axis to parallel to the c-axis with increasing indium content for QWs of \((11\overline{2}2)\) orientation [51]. This phenomenon was termed “polarization switching” and was reproduced in semipolar InGaN QWs of different lattice orientations [49].
Generally, the degree of polarization and the dominant direction of the linearly polarized light depend both on the structure of the LED, which is determined during growth, and on measurement conditions. During growth, QW inclination, composition (In or Al content), thickness, and strain are fixed. Upon observation, temperature and excitation density are free parameters. The first set of parameters determines the band structure. The symmetry of the band structure and consequently the selection rules for intraband transitions are the physical origin of the emission of polarized light. The second set of parameters determines the occupation of the subbands, such selecting those states which contribute to light emission. The situation is complicated by the inhomogeneities of the ternary InGaN or AlGaN QWs. Composition, thickness, and strain vary within the QW plane. As discussed in the previous section, semipolar QWs tend to form micro-facets of different lattice orientations with different physical properties. Dislocations—in particular stacking faults intersecting nonpolar QWs—modify strain and are a competing source of polarized light. Last but not least, a precise measurement of the degree of polarization is complex. The experimental setup may either scramble polarization (e.g. with a microscope objective of high numerical aperture), leading to the observation of a lower degree of polarization, or artificially polarize the emitted light by reflection from a tilted surface of an optical component (e.g. a beam splitter). Still, the main effect causing polarized light emission is the band structure. Therefore in the following the band structure of polar, nonpolar and semipolar InGaN QWs will be discussed, proceeding from the simplest to the most complex situation.
Left: Orientation of the polar (0001) lattice plane with respect to the GaN lattice structure. Right: Band structure of a bulk GaN. The insets show the angular momentum eigenfunctions of the individual bands. The arrow marks one possible optical transition [12]
For light emitted in c-direction, the polarization vector is perpendicular to the c-axis of the crystal. The transition matrix element is large and independent of the in-plane direction for transitions between conduction band and both heavy-hole and light-hole bands. Therefore light emitted from both bands in c-direction is unpolarized. This can be seen from the shape of the angular momentum eigenfunctions as shown in Fig. 5.9. The crystal-field split-off band does not contribute to emission in c-direction, because its angular momentum eigenfunction has neither |X〉 nor |Y〉 component. The situation changes for light emitted in a direction perpendicular to the c-axis. From the orientation of the angular momentum eigenfunctions it follows that photons stemming from the transition between conduction band and heavy-hole or light-hole bands are polarized perpendicular to the c-axis, while the transition from conduction band to crystal-field split-off band is polarized parallel to the c-axis. The energy splitting between heavy-hole and light-hole band is smaller than k B T at room temperature, therefore the thermal occupation of both states is similar. In unstrained bulk GaN, the crystal-field split-off band is separated by about 22 meV from the band edge, therefore contributing to a lesser extend to light emission. Therefore light emitted perpendicular to the c-axis in a bulk GaN crystal is partial linearly polarized. This is also the reason for the higher gain of the TE mode when compared to the TM mode in an in-plane (Al,In)GaN laser diode.
The bound states in an InGaN QW result in subbands of the band structure. Anti-crossing between these bands results in a modification of the transition matrix elements. For a c-plane QW, however, the in-plane symmetry is conserved. Therefore the polarization characteristics are those of the bulk GaN crystal, i.e. unpolarized light is emitted perpendicular to the QW. Light propagating along the QW plane remains linearly polarized, resulting in a larger TE gain.
In addition, the separation of the crystal-field split-off band is increased in an InGaN QW by strain and reaches several k B T. Therefore the discussion of the electroluminescence and photoluminescence can be limited to heavy hole and light hole bands.
5.4.1 Light Emission from Nonpolar InGaN QWs
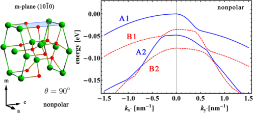
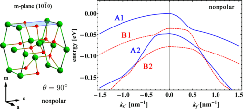
Topmost valence bands of a 3 nm thick nonpolar In0.2Ga0.8N QW at a carrier density of 1×1018 cm−3 [53]
In contrast to the polar case (cf. Fig. 5.9), the band structure in a nonpolar QW is different in \(k_{x}^{\prime}\) and \(k_{y}^{\prime}\) directions, resulting in an anisotropy of the effective mass and density of states [56]. The energy distance between A1 and B1 band in a nonpolar QW is considerably larger than the splitting between heavy-hole and light-hole band in a polar QW. The band structure in Fig. 5.10 was calculated with standard parameters and strain model, resulting in an A1–B1 splitting of approximately k B T. Experiments usually report a wider splitting, which is probably caused by a higher strain in the QW. The large energy difference results in a small occupation of the B1 band and consequently in a high degree of polarization even at room temperature.
For a typical QW thickness of a few nanometers, the confinement energy is similar to the splitting between A and B subbands. This results in anti-crossing of the B1 and A2 bands close to the Γ-point, as shown in Fig. 5.10. Transitions from conduction band to the A2 band are forbidden by symmetry in the nonpolar QW. However, the A2 band contributes to the density of states. Also, the subbands exchange their dominant polarization at these anti-crossings. This means that transitions from the conduction band to the B1 band are x′-polarized at the Γ-point. However, for \(k_{x}^{\prime}>200~\mathrm{cm}^{-1}\) and for \(k_{y}^{\prime}>600~\mathrm{cm}^{-1}\) the emitted photon will be y′-polarized.
The strain model used in the k⋅p Hamiltonian is symmetric with respect to a tilt of the QW towards m- or a-direction. So from the theoretical point of view no difference between a-plane and m-plane nonpolar QWs would be expected. However, the microscopic growth conditions are different on the individual lattice plane, as was discussed above. Therefore a-plane and m-plane QWs grown in a single growth run may be different not only in terms of indium incorporation and thickness but also with respect to their microstructure and anisotropic strain within the QW, modifying both band structure and optical properties.
Polarization dependent spectra measured for a nonpolar \((10\overline{1}0)\) QW sample at room temperature. The spectra were measured with a linear polarizer as analyzer which was rotated in 5∘ steps between each spectrum
5.4.2 Light Emission from Semipolar InGaN QWs
Top left: Orientation of the \((11\overline{2}2)\) lattice plane (light blue rectangle) with respect to the GaN lattice structure. Indicated are the crystal coordinate system x, y, z, and the growth coordinate system x′, y′, z′. The angle between the surface normal and the crystal c-axis is θ=58∘. Top right: Orientation of the \((20\overline{2}1)\) crystal plane; this image has to be compared to the one on the top left. Below are the valence band structures for a 3 nm In0.35Ga0.65N QW (n=1018 cm−3) of the respective orientation. The angular momentum of the in-plane component of the hole wave function at the Γ-point is indicated for the two topmost valence bands [12]
For the \((11\overline{2}2)\) band structure the energy spacing of the uppermost bands A1 and B1 is relatively small, and anti-crossing occurs close to the Γ-point. Both effects reduce the degree of polarization. The small energy shift results in a similar thermal occupation of both bands. The anti-crossing indicates a strong mixing of the angular momentum eigenfunctions.
Polarization resolved electroluminescence spectra of a \((11\overline{2}2)\) blue and red LED with indium content of 17 % and 48 %, respectively. The solid blue and broken red line correspond to y′ and x′ polarization, respectively. The LED was driven at 0.5 mA [51]
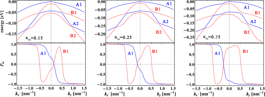
Band structure and polarization of the two topmost valence bands A1 (continuous line) and B1 (dashed line) for an \((11\overline{2}2)\) QW (n=1018 cm−3). The indium content is 15 %, 25 %, and 35 %, as indicated. The polarization P m corresponding to the A1 and B1 subbands is plotted below the respective band structure plots. Higher order valence bands are drawn for reasons of clarity
The main cause for the switching of the uppermost valence bands is the anisotropic strain in the semipolar InGaN QW. Ueda et al. pointed out that a high value of the deformation potential D 6 for InN is necessary to explain the observed polarization switching. From his measurements he derived a value D 6=−8.8 eV [51]. To calculate the band structure shown in Fig. 5.14 we used the value D 6=−7.1 eV [59] and the strain model as proposed by Park and Chuang [13]. Other models for the strain in semipolar InGaN QWs have been developed [61, 62], but lead to similar results regarding strain and band structure. The large value of D 6 is however in contradiction to first-principles calculations which predict D 6=−3.95 eV for GaN and D 6=−3.02 eV for InN [63]. Using the standard strain models, these lower values of D 6 would not be able to explain the observed polarization switching. Yan et al. proposed that a partial strain relaxation would cause polarization switching of a semipolar InGaN QW even for these low values of D 6. The morphology of semipolar InGaN QWs supports this idea of an anisotropic strain relaxation [58]. Yet, XRD and TEM measurements demonstrate pseudomorphic growth of an \((11\overline{2}2)\) InGaN QW between GaN barriers [62].
Degree of polarization P m for transitions from the conduction band to the A1 band at the Γ-point. The indium content was varied between 5 % and 35 % in steps of 5 %. QW thickness was 3.5 nm and carrier density was n=1018 cm−3. The numbered markers (1) to (3) represent measured polarizations at T=10 K. (1): photoluminescence from violet light emitting QW structures; (2): electroluminescence from violet \((20\overline{2}1)\) LED; (3): photoluminescence from blue-green light emitting QW structures. The crosses mark the critical angle θ c for the different indium contents [49]
Electroluminescence and photoluminescence measurements of LED structures on different polar, semipolar and nonpolar orientations are indicated as markers in Fig. 5.15. Also the polarization switching as observed by Ueda et al. [51] and the decreasing P m with increasing indium content observed by Masui et al. for \((11\overline{2}2)\) LEDs [58] are in agreement with this unified picture of polarization switching. However, the values measured for the \((20\overline{2}1)\) orientation by several groups [49, 58, 64] are consistently lower than predicted by Fig. 5.15. Still, the increase of the polarization ratio with increasing indium content was confirmed by experiments for the \((11\overline{2}2)\) plane [58].
Zhao et al. studied the polarization ratio of semipolar LEDs in the blue and green wavelength region grown on the \((20\overline{2}1)\)- and \((20\overline{21})\)-facet. Both of these planes are tilted by ±15∘ from the m-plane and differ in their surface configuration [65]. The experimental work showed that the LEDs on \((20\overline{21})\) have a higher degree of polarization and a larger band splitting than the \((20\overline{2}1)\)-devices. This was attributed to indium interdiffusion in \((20\overline{2}1)\) QWs and consequently a modification of the valence sub band structure.
Degree of polarization P m for transitions from the conduction band to the A1 (left) and the B1 (right) valence bands as function of substrate inclination θ in \(k_{x}^{\prime}\)–\(k_{y}^{\prime}\) space for a 3.5 nm wide \(\rm In_{0.3}Ga_{0.7}N\) QW. The dotted line represents unpolarized emission (P m =0). The vertical lines a to d mark the lattice planes \((10\overline{1}2)\), \((11\overline{2}2)\), \((10\overline{1}1)\), and \((20\overline{2}1)\) [49] (Color figure online)
The map of P m shows clearly that polarization switching is not an abrupt phenomenon, but rather a transition of a QW through a range of low degree of polarization as function of either inclination θ or indium content. The map also tells that high degrees of polarization can only be expected far from regions of polarization switching. This explains why large values of P m are observed for nonpolar QWs. The experimental fact that \((20\overline{2}1)\) QWs up to now do not show the expected high polarization ratios may either suggest some strain relaxation mechanisms or faceting during the growth of these QWs, or that the deformation potential parameters are still not correct.
Masui et al. observed a decrease of polarization with current injection in a nonpolar LED [66]. They suggested that the filling of states according to Fermi statistics is responsible for this reduction of P m . With increasing carrier density the quasi-Fermi level comes close to the top of the valence band, resulting in a similar occupation probability of the A1 and B1 bands. Because of the complementary polarization of both bands, the ratio of polarization decreases. Another effect is that states further away from the Γ-point are occupied, which also decreases the overall polarization ratio (see Fig. 5.16). It should be noted that Kyono et al. did not observe a decreasing polarization ratio with increasing current for a semipolar QW [64]. However, for a nonpolar LED structure the decrease of the polarization ratio with increasing carrier density was confirmed by Schade et al. [57] and could be explained quantitatively by state filling using the Fermi-Dirac distribution.
5.5 Performance Characteristics of Non- and Semipolar InGaN QW Light Emitting Diodes
5.5.1 Wavelength Shift
- Due to ohmic heating at high operation currents, the bandgap E g decreases and hence the wavelength is red-shifted to longer values. This effect is present in all semiconductor materials and cannot be avoided completely. Thermal management, heat sinking and the reduction of the current density by increasing the device area can reduce the effect. The dependency of the bandgap on the temperature T is phenomenologically described by the Varshni model:where α and β are the Varshni parameters (e.g. [67]).$$ E_g (T ) = E_g (T=0 ) - \frac{\alpha T^2 }{T+ \beta} $$(5.13)
-
At high injection currents I the increased carrier density n leads to the so called band-filling where lower energy states are filled and the emission moves to higher excited states in the quantum well. The consequence is a blue-shift in emission wavelength. In order to avoid this the volume of the active region can be increased, thus reducing the carrier density n. This can be done either by an increase in the number of quantum wells or by an increase of the thickness and volume of each quantum well. The reduction of the carrier density also reduces the droop (see Sect. 5.5.2).
-
If the active region exhibits fluctuations in the thickness of the quantum well or the indium content, the emission spectra broaden. Especially the indium fluctuations are an important technological challenge and the strength of the fluctuation increases with the total amount of indium in the active region, making the growth of green and yellow emitters more challenging. Upon carrier injection the so-called band-tail states are filled first since they have the lowest band gap energy. When the injection current increases, emission from material regions with lower indium content and hence shorter emission wavelength occurs, shifting the emission wavelength to the blue.
-
If polarization fields are present in the active region, the emission wavelength is originally red-shifted by the QCSE (see Sect. 5.2). This effect is reduced in semipolar emitters and vanishes for nonpolar emitters. If carriers are injected into the active region then the polarization charges at the interfaces of the quantum well are partially screened by the free carriers, compensating the initial red-shift. The consequence is a strong blue shift of the emission wavelength which is stronger in c-plane devices than in semipolar or nonpolar devices. This effect therefore dominates the emission characteristics in c-plane devices while it is not present in nonpolar devices and reduced in semipolar devices.
All of the above mentioned effects occur at the same time. The design of the active region, the crystal orientation and the material quality determine which effect is the dominating part. If the crystal quality is low and the indium fluctuations are large, the filling of band-tail states dominates.
The comparison of current dependent emission wavelength in nonpolar and polar MQW LEDs shows a strongly reduced blue shift in nonpolar LEDs due to the absence of polarization fields
Similar results have been found by Kuokstis et al. [68]. Schmidt et al. reported a very small wavelength shift of less than 1 nm for a 407 nm m-plane LED on bulk GaN in the range of 1 mA to 20 mA [69]. LEDs on \((20\overline{21})\) GaN that have been reported by Zhao et al. also show a very small wavelength shift, caused by the strongly reduced polarization fields [70].
5.5.2 Droop
In order to reduce the unfavorable droop, the carrier concentration in the active region of the LED should be small, and as close as possible to n max. This however contradicts the demand for high-power devices and requires an increase in the device area, which in turn increases the device costs. In semipolar and nonpolar LEDs the droop in principle should be smaller than in c-plane devices due to the absence of polarization fields. Since the QCSE is reduced or eliminated, the radiative recombination rate and the B-coefficient are much larger, increasing the device efficiency.
Recent studies on the droop give hints for fundamental advantages of QWs with reduced fields [77, 78]. According to them, Auger recombination has the same linear connection with the absolute squared overlap integral of the wave functions in the conduction and the valence bands as the radiative recombination has. Consequently, there is a lower charge carrier density in a semipolar compared to a similar polar QW for a given current density. The droop maximum is shifted effectively to a higher current density.
In c-plane devices the quantum wells are very thin in order to limit the effect of spatial separation of the electron- and hole wavefunctions and thus the reduction in oscillator strength. This limitation in the design of the active region is lifted for non- and semipolar LEDs and hence the quantum wells can be made much thicker, thus reducing the carrier concentration n at a given injection current I.
Pan and Zhao et al. studied the droop in blue LEDs on \((20\overline{21})\) GaN for multiple 3 nm thin quantum wells (MQW) [70] and one 12 nm thick single quantum well (SQW) [79]. The EQE reduced from 52.6 % at 35 A cm−2 current density to 45.3 % at 200 A cm−2 for the MQW LED which is very low compared to c-plane devices [80, 81]. Similar results were found for the SQW-LEDs.
5.5.3 Polarization and Light Extraction
It is important to note that the optical polarization of the emitted light is a crucial factor for the light extraction. Only photons which are emitted within a narrow angle ϑ with respect to the surface normal can escape due to total internal reflection. The refractive index n r of the GaN and the surrounding air together define the escape cone. Only photons with a \(\vec{k}\)-vector within this cone can escape. Since \(\vec{E} \perp\vec{k}\), this means that mostly TE-polarized light is emitted. A change in the optical polarization for semipolar and nonpolar emitters, as discussed in Sect. 5.4, therefore strongly affects the light extraction efficiency.
There has been much work on the increase in light extraction efficiency by surface roughening techniques and attempts to increase the angle ϑ of the escape cone. The mechanisms behind this is the random and multiple reflection of photons at the rough surface which changes the propagation direction and hence allows the photons to escape from the semiconductor. The drawback of this method is that the linear polarization, which is desirable for many applications such as liquid crystal display (LCD) back lighting, is lost during the scattering process.
In order to increase the extraction rate and maintain the polarization, Matioli et al. employed photonic crystals (PhC) tailored to the wavelength and dominant polarization direction of m-plane oriented blue LEDs [82]. By using one-dimensional air-gap PhCs, the extraction rate was significantly increased compared to planar devices.
Regarding optical properties, one should also be aware that InN, GaN, and AlN are birefringent. This is of particular importance to semipolar (Al,In)GaN laser diodes, where waveguide modes have to be categorized as TE/TM or ordinary/extraordinary, depending on the waveguide orientation [53, 83, 84, 85, 86]. In an LED the effect of birefringence is of lesser importance, as light usually passes only through a thin layer of semiconductor. Still, one has to be aware that the thickness of a λ/4 plate at 470 nm made of a-plane GaN would be of about 4.5 μm which is of the order of the n-GaN layer of a typical thin-film LED. For a standard planar nonpolar LED the polarization is perpendicular to the c-axis which is the optical axis of the crystal. Therefore the layer does not convert the emitted linearly polarized light to circular polarized light. However, in any structure with out-of-plane geometry or photonic structures, one needs to consider birefringence also in GaN based LEDs.
5.5.4 3D-Semipolar LEDs on c-Plane Sapphire
The selective growth of triangular stripes with semipolar side facets allows the realization of semipolar LEDs on high quality (0001) GaN templates [89]
5.5.5 State-of-the-Art of Non- and Semipolar Blue, Green, and White LEDs
During the past ten years several groups worldwide have investigated the properties of nonpolar and semipolar LEDs, and tremendous progress has been achieved. In the beginning, the limiting factor was the availability of large area and high quality substrates, and hence most LEDs were grown heteroepitaxially on foreign substrates with a high density of threading dislocations (TDD) and basal plane stacking faults (BSF). Among the most favored substrates were sapphire overgrown by HVPE-GaN, and in 2012 Jung et al. demonstrated a violet LED on \((11\overline{2}0)\)-GaN with 0.24 mW output power at a dc current of 20 mA [90]. By using epitaxial lateral overgrowth (ELO or LEO) for defect reduction, Chakraborty et al. realized a blue nonpolar LED on a sapphire substrate with 7.5 mW emission power [91]. Furthermore, LEDs with 439 nm emission wavelength were demonstrated on semipolar \((10\overline{13})\)- and \((10\overline {11})\)-GaN orientations grown on (100) and (110) spinel \(\mathrm {MgAl_{2}O_{4}}\) substrates [92]. Due to its large available size, low cost and the compatibility to existing processing procedures silicon has attracted high interest. In 2008 Hikosaka et al. realized LEDs with blue-violet emission on patterned Si on the semipolar \((11\overline{2}2)\) and \((10\overline {1}1)\) orientation [93].
Due to the large defect densities present in all heteroepitaxially grown LEDs, many groups focused on homoepitaxial growth on quasi-bulk substrates cut from HVPE-grown boules. Although the size and price of these substrates is a limiting factor, LEDs with emission from the violet, blue and green up the yellow wavelength region have been demonstrated. For a long time the most commonly used orientations were the nonpolar a- and m-planes and the semipolar \((11\overline {2}2)\)-plane. In 2009 impressive progress was shown based on the newly studied \((20\overline{2}1)\)-plane [112, 113], and many groups have explored LEDs on this plane since then [46, 49, 65, 114, 115, 116, 117, 118]. Other planes such as the \((30\overline{3}1)\)-plane have also been investigated for the use in LEDs and laser diodes [119].
In the blue region external quantum efficiencies (EQE) of more than 50 % have been reported on the \((10\overline{11})\)-plane [97] and on the \((20\overline{21})\)-plane by Zhao et al. [70]. Green emitters with high EQE values were realized on the semipolar \((20\overline{2}1)\)-plane with 516 and 552 nm wavelength and 19.1 and 11.6 % external quantum efficiency, respectively [99]. Furthermore, on the \((11\overline {2}2)\)-plane a 562.7 nm LED was shown with 13.4 % EQE under pulsed conditions [96].
5.5.6 Towards Yellow LEDs and Beyond
The initial driving force behind the increase in wavelength of nitride-based light emitting diodes was the aim to close the “green gap”, thus making the realization of emitters for the green wavelength region the most profitable and also most challenging goal. Since the InGaN-system covers the whole visible spectrum from UV to IR, even longer wavelength such as yellow and orange seem possible. This is even more challenging due to the higher indium content of the longer wavelength active region resulting in problems such as material decomposition, indium inhomogeneities and strain due to the increased lattice mismatch. The increased strain also increases the polarization fields, making semipolar and nonpolar crystal orientations the natural choice for this application.
The interest for the realization of GaN-based yellow light emitters is not as strong as for green, though, since the AlInGaP-system covers this wavelength range and the wavelength is on the long-wavelength edge of the “green gap’’’. In 2008 Sato et al. reported on yellow semipolar \((11\overline{2}2)\) LEDs and compared them to AlInGaP-based devices [96]. They showed that for nitride-based LEDs the dependency of output power and EQE onto the ambient temperature was lower than for the phosphide-based devices. This behaviour was attributed to carrier overflow due to the smaller energy offset between quantum well and barriers in the AlInGaP-LEDs.
5.6 Summary and Outlook
Despite the short time period in which the growth of light emitters on non- and semipolar surfaces has been explored, non- and semipolar InGaN QW LEDs already show great promise. This is impressively demonstrated by a number of performance indicators. For example, external quantum efficiencies of blue, green and yellow non- and semipolar light emitters are close or already exceeding those of conventional c-plane InGaN LEDs. Other important parameters like droop and wavelength stability with drive current are also showing great advances compared to LEDs grown on polar surfaces. However, many of these improvements and records have been realized on the relatively costly bulk GaN substrates. Therefore the questions remains whether non- and semipolar InGaN QW LEDs can also be produced cost-effectively, e.g. on sapphire or silicon substrates. Some of the possible approaches have been outlined in the previous chapter and indicate a number of pathways to realize low-cost and large volume production of high-efficiency non- and semipolar LEDs. Young start-up companies, like Soraa Inc. (Fremont, USA) are already trying to seize these opportunities and have introduced the first LED lamps based on non- and semipolar technology that generate more than 2300 candela of white light with only 12 Watt of electric input power [120]. Of course this is just the start. Only time will tell whether non- and semipolar LEDs will have a lasting impact on future lighting technology. Considering the short time span in which non- and semipolar light emitters have been explored and the astonishing advances that have already been demonstrated, non- and semipolar LEDs are certainly serious contenders.
Notes
Acknowledgements
This work was partially supported by the Deutsche Forschungsgemeinschaft (DFG) within the Collaborative Research Center (SFB 787) “Semiconductor Nanophotonics” and the Research Group (FOR 957) “PolarCoN”.
References
- 1.I. Akasaki, H. Amano, Y. Koide, K. Hiramatsu, N. Sawaki, Effects of AlN buffer layer on crystallographic structure and on electrical and optical properties of GaN and Ga1−xAlxN (0<x≤0.4) films grown on sapphire substrate by MOVPE. J. Cryst. Growth 98(1–2), 209–219 (1989) ADSGoogle Scholar
- 2.I. Akasaki, H. Amano, Breakthroughs in improving crystal quality of GaN and invention of the p–n junction blue-light-emitting diode. Jpn. J. Appl. Phys. 45(12), 9001–9010 (2006) ADSGoogle Scholar
- 3.S. Nakamura, T. Mukai, M. Senoh, Candela-class high-brightness InGaN/AlGaN double-heterostructure blue-light-emitting diodes. Appl. Phys. Lett. 64(13), 1687 (1994) ADSGoogle Scholar
- 4.S. Nakamura, M. Senoh, N. Iwasa, S.-i. Nagahama, High-brightness InGaN blue, green and yellow light-emitting diodes with quantum well structures. Jpn. J. Appl. Phys. 34(7), L797–L799 (1995) ADSGoogle Scholar
- 5.P. Waltereit, O. Brandt, A. Trampert, H.T. Grahn, J. Menniger, M. Ramsteiner, M. Reiche, K.H. Ploog, Nitride semiconductors free of electrostatic fields for efficient white light-emitting diodes. Nature 406, 865 (2000) ADSGoogle Scholar
- 6.J. Han, M. Kneissl, Non-polar and semipolar nitride semiconductors. Semicond. Sci. Technol. 27(2), 020301 (2012) ADSGoogle Scholar
- 7.F. Bernardini, V. Fiorentini, D. Vanderbilt, Spontaneous polarization and piezoelectric constants of III–V nitrides. Phys. Rev. B 56(16), 10024–10027 (1997) ADSGoogle Scholar
- 8.O. Ambacher, J. Majewski, C. Miskys, A. Link, M. Hermann, M. Eickhoff, M. Stutzmann, F. Bernardini, V. Fiorentini, V. Tilak, B. Schaff, L. Eastman, Pyroelectric properties of Al(In)GaN/GaN hetero- and quantum well structures. J. Phys. Condens. Matter 14, 3399–3434 (2002) ADSGoogle Scholar
- 9.O. Ambacher, J. Smart, J.R. Shealy, N.G. Weimann, K. Chu, M. Murphy, W.J. Schaff, L.F. Eastman, R. Dimitrov, L. Wittmer, M. Stutzmann, W. Rieger, J. Hilsenbeck, Two-dimensional electron gases induced by spontaneous and piezoelectric polarization charges in N- and Ga-face AlGaN/GaN heterostructures. J. Appl. Phys. 85(6), 3222 (1999) ADSGoogle Scholar
- 10.D.S. Sizov, R. Bhat, A. Zakharian, J. Napierala, K. Song, D. Allen, C.-E. Zah, Impact of carrier transport on aquamarine-green laser performance. Appl. Phys. Express 3(12), 122101 (2010) ADSGoogle Scholar
- 11.D.S. Sizov, R. Bhat, A. Zakharian, K. Song, D.E. Allen, S. Coleman, C.-E. Zah, Carrier transport in InGaN MQWs of aquamarine- and green-laser diodes. IEEE J. Sel. Top. Quantum Electron. 17(5), 1390–1401 (2011) Google Scholar
- 12.W.G. Scheibenzuber, GaN-Baser Laser Diodes—Towards Longer Wavelengths and Short Pulses (Springer, Heidelberg, 2012) Google Scholar
- 13.S.H. Park, S.L. Chuang, Crystal-orientation effects on the piezoelectric field and electronic properties of strained wurtzite semiconductors. Phys. Rev. B 59(7), 4725–4737 (1999) ADSGoogle Scholar
- 14.M. Feneberg, F. Lipski, R. Sauer, K. Thonke, T. Wunderer, B. Neubert, P. Brückner, F. Scholz, Piezoelectric fields in GaInN/GaN quantum wells on different crystal facets. Appl. Phys. Lett. 89(24), 242112 (2006) ADSGoogle Scholar
- 15.M. Feneberg, K. Thonke, T. Wunderer, F. Lipski, F. Scholz, Piezoelectric polarization of semipolar and polar GaInN quantum wells grown on strained GaN templates. J. Appl. Phys. 107(10), 103517 (2010) ADSGoogle Scholar
- 16.M. Funato, M. Ueda, D. Inoue, Y. Kawakami, Y. Narukawa, T. Mukai, Experimental and theoretical considerations of polarization field direction in semipolar InGaN/GaN quantum wells. Appl. Phys. Express 3(7), 071001 (2010) ADSGoogle Scholar
- 17.T. Paskova, K.R. Evans, GaN substrates—progress, status, and prospects. IEEE J. Sel. Top. Quantum Electron. 15(4), 1041–1052 (2009) Google Scholar
- 18.K. Fujito, S. Kubo, I. Fujimura, Development of bulk GaN crystals and nonpolar/semipolar substrates by HVPE. Mater. Res. Soc. Bull. 34, 313–317 (2009) Google Scholar
- 19.K. Motoki, T. Okahisa, N. Matsumoto, M. Matsushima, H. Kimura, H. Kasai, K. Takemoto, K. Uematsu, T. Hirano, M. Nakayama, S. Nakahata, M. Ueno, D. Hara, Y. Kumagai, A. Koukitu, H. Seki, Preparation of large freestanding GaN substrates by hydride vapor phase epitaxy using GaAs as a starting substrate. Jpn. J. Appl. Phys., Part 2 40(2B), L140–L143 (2001) Google Scholar
- 20.K. Motoki, T. Okahisa, S. Nakahata, N. Matsumoto, H. Kimura, H. Kasai, K. Takemoto, K. Uematsu, M. Ueno, Y. Kumagai, A. Koukitu, H. Seki, Growth and characterization of freestanding GaN substrates. J. Cryst. Growth, Part 2 237–239, 912–921 (2002). The Thirteenth International Conference on Crystal Growth in Conjunction with the Eleventh International Conference on Vapor Growth and Epitaxy Google Scholar
- 21.R. Kucharski, M. Zajac, R. Doradzinski, M. Rudzinski, R. Kudrawiec, R. Dwilinski, Non-polar and semi-polar ammonothermal GaN substrates. Semicond. Sci. Technol. 27(2), 024007 (2012) ADSGoogle Scholar
- 22.M.D. Craven, S.H. Lim, F. Wu, J.S. Speck, S.P. DenBaars, Structural characterization of nonpolar \((11\overline{2}0)\) a-plane GaN thin films grown on \((1\overline{1}02)\) r-plane sapphire. Appl. Phys. Lett. 81(3), 469–471 (2002) ADSGoogle Scholar
- 23.M.D. Craven, F. Wu, A. Chakraborty, B. Imer, U.K. Mishra, S.P. DenBaars, J.S. Speck, Microstructural evolution of a-plane GaN grown on a-plane SiC by metalorganic chemical vapor deposition. Appl. Phys. Lett. 84(8), 1281–1283 (2004) ADSGoogle Scholar
- 24.T.J. Baker, B.A. Haskell, F. Wu, P.T. Fini, J.S. Speck, S. Nakamura, Characterization of planar semipolar gallium nitride films on spinel substrates. Jpn. J. Appl. Phys. 44(29), 920–922 (2005) ADSGoogle Scholar
- 25.T.J. Baker, B.A. Haskell, F. Wu, J.S. Speck, S. Nakamura, Characterization of planar semipolar gallium nitride films on sapphire substrates. Jpn. J. Appl. Phys. 45(6), L154–L157 (2006) ADSGoogle Scholar
- 26.S. Ploch, M. Frentrup, T. Wernicke, M. Pristovsek, M. Weyers, M. Kneissl, Orientation control of GaN \(\{11\overline{2}2\}\) and \(\{10\overline{1}3\}\) grown on \((10\overline{1}0)\) sapphire by metal-organic vapor phase epitaxy. J. Cryst. Growth 312(15), 2171–2174 (2010) ADSGoogle Scholar
- 27.S. Ploch, J.B. Park, J. Stellmach, T. Schwaner, M. Frentrup, T. Niermann, T. Wernicke, M. Pristovsek, M. Lehmann, M. Kneissl, Single phase \(\{11\overline{2}2\}\) GaN on \((10\overline{1}0)\) sapphire grown by metal-organic vapor phase epitaxy. J. Cryst. Growth 331(1), 25–28 (2011) ADSGoogle Scholar
- 28.N. Okada, K. Tadatomo, Characterization and growth mechanism of nonpolar and semipolar GaN layers grown on patterned sapphire substrates. Semicond. Sci. Technol. 27(2), 024003 (2012) ADSGoogle Scholar
- 29.N. Okada, H. Oshita, K. Yamane, K. Tadatomo, High-quality \(\{20\overline{2}1\}\) GaN layers on patterned sapphire substrate with wide-terrace. Appl. Phys. Lett. 99(24), 242103 (2011) ADSGoogle Scholar
- 30.T. Kato, Y. Honda, M. Yamaguchi, N. Sawaki, Fabrication of GaN/AlGaN heterostructures on a (111) Si substrate by selective MOVPE. J. Cryst. Growth, Part 2 237–239, 1099–1103 (2002). The Thirteenth International Conference on Crystal Growth in Conjunction with the Eleventh International Conference on Vapor Growth and Epitaxy Google Scholar
- 31.N. Sawaki, T. Hikosaka, N. Koide, S. Tanaka, Y. Honda, M. Yamaguchi, Growth and properties of semi-polar GaN on a patterned silicon substrate. J. Cryst. Growth 311(10), 2867–2874 (2009) ADSGoogle Scholar
- 32.R. Ravash, P. Veit, M. Müller, G. Schmidt, A. Dempewolf, T. Hempel, J. Bläsing, F. Bertram, A. Dadgar, J. Christen, A. Krost, Growth and stacking fault reduction in semi-polar GaN films on planar Si(112) and Si(113). Phys. Status Solidi C 9(3–4), 507–510 (2012) ADSGoogle Scholar
- 33.T. Wernicke, Wachstum von nicht- und semipolaren InAlGaN-Heterostrukturen für hocheffiziente Lichtemitter/Growth of GaN-based non- and semipolar heterostructures for high efficiency light emitters. Dissertation, Technische Universität Berlin (2010) Google Scholar
- 34.T. Wernicke, S. Ploch, V. Hoffmann, A. Knauer, M. Weyers, M. Kneissl, Surface morphology of homoepitaxial GaN grown on non- and semipolar GaN substrates. Phys. Status Solidi B 248(3), 574–577 (2011) ADSGoogle Scholar
- 35.S. Ploch, T. Wernicke, D.V. Dinh, M. Pristovsek, M. Kneissl, Surface diffusion and layer morphology of \((11\overline{2}2)\) GaN grown by metal-organic vapor phase epitaxy. J. Appl. Phys. 111(3), 033526 (2012) ADSGoogle Scholar
- 36.R.M. Farrell, E.C. Young, F. Wu, S.P. DenBaars, J.S. Speck, Materials and growth issues for high-performance nonpolar and semipolar light-emitting devices. Semicond. Sci. Technol. 27(2), 024001 (2012) ADSGoogle Scholar
- 37.T.S. Zheleva, O.-H. Nam, M.D. Bremser, R.F. Davis, Dislocation density reduction via lateral epitaxy in selectively grown GaN structures. Appl. Phys. Lett. 71(17), 2472–2474 (1997) ADSGoogle Scholar
- 38.T. Wernicke, U. Zeimer, C. Netzel, F. Brunner, A. Knauer, M. Weyers, M. Kneissl, Epitaxial lateral overgrowth on \((2\overline{11}0)\) a-plane GaN with \([0\overline{1}11]\)-oriented stripes. J. Cryst. Growth 311(10), 2895–2898 (2009). Proceedings of the 2nd International Symposium on Growth of III Nitrides ADSGoogle Scholar
- 39.C. Netzel, T. Wernicke, U. Zeimer, F. Brunner, M. Weyers, M. Kneissl, Near band edge and defect emissions from epitaxial lateral overgrown a-plane GaN with different stripe orientations. J. Cryst. Growth 310(1), 8–12 (2008) ADSGoogle Scholar
- 40.B. Bastek, F. Bertram, J. Christen, T. Wernicke, M. Weyers, M. Kneissl, a-plane GaN epitaxial lateral overgrowth structures: growth domains, morphological defects, and impurity incorporation directly imaged by cathodoluminescence microscopy. Appl. Phys. Lett. 92(21), 212111 (2008) ADSGoogle Scholar
- 41.Z.H. Wu, A.M. Fischer, F.A. Ponce, B. Bastek, J. Christen, T. Wernicke, M. Weyers, M. Kneissl, Structural and optical properties of nonpolar GaN thin films. Appl. Phys. Lett. 92(17), 171904 (2008) ADSGoogle Scholar
- 42.Y. Kawashima, K. Murakami, Y. Abe, N. Okada, K. Tadatomo, Growth mechanism of nonpolar m-plane GaN on maskless patterned a-plane sapphire substrate. Phys. Status Solidi C 7(7–8), 2066–2068 (2010) ADSGoogle Scholar
- 43.A. Dadgar, R. Ravash, P. Veit, G. Schmidt, M. Müller, A. Dempewolf, F. Bertram, M. Wieneke, J. Christen, A. Krost, Eliminating stacking faults in semi-polar GaN by AlN interlayers. Appl. Phys. Lett. 99(2), 021905 (2011) ADSGoogle Scholar
- 44.F. Scholz, Semipolar GaN grown on foreign substrates: a review. Semicond. Sci. Technol. 27(2), 024002 (2012) MathSciNetADSGoogle Scholar
- 45.J.E. Northrup, GaN and InGaN \((11\overline{2}2)\) surfaces: group-III adlayers and indium incorporation. Appl. Phys. Lett. 95(13), 133107 (2009) ADSGoogle Scholar
- 46.T. Wernicke, L. Schade, C. Netzel, J. Rass, V. Hoffmann, S. Ploch, A. Knauer, M. Weyers, U.T. Schwarz, M. Kneissl, Indium incorporation and emission wavelength of polar, nonpolar and semipolar InGaN quantum wells. Semicond. Sci. Technol. 27(2), 024014 (2012) ADSGoogle Scholar
- 47.N.F. Gardner, J.C. Kim, J.J. Wierer, Y.C. Shen, M.R. Krames, Polarization anisotropy in the electroluminescence of m-plane InGaN-GaN multiple-quantum-well light-emitting diodes. Appl. Phys. Lett., 3–5 (2005) Google Scholar
- 48.H. Masui, H. Yamada, K. Iso, S. Nakamura, S.P. DenBaars, Optical polarization characteristics of InGaN/GaN light-emitting diodes fabricated on GaN substrates oriented between \((10\overline {1}0)\) and \((10\overline{11})\) planes. Appl. Phys. Lett. 92(9), 091105 (2008) ADSGoogle Scholar
- 49.L. Schade, U.T. Schwarz, T. Wernicke, J. Rass, S. Ploch, M. Weyers, M. Kneissl, On the optical polarization properties of semipolar InGaN quantum wells. Appl. Phys. Lett. 99(5), 051103 (2011) ADSGoogle Scholar
- 50.H. Jönen, H. Bremers, T. Langer, U. Rossow, A. Hangleiter, Large optical polarization anisotropy due to anisotropic in-plane strain in m-plane GaInN quantum well structures grown on m-plane 6H-SiC. Appl. Phys. Lett. 100(15), 151905 (2012) ADSGoogle Scholar
- 51.M. Ueda, M. Funato, K. Kojima, Y. Kawakami, Y. Narukawa, T. Mukai, Polarization switching phenomena in semipolar InxGa1−xN/GaN quantum well active layers. Phys. Rev. B 78(23), 2–5 (2008) Google Scholar
- 52.S. Chuang, C. Chang, k⋅p method for strained wurtzite semiconductors. Phys. Rev. B 54(4), 2491–2504 (1996) ADSGoogle Scholar
- 53.W. Scheibenzuber, U.T. Schwarz, R. Veprek, B. Witzigmann, A. Hangleiter, Calculation of optical eigenmodes and gain in semipolar and nonpolar InGaN/GaN laser diodes. Phys. Rev. B 80(11), 115320 (2009) ADSGoogle Scholar
- 54.K. Kojima, H. Kamon, M. Funato, Y. Kawakami, Theoretical investigations on anisotropic optical properties in semipolar and nonpolar InGaN quantum wells. Phys. Status Solidi C 5(9), 3038–3041 (2008) ADSGoogle Scholar
- 55.L. Schade, U.T. Schwarz, T. Wernicke, M. Weyers, M. Kneissl, Impact of band structure and transition matrix elements on polarization properties of the photoluminescence of semipolar and nonpolar InGaN quantum wells. Phys. Status Solidi B 248(3), 638–646 (2011) ADSGoogle Scholar
- 56.T. Ohtoshi, A. Niwa, T. Kuroda, Crystal orientation effect on valence-subband structures in wurtzite-GaN strained quantum wells. Jpn. J. Appl. Phys. Lett., Part 2 35, 1566–1568 (1996) Google Scholar
- 57.L. Schade, U.T. Schwarz, T. Wernicke, J. Rass, S. Ploch, M. Weyers, M. Kneissl, Auger effect in nonpolar quantum wells. Proc. SPIE 8262, 82620K-82620K-9 (2012) ADSGoogle Scholar
- 58.H. Masui, H. Asamizu, A. Tyagi, N.F. DeMille, S. Nakamura, S.P. DenBaars, Correlation between optical polarization and luminescence morphology of \((11\overline{2}2)\)-oriented InGaN/GaN quantum-well structures. Appl. Phys. Express 2, 071002 (2009) ADSGoogle Scholar
- 59.W.G. Scheibenzuber, U.T. Schwarz, Polarization switching of the optical gain in semipolar InGaN quantum wells. Phys. Status Solidi B 248(3), 647–651 (2011) ADSGoogle Scholar
- 60.C. Roberts, Q. Yan, M.-S. Miao, C.G. Van de Walle, Confinement effects on valence-subband character and polarization anisotropy in \((11\overline{2}2)\) semipolar InGaN/GaN quantum wells. J. Appl. Phys. 111(7), 073113 (2012) ADSGoogle Scholar
- 61.A.E. Romanov, T.J. Baker, S. Nakamura, J.S. Speck, Strain-induced polarization in wurtzite III-nitride semipolar layers. J. Appl. Phys. 100(2), 023522 (2006) ADSGoogle Scholar
- 62.M. Funato, D. Inoue, M. Ueda, Y. Kawakami, Y. Narukawa, T. Mukai, Strain states in semipolar III-nitride semiconductor quantum wells. J. Appl. Phys. 107(12), 123501 (2010) ADSGoogle Scholar
- 63.Q. Yan, P. Rinke, M. Scheffler, C.G. Van de Walle, Role of strain in polarization switching in semipolar InGaN/GaN quantum wells. Appl. Phys. Lett. 97(18), 181102 (2010) ADSGoogle Scholar
- 64.T. Kyono, Y. Yoshizumi, Y. Enya, M. Adachi, S. Tokuyama, M. Ueno, K. Katayama, T. Nakamura, Optical polarization characteristics of InGaN quantum wells for green laser diodes on semi-polar \(\{20\overline{2}1\}\) GaN substrates. Appl. Phys. Express 3(1), 011003 (2010) ADSGoogle Scholar
- 65.Y. Zhao, S. Tanaka, Q. Yan, C.-Y. Huang, R.B. Chung, C.-C. Pan, K. Fujito, D. Feezell, C.G. Van de Walle, J.S. Speck, S.P. DenBaars, S. Nakamura, High optical polarization ratio from semipolar \((20\overline{21})\) blue-green InGaN/GaN light-emitting diodes. Appl. Phys. Lett. 99(5), 051109 (2011) ADSGoogle Scholar
- 66.H. Masui, H. Yamada, K. Iso, S. Nakamura, S.P. DenBaars, Optical polarization characteristics of m-oriented InGaN/GaN light-emitting diodes with various indium compositions in single-quantum-well structure. J. Phys. D, Appl. Phys. 41(22), 225104 (2008) ADSGoogle Scholar
- 67.I. Vurgaftman, J.R. Meyer, Band parameters for nitrogen-containing semiconductors. J. Appl. Phys. 94, 3675 (2003) ADSGoogle Scholar
- 68.E. Kuokstis, J.W. Yang, G. Simin, M.A. Khan, R. Gaska, M.S. Shur, Two mechanisms of blueshift of edge emission in InGaN-based epilayers and multiple quantum wells. Appl. Phys. Lett. 80(6), 977–979 (2002) ADSGoogle Scholar
- 69.M.C. Schmidt, K.-C. Kim, H. Sato, N. Fellows, H. Masui, S. Nakamura, S.P. DenBaars, J.S. Speck, High power and high external efficiency m-plane InGaN light emitting diodes. Jpn. J. Appl. Phys. 46(7), 126–128 (2007) ADSGoogle Scholar
- 70.Y. Zhao, S. Tanaka, C.-C. Pan, K. Fujito, D. Feezell, J.S. Speck, S.P. DenBaars, S. Nakamura, High-power blue-violet semipolar (\(20\overline{21}\)) InGaN/GaN light-emitting diodes with low efficiency droop at 200 A/cm2. Appl. Phys. Express 4(8), 082104 (2011) ADSGoogle Scholar
- 71.J. Piprek, Efficiency droop in nitride-based light-emitting diodes. Phys. Status Solidi A 207(10), 2217–2225 (2010) ADSGoogle Scholar
- 72.Y.C. Shen, G.O. Mueller, S. Watanabe, N.F. Gardner, A. Munkholm, M.R. Krames, Auger recombination in InGaN measured by photoluminescence. Appl. Phys. Lett. 91(14), 141101 (2007) ADSGoogle Scholar
- 73.M.-H. Kim, M.F. Schubert, Q. Dai, J.K. Kim, E.F. Schubert, J. Piprek, Y. Park, Origin of efficiency droop in GaN-based light-emitting diodes. Appl. Phys. Lett. 91(18), 183507 (2007) ADSGoogle Scholar
- 74.A. David, M.J. Grundmann, Droop in InGaN light-emitting diodes: a differential carrier lifetime analysis. Appl. Phys. Lett. 96(10), 103504 (2010) ADSGoogle Scholar
- 75.J. Hader, J.V. Moloney, S.W. Koch, Density-activated defect recombination as a possible explanation for the efficiency droop in GaN-based diodes. Appl. Phys. Lett. 96(22), 221106 (2010) ADSGoogle Scholar
- 76.E. Kioupakis, P. Rinke, K.T. Delaney, C.G. Van de Walle, Indirect Auger recombination as a cause of efficiency droop in nitride light-emitting diodes. Appl. Phys. Lett. 98(16), 161107 (2011) Google Scholar
- 77.A. David, M.J. Grundmann, Influence of polarization fields on carrier lifetime and recombination rates in InGaN-based light emitting diodes. Appl. Phys. Lett. 97, 033501 (2010) ADSGoogle Scholar
- 78.E. Kioupakis, Q. Yan, C.G. Van de Walle, Interplay of polarization fields and Auger recombination in the efficiency droop of nitride light-emitting diodes. Appl. Phys. Lett. 101, 231107 (2012) ADSGoogle Scholar
- 79.C.-C. Pan, S. Tanaka, F. Wu, Y. Zhao, J.S. Speck, S. Nakamura, S.P. DenBaars, D. Feezell, High-power, low-efficiency-droop semipolar (\(20\overline{21}\)) single-quantum-well blue light-emitting diodes. Appl. Phys. Express 5(6), 062103 (2012) ADSGoogle Scholar
- 80.M.R. Krames, O.B. Shchekin, R. Mueller-Mach, G.O. Mueller, L. Zhou, G. Harbers, M.G. Craford, Status and future of high-power light-emitting diodes for solid-state lighting. J. Disp. Technol. 3(2), 160–175 (2007) ADSGoogle Scholar
- 81.A. Laubsch, M. Sabathil, J. Baur, M. Peter, B. Hahn, High-power and high-efficiency InGaN-based light emitters. IEEE Trans. Electron Devices 57(1), 79–87 (2010) ADSGoogle Scholar
- 82.E. Matioli, S. Brinkley, K.M. Kelchner, S. Nakamura, S. DenBaars, J. Speck, C. Weisbuch, Polarized light extraction in m-plane GaN light-emitting diodes by embedded photonic-crystals. Appl. Phys. Lett. 98(25), 251112 (2011) ADSGoogle Scholar
- 83.J. Rass, T. Wernicke, W.G. Scheibenzuber, U.T. Schwarz, J. Kupec, B. Witzigmann, P. Vogt, S. Einfeldt, M. Weyers, M. Kneissl, Polarization of eigenmodes in laser diode waveguides on semipolar and nonpolar GaN. Phys. Status Solidi (RRL)—Rapid Res. Lett. 4(1–2), 1–3 (2010) ADSGoogle Scholar
- 84.J. Rass, T. Wernicke, S. Ploch, M. Brendel, A. Kruse, A. Hangleiter, W. Scheibenzuber, U.T. Schwarz, M. Weyers, M. Kneissl, Polarization dependent study of gain anisotropy in semipolar InGaN lasers. Appl. Phys. Lett. 99(17), 171105 (2011) ADSGoogle Scholar
- 85.J.C. Rass, Charakterisierung von InGaN-basierten Lichtemittern auf semipolaren und nichtpolaren Halbleiteroberflächen/Characterization of InGaN-based light emitters on semipolar and nonpolar semiconductor orientations. Dissertation, Technische Universität Berlin (2012) Google Scholar
- 86.C.-Y. Huang, A. Tyagi, Y.-D. Lin, M.T. Hardy, P.S. Hsu, K. Fujito, J.-S. Ha, H. Ohta, J.S. Speck, S.P. DenBaars, S. Nakamura, Propagation of spontaneous emission in birefringent m-axis oriented semipolar \((11\overline{2}2)\) (Al,In,Ga)N waveguide structures. Jpn. J. Appl. Phys. 49(1), 010207 (2010) ADSGoogle Scholar
- 87.T. Wunderer, P. Bruckner, B. Neubert, F. Scholz, M. Feneberg, F. Lipski, M. Schirra, K. Thonke, Bright semipolar GaInN/GaN blue light emitting diode on side facets of selectively grown GaN stripes. Appl. Phys. Lett. 89(4), 041121 (2006) ADSGoogle Scholar
- 88.F. Scholz, T. Wunderer, M. Feneberg, K. Thonke, A. Chuvilin, U. Kaiser, S. Metzner, F. Bertram, J. Christen, GaInN-based LED structures on selectively grown semi-polar crystal facets. Phys. Status Solidi A 207(6), 1407–1413 (2010) ADSGoogle Scholar
- 89.T. Wunderer, M. Feneberg, F. Lipski, J. Wang, R.A.R. Leute, S. Schwaiger, K. Thonke, A. Chuvilin, U. Kaiser, S. Metzner, F. Bertram, J. Christen, G.J. Beirne, M. Jetter, P. Michler, L. Schade, C. Vierheilig, U.T. Schwarz, A.D. Dräger, A. Hangleiter, F. Scholz, Three-dimensional GaN for semipolar light emitters. Phys. Status Solidi B 248(3), 549–560 (2011) ADSGoogle Scholar
- 90.S. Jung, Y. Chang, K.-H. Bang, H.-G. Kim, Y.-H. Choi, S.-M. Hwang, K.H. Baik, High brightness nonpolar a-plane (11–20) GaN light-emitting diodes. Semicond. Sci. Technol. 27(2), 024017 (2012) ADSGoogle Scholar
- 91.A. Chakraborty, B.A. Haskell, S. Keller, J.S. Speck, S.P. DenBaars, S. Nakamura, U.K. Mishra, Nonpolar InGaN/GaN emitters on reduced-defect lateral epitaxially overgrown a-plane GaN with drive-current-independent electroluminescence emission peak. Appl. Phys. Lett. 85(22), 5143–5145 (2004) ADSGoogle Scholar
- 92.A. Chakraborty, T.J. Baker, B.A. Haskell, F. Wu, J.S. Speck, S.P. DenBaars, S. Nakamura, U.K. Mishra, Milliwatt power blue InGaN/GaN light-emitting diodes on semipolar GaN templates. Jpn. J. Appl. Phys. 44(30), 945–947 (2005) ADSGoogle Scholar
- 93.T. Hikosaka, T. Tanikawa, Y. Honda, M. Yamaguchi, N. Sawaki, Fabrication and properties of semi-polar \((1\overline{1}01)\) and \((11\overline{2}2)\) InGaN/GaN light emitting diodes on patterned Si substrates. Phys. Status Solidi C 5(6), 2234–2237 (2008) ADSGoogle Scholar
- 94.M. Funato, M. Ueda, Y. Kawakami, Y. Narukawa, T. Kosugi, M. Takahashi, T. Mukai, Blue, green, and amber InGaN/GaN light-emitting diodes on semipolar {\(11\overline{2}2\)} GaN bulk substrates. Jpn. J. Appl. Phys. 45(26), L659–L662 (2006) ADSGoogle Scholar
- 95.H. Sato, A. Tyagi, H. Zhong, N. Fellows, R.B. Chung, M. Saito, K. Fujito, J.S. Speck, S.P. DenBaars, S. Nakamura, High power and high efficiency green light emitting diode on free-standing semipolar (\(11\overline{2}2\)) bulk GaN substrate. Phys. Status Solidi (RRL)—Rapid Res. Lett. 1(4), 162–164 (2007) ADSGoogle Scholar
- 96.H. Sato, R.B. Chung, H. Hirasawa, N. Fellows, H. Masui, F. Wu, M. Saito, K. Fujito, J.S. Speck, S.P. DenBaars, S. Nakamura, Optical properties of yellow light-emitting diodes grown on semipolar \((11\overline{2}2)\) bulk GaN substrates. Appl. Phys. Lett. 92(22), 221110 (2008) ADSGoogle Scholar
- 97.Y. Zhao, J. Sonoda, C.-C. Pan, S. Brinkley, I. Koslow, K. Fujito, H. Ohta, S.P. DenBaars, S. Nakamura, 30-mw-class high-power and high-efficiency blue semipolar (\(10\overline{11}\)) InGaN/GaN light-emitting diodes obtained by backside roughening technique. Appl. Phys. Express 3(10), 102101 (2010) ADSGoogle Scholar
- 98.H. Zhong, A. Tyagi, N.N. Fellows, F. Wu, R.B. Chung, M. Saito, K. Fujito, J.S. Speck, S.P. DenBaars, S. Nakamura, High power and high efficiency blue light emitting diode on freestanding semipolar (\(10\overline{11}\)) bulk GaN substrate. Appl. Phys. Lett. 90(23), 233504 (2007) ADSGoogle Scholar
- 99.S. Yamamoto, Y. Zhao, C.-C. Pan, R.B. Chung, K. Fujito, J. Sonoda, S.P. DenBaars, S. Nakamura, High-efficiency single-quantum-well green and yellow-green light-emitting diodes on semipolar (\(20\overline{2}1\)) GaN substrates. Appl. Phys. Express 3(12), 122102 (2010) ADSGoogle Scholar
- 100.K. Okamoto, H. Ohta, D. Nakagawa, M. Sonobe, J. Ichihara, H. Takasu, Dislocation-free m-plane InGaN/GaN light-emitting diodes on m-plane GaN single crystals. Jpn. J. Appl. Phys. 45(45), L1197–L1199 (2006) ADSGoogle Scholar
- 101.A. Chakraborty, B.A. Haskell, S. Keller, J.S. Speck, S.P. DenBaars, S. Nakamura, U.K. Mishra, Demonstration of nonpolar m-plane InGaN/GaN light-emitting diodes on free-standing m-plane GaN substrates. Jpn. J. Appl. Phys. 44(5), 173–175 (2005) ADSGoogle Scholar
- 102.A. Chakraborty, B.A. Haskell, H. Masui, S. Keller, J.S. Speck, S.P. DenBaars, S. Nakamura, U.K. Mishra, Nonpolar m-plane blue-light-emitting diode lamps with output power of \(23.5\,\rm mW\) under pulsed operation. Jpn. J. Appl. Phys. 45(2A), 739–741 (2006) ADSGoogle Scholar
- 103.K.-C. Kim, M.C. Schmidt, H. Sato, F. Wu, N. Fellows, M. Saito, K. Fujito, J.S. Speck, S. Nakamura, S.P. DenBaars, Improved electroluminescence on nonpolar m-plane InGaN/GaN quantum wells LEDs. Phys. Status Solidi (RRL)—Rapid Res. Lett. 1(3), 125–127 (2007) ADSGoogle Scholar
- 104.D. Morita, M. Yamamoto, K. Akaishi, K. Matoba, K. Yasutomo, Y. Kasai, M. Sano, S.-I. Nagahama, T. Mukai, Watt-class high-output-power 365 nm ultraviolet light-emitting diodes. Jpn. J. Appl. Phys. 43(9A), 5945–5950 (2004) ADSGoogle Scholar
- 105.Y. Narukawa, M. Ichikawa, D. Sanga, M. Sano, T. Mukai, White light emitting diodes with super-high luminous efficacy. J. Phys. D, Appl. Phys. 43(35), 354002 (2010) Google Scholar
- 106.T. Mukai, M. Yamada, S. Nakamura, Characteristics of InGaN-based UV/blue/green/amber/red light-emitting diodes. Jpn. J. Appl. Phys., Part 1 38(7A), 3976–3981 (1999) Google Scholar
- 107.Y. Narakawa, Nichia Corporation, Recent developments of high efficiency white light emitting diodes. Presentation at the ICNS-7, Las Vegas, USA (2007) Google Scholar
- 108.Nichia Corporation, Oral presentation at the ICNS-8, Jeju, Korea (2009) Google Scholar
- 109.W. Goetz, Philips-Lumileds lighting, high power III-nitride based light emitting diodes: progress and challenges. Presentation at the ICNS-7, Las Vegas, USA (2007) Google Scholar
- 110.W. Goetz, Philips-Lumileds lighting. Presentation at the rump session on the ‘Future of Solid State Lighting’ at the ICNS-8, Jeju, Korea (2009) Google Scholar
- 111.Nichia Corporartion, 2012 Nichia Led Catalogue. Website, 2012. Available online at http://www.nichia.co.jp
- 112.Y. Yoshizumi, M. Adachi, Y. Enya, T. Kyono, S. Tokuyama, T. Sumitomo, K. Akita, T. Ikegami, M. Ueno, K. Katayama, T. Nakamura, Continuous-wave operation of 520 nm green InGaN-based laser diodes on semi-polar \(\{20\overline{2}1\}\) GaN substrates. Appl. Phys. Express 2(9), 092101 (2009) ADSGoogle Scholar
- 113.Y. Enya, Y. Yoshizumi, T. Kyono, K. Akita, M. Ueno, M. Adachi, T. Sumitomo, S. Tokuyama, T. Ikegami, K. Katayama, T. Nakamura, 531 nm green lasing of InGaN based laser diodes on semi-polar \(\{20\overline{2}1\}\) free-standing GaN substrates. Appl. Phys. Express 2, 082101 (2009) ADSGoogle Scholar
- 114.T. Yamashita, T. Akiyama, K. Nakamura, T. Ito, Surface reconstructions on GaN and InN semipolar \((20\overline{2}1)\) surfaces. Jpn. J. Appl. Phys. 49(1), 018001 (2010) ADSGoogle Scholar
- 115.Y.S. Kim, A. Kaneta, M. Funato, Y. Kawakami, T. Kyono, M. Ueno, T. Nakamura, Optical gain spectroscopy of a semipolar \((20\overline{2}1)\)-oriented green InGaN laser diode. Appl. Phys. Express 4(5), 052103 (2011) ADSGoogle Scholar
- 116.Y. Zhao, S. Tanaka, C.-C. Pan, K. Fujito, D. Feezell, J.S. Speck, S.P. DenBaars, S. Nakamura, High-power blue-violet semipolar \((20\overline{21})\) InGaN/GaN light-emitting diodes with low efficiency droop at 200 A/cm2. Appl. Phys. Express 4(8), 082104 (2011) ADSGoogle Scholar
- 117.Y. Kawaguchi, C.-y. Huang, Y.-r. Wu, Q. Yan, C.-c. Pan, Y. Zhao, S. Tanaka, K. Fujito, D. Feezell, C.G. Van de Walle, S.P. DenBaars, S. Nakamura, Influence of polarity on carrier transport in semipolar \((20\overline{2}1)\) and \((20\overline{21})\) multiple-quantum-well light-emitting diodes. Appl. Phys. Lett. 100(23), 231110 (2012) ADSGoogle Scholar
- 118.Y. Zhao, Q. Yan, C.-Y. Huang, S.-C. Huang, P. Shan Hsu, S. Tanaka, C.-C. Pan, Y. Kawaguchi, K. Fujito, C.G. Van de Walle, J.S. Speck, S.P. DenBaars, S. Nakamura, D. Feezell, Indium incorporation and emission properties of nonpolar and semipolar InGaN quantum wells. Appl. Phys. Lett. 100(20), 201108 (2012) ADSGoogle Scholar
- 119.P.S. Hsu, K.M. Kelchner, A. Tyagi, R.M. Farrell, D.A. Haeger, K. Fujito, H. Ohta, S.P. DenBaars, J.S. Speck, S. Nakamura, InGaN/GaN blue laser diode grown on semipolar \((30\overline{3}1)\) free-standing GaN substrates. Appl. Phys. Express 3(5), 052702 (2010) ADSGoogle Scholar
- 120.Soraa, Soraa Premium MR 16 LED Lamp, Product# Mr16-50-b01-12-830-25. Website, 2012. Available online at http://www.soraa.com
























