Acoustic Scanning Probe Microscopy pp 315-350 | Cite as
Mapping of the Surface’s Mechanical Properties Through Analysis of Torsional Cantilever Bending in Dynamic Force Microscopy
- 1.6k Downloads
Abstract
In atomic force microscopy, the cantilever probes provide sensing of the tip-sample forces, therefore are used for the surface’s topography imaging as well as the mechanical properties mapping at nanoscale. As in most techniques developed for local stiffness imaging based on so-called contact mode, the force applied to the surface exceeds acceptable level often causing damage to the sample. On the other hand, the most popular measurement technique based on the intermittent contact mode, where dynamic tip-sample interaction is measured and processed in order to provide surface’s shape tracking as well as imaging of energy dissipation, allows to perform the measurements with much less force and can be applied to a wide range of samples. This method, however, is insufficient in many cases, as it cannot provide detailed information about certain mechanical properties of the sample. Therefore, a new approach has been lately developed and successfully utilized in a number of applications. By the analysis of higher harmonics of the cantilever’s oscillation, one can obtain more specific information about the tip-sample interaction than in the case of phase imaging. Moreover, the time-resolved tapping mode, where advanced high-bandwidth signal processing is implemented, allows performing fast imaging of the stiffness, adhesion, peak force, and energy dissipation. As this technique provides gentle interaction with the surface, it can be used in imaging of fragile objects, such as biological samples. Due to the mechanical properties of the cantilever causing significant deformations of the detection bandwidth, the torsional bending of the cantilever is utilized in order to obtain the desired signal. In this chapter we discuss the principles of the implementation of this method and its application issues.
Keywords
Torsional Oscillation Force Spectroscopy Friction Force Microscopy Intermittent Contact Mode Hydrogenate Nitrile Butadiene Rubber11.1 Introduction
Atomic force microscopy as one of the very few methods allowing subnanometer imaging of the surface [1, 2, 3], offers also the possibility of measuring the forces acting between the scanning tip and the sample. Its role as a diagnostic tool in various fields of science and technology has undoubtedly been appreciated and widely used for over two decades [4, 5]. Among the wide range of the measurement modes allowing observation of the distribution of morphological, electrical, magnetic, thermal, and optical properties of the surface, information about certain mechanical properties can also be obtained. The Force Modulation Microscopy mode, for example, provides a mapping of the local stiffness. It may, however, relatively easily cause modifications of the surface due to large forces applied to the sample [6]. Although the Force Volume Microscopy method utilizing contact mode and force spectroscopy acquisition [7, 8] was successfully utilized in investigations of biological or chemical samples, it is, nevertheless, time-consuming and provides the force mapping resolution significantly lower than the topography imaging (e.g. \(32 \times 32\)). Jumping mode scanning force microscopy [9, 10] and digital pulse force mode [11, 12] were also proposed as techniques allowing to investigate the mechanical properties of the surface; however, the mapping speed was still insufficient. To compensate the drawbacks mentioned before, another approach, described in this chapter, was required in order to provide high-speed mapping of the mechanical properties of the sample.
Examples of phase imaging maps revealing certain details invisible in topography images. Complex polymer film containing various compounds mixed up (a), molecular chains of the C\(_{60}\)H\(_{122 }\) alcane deposited on mica substrate (b)
Examples of phase imaging artifacts presented as color palette on a 3D view of the topography. Transitions of the bistable tip-sample interactions (attractive and repulsive) cause the presence of jumps over several degrees as well as topography artifacts (a). Switching of the detection phase reverses the indication of the energy dissipation (b)
In the remaining sections of this chapter we describe methods that enable acquisition and processing of the time-varying tip-sample force waveforms in intermittent contact AFM. The simple model to calculate the time-varying tip-sample force waveforms and the relation between those forces and the sample properties is presented. We also describe the way the reconstruction of the tip-sample force curve known also as the force spectroscopy curve is performed. The technical issues of the real-time signals processing in developed measurement system are also presented. Then an alternative method of utilization of the high-harmonics analysis as surface’s stiffness mapping is described. Finally we present examples of the utilization of this method in mapping of mechanical properties of the surface.
11.2 Time-Resolved Tapping Mode in Mapping of the Mechanical Properties of the Surface
Intermittent contact mode is one of the most popular AFM imaging techniques. Therefore, a number of theoretical and experimental studies of this method have been carried out and published [4, 5, 16, 17, 18, 19, 20, 21, 22, 23, 24]. Nevertheless, some specific phenomena and measurement solutions are in the field of interest of various research groups, including newly developed time-resolved tapping mode technique, which enabled high-resolution and high-speed mapping of the mechanical properties of the surface. As the principles of the tip-sample interactions in intermittent contact method are well-documented, in following subsections we focus on particular issues referring to the high-bandwidth tip-sample interactions detection and processing. In order to provide the impression of the differences between the typical tapping mode and the new approach, we present also the practical aspects of its implementation on commercially available AFM system, with typical cantilever’s deflection detection feature [25]. Implemented solution allowed to acquire some experimental data which are presented here in order to illustrate certain issues of the system’s development.
11.2.1 Modeling of Tip–Sample Interaction Forces in Intermittent Contact AFM
The tip-sample forces graph with correlated path of the cantilever’s oscillation and the tip-sample interaction forces caused by tapping of the tip against the surface. Some of the proportions have been disturbed in order to provide good readability of the curves
The results of the simulation of the tip-sample interaction during the tip oscillation, basing on the DMT model (a, c, e). The FFT transformation of the simulated graphs (b, d, f). The Young moduli of the surface used in the simulation are: 10 GPa (a, b), 5 GPa (c, d) and 1 GPa (e, f)
\(\gamma _{\mathrm{H}_2\mathrm{O}}\) is the liquid–vapor interfacial energy of water, \(E^*\) is the effective elastic modulus between the tip and the sample system, d is the tip-sample gap, \(a_{0}\) is the intermolecular distance and h is thickness of the water film.
Also the variables were used: the driving frequency, which is chosen close to the fundamental frequency of the cantilever \(f_{0}=50\) kHz, Young modulus of the tip \(E_{t}=130\) GPa, Young modulus of the surface \(E_{s}=1\), 5 and 10 GPa, respectively, radius of the tip \(R=20\) nm, Poisson’s ratio respectively tip and sample \(\vartheta _t=\vartheta _s=0.3\), spring constant of the cantilever \(k_{c}=40\) N/m, quality of the cantilever’s resonance \(Q=400\), Hamaker constant \(H=7\times 10^{-12}\) J.
Figure 11.4 presents the time-force graphs calculated using the formula (11.1). It can be noted that, as the stiffness of the sample \(E_{s}\) increases, the slope of the tip-sample interaction force increase becomes steeper.
As the intermittent contact mode bases on periodic oscillations of the cantilever, its movement influenced by the tip-sample interaction can be represented using frequency-domain methods. These methods will be mostly important for the signal analysis described in the next sections.
11.2.2 Extraction of the High Bandwidth Oscillation of the Cantilever
Vibration spectra of a HMX cantilever measured in an intermittent contact mode AFM. The excitation signal is equal to the fundamental resonance frequency. The flexural response (a) contains only few frequencies due to the specific behavior of the cantilever, while the torsional response (b) shows a wide spectra of frequencies
The flexural (a) and torsional (b) oscillation modes of a rectangular cantilever. Frequency responses calculated using Euler–Bernoulli equation [10] for both oscillation modes, respectively
A typical setup for the optical detection of the cantilever’s bending (a). The \((\mathrm{TL}+\mathrm{BL})-(\mathrm{TR}+\mathrm{BR})\) signal is used for the detection of the flexural bending, \((\mathrm{TL}+\mathrm{TR})-(\mathrm{BL}+\mathrm{BR})\) signal is used for torsional bending detection. The optical microscope view of the HMX cantilever (b). The arrow points at the location of the hammer-shaped end of the cantilever with the asymmetrically placed tip
The principles of the detection system and the acquired signals. Signals: S1, excitation; S2, flexural response; S3, torsional response. The amplitude A is used for keeping the tip-sample distance constant, while the phase shift \(\phi \) is used for energy dissipation imaging
The list of commercially available T-shaped cantilevers and their specifications
| Manufacturer | Name | \(f_{0}\) (kHz) | \(f_\mathrm{tr}/f_\mathrm{fl}\) | \(k^{*}\) (N/m) | Length (\(\upmu \)m) | Width (\(\upmu \)m) | Thickness (\(\upmu \)m) |
|---|---|---|---|---|---|---|---|
| Bruker | HMX | 60 | 17 | 4,0 | 300 | 25 | 4 |
| Bruker | HMX-S | 40 | 17 | 1,0 | 300 | 25 | 3 |
| MicroMasch | TL01 | 90 | 10 | 2,0 | 180 | 20 | 2 |
| MicroMasch | TL02 | 60 | 17 | 3,0 | 300 | 20 | 5 |
11.2.3 Recovering the Time-Varying Interaction Signal of the Tip–Sample Forces
Vibration signals from flexural and torsional motions, and tip-sample forces. a The signals at the four-quadrant photodetector for vertical and torsional displacement. The solid curve is the torsional signal. The torsional signal was multiplied by a factor of 10 to provide clear view of both curves in one graph. b The torsional vibration signal after being divided by the torsional frequency response. Except for the pulse located between the 300 and 400th time steps, the tip-sample forces should have been close to zero, because the tip is far away from the surface at those times. The measured signals when not in contact come from crosstalk from the flexural deflection signal. The dashed curve estimates the error introduced by these curves. When it is subtracted from the solid curve one gets the time-varying forces plotted in c [5]
Once the torsional signal is divided by the torsional signal response (Fig. 11.9b), one can observe the shape containing the tip-sample interaction feature that was obtained during the simulation. The rest of the waveform does not contain any useful data as the tip is away from the surface and the interaction force is nearly zero. One can, however, notice presence of waviness of the curve, which is caused by the crosstalk signal (the harmonic of the flexural base frequency of the cantilever), which has to be removed. Also the base frequency of the torsional oscillations of the cantilever is undesired feature. Those frequencies can be filtered out relatively easily by applying the FFT filtering (Fig. 11.10). Finally, the time-varying tip-sample interaction waveform is obtained (Fig. 11.9c). Various signal processing approaches were described in detail by Sahin et al. [29, 30, 33, 34] and Stark et al. [39].
The spectrum of the torsional oscillation of the cantilever after primary deconvolution process. The harmonics marked with H1 and H2 should be removed, the marked group of the harmonics are useful for the interaction signal recovery
Once the tip-sample interaction curve is acquired, it is processed in order to obtain a reconstruction of the force-distance curve. In order to obtain that, the dividing of the waveform must be performed, as each peak has to be in separated dataset. Eventually, on each dataset, the stitching like operation must be done, as the spectroscopy curve contains two lines related to the decrease and increase the tip-sample distance. In order to provide the best possible result of the curve reconstruction, the DMT model fitting can be implemented as one of the last steps.
Following steps of the force curve reconstruction: raw signal (a), FFT spectrum of the signal after removing the harmonics related to flexural and torsional base frequencies of the cantilever (b), time-domain interaction signal with marked dividing lines “d” and central points for stitching operation “s” (c), distance domain force spectroscopy curve with marked dividing ends “d”, and central point for stitching operation “s” (d)
It should be mentioned, that during preparation of the AFM system for the measurement procedure, certain factors should be taken into account. Because the quality of the force spectroscopy curve reconstruction is essential, the tip-sample interaction signals must be at an appropriate level. Therefore, one should be able to verify key steps of the reconstruction process. As the number of analyzed harmonic frequencies has a direct impact on the amount of processed data, one should be able to observe the real-time behavior of the signal’s spectra. Due to varying properties of the probes, it is also important to adjust the detection frequency range that is considered to be useful in a certain case. By displaying the time-resolved tip-sample interaction signal one can verify, if the filtering feature is adjusted properly and the shape of the curve meets the expectation of the operator. Finally, the real-time view of the reconstructed force-distance curve allows one to verify if the tip-sample interaction is stable and allows one to perform the measurement. As the amount of the oscillations is relatively high, the averaging feature allows reducing the noise. The number of the averaged periods of the cantilever’s oscillation should also be adjusted carefully.
Examples of the force spectroscopy reconstruction quality for various setpoint values (b, d, f) and the correlation to the FFT spectra used as an indicator of the tip-sample interaction (a, c, e). The setpoint values were as follows: 0.93 (a, b), 0.7 (c, d), and 0.4 (e, f) with a free oscillation amplitude \(A_{0}=18\) nm
Comparison of the Young moduli as a function of the setpoint value. Free oscillation amplitude \(A_{0}=18\) nm
The oscillation amplitude of the cantilever also determines the way the reconstruction is performed. When too small amplitudes are applied, the tip is not retracted far enough from the surface to acquire a full force-distance curve. On the other hand, too large amplitudes can cause tip and surface wear as well as an introduction of significant errors of the reconstruction due to utilization of a wrong interaction model as the tip would indent the surface much deeper than previously assumed. As the use of torsional harmonic cantilevers in the tip-sample interactions detection is a very complex problem, it was analyzed both theoretically and experimentally [45, 46, 47, 48].
The additional advantage of the force spectroscopy reconstruction observation is the ability of tip contamination detection. While in intermittent contact mode one can perform the measurements with a contaminated tip, it is very difficult to obtain the force spectroscopy curve in such a situation. Therefore, the probability of the presence of topography artifacts can be significantly reduced.
11.2.4 Mapping of the Mechanical Properties Basing on Advanced Signal Processing
After the force spectroscopy curve is reconstructed, it can be analyzed by software in order to determine following mechanical properties: stiffness, peak force, adhesion, energy dissipation for deformation, and energy dissipation for tip-sample separation. The relation between the listed properties and the shape of the reconstructed force spectroscopy curve is shown in Fig. 11.14.
Typical force spectroscopy curve and the related mechanical properties of the surface (a). The parameters are: F1, snap-in force; F2, peak force; F3, adhesion. R1 (slope), elasticity; E1, energy dissipation for deformation; E2, energy dissipation for tip-sample separation. Two reconstructed force spectroscopy curves measured in different areas of the test sample (b)
The results of scanning of the test structure: topography (a), phase imaging (b), adhesion (c), stiffness (d), peak force (e), energy dissipation for tip-sample separation (f), and energy dissipation for deformation of the surface (g)
The comparison of spectrum histograms from Fig. 11.20
The presented data are no absolute values, it is, however, possible to calibrate the system in order to provide specific information about the values of the forces, the stiffnesses, or the energies.
Typical routine based on determining the cantilever’s deflection detection sensitivity and the cantilever’s spring constant [44] is similar to the procedure performed in typical force spectroscopy measurements, when contact cantilevers must be evaluated (thermal tuning feature implemented in AFM software). Additionally, the tip radius must be determined in order to calculate properly the Young modulus. In order to obtain such data, one can use high resolution electron microscopy or perform the blind reconstruction of the tip’s shape [50, 51]. However, this solution is time-consuming, it was successfully utilized by Ihalainen et al. [52] in determination of mechanical properties of pigment-latex coated paper samples.
An alternative method, is utilization of the reference sample, where at least two well-defined components can be measured [44]. Lanniel et al. used reference surface of polystyrene and low density polyethylene thin film, knowing that the stiffness of the polystyrene sample is 1.6 GPa [53]. As the response of the system is linear [54], one can extrapolate the response of the measurement system within the range of the Young modulus values related to the spring constant of the cantilever. For instance, the HMXS and HMX cantilevers can properly measure the values from 0.5 MPa to 1 GPa and from 10 MPa to 10 GPa, respectively. Below and beyond this range, one can perform successfully imaging of the mechanical properties, however, the estimation of the certain values can suffer very low accuracy. The reference sample-based approach is less effort-consumable, however, one must be aware, that the mechanical properties of the sample can vary with time as well as the environmental conditions. Therefore, it should be verified periodically, as every standard or reference sample. In order to do that, one can perform typical force spectroscopy measurement, or to calibrate time-resolved tapping mode system as described above and then to scan the sample in order to compare expected and measured values.
11.2.5 The Principles of the Measurement Setup
Although only few commercial AFM systems were designed to utilize the T-shaped cantilevers [44], the detection of the torsional bending of the cantilever can be performed in a number of commercially available and homemade setups. As mentioned above, the only condition is an access to the raw left–right signal of the quadrant photodiode detection module. Due to requirement of a high-bandwidth, the minimum amount of filters and other signal processing/adapting modules are recommended before signal acquisition, as every such an object can introduce distortions.
Simplified diagram illustrating the hardware configuration of the detection setup to measure the torsional bending of the cantilever
The torsional response signal in time and frequency domain as acquired directly from the optical detection system. The complexity of the signal as well as the high-order harmonics are clearly visible
One should be aware that processing of wide-bandwidth signals requires utilization of a high-speed analog–digital converting unit. As typically one can observe the presence of the relevant harmonic frequencies up to 1 MHz, the converter should provide at least 2 Ms/s sampling ratio according to Nyquist-Shannon-Kotelnikov criteria. Practically, however, the signal processing provides better accuracy when 4 or even 10 Ms/s sampling ratio is utilized [25]. Also the resolution and the input voltage range of the converter are crucial, as the signal rarely exceeds 400 mV peak-peak value.
11.2.6 Signal Acquisition and Processing Issues in Terms of the Algorithm’s Efficiency Demands
As the data acquisition and processing unit should work simultaneously with the AFM controller, it is essential that every cycle of the signal processing is performed within certain time limits. When the development of the AFM system is planned, one of the most important issues is the synchronization of the central unit and the auxiliary computational device. The problems with fulfilling those conditions can lead to improper image creation and the presence of the artifacts [40].
View of the signals present in the AFM system. The fast scanning signal (X axis) and the pulse synchronization signal are necessary to simultaneously work with the AFM controller and the auxiliary computational unit. The signals were obtained during scanning with 0.6 Hz scanning speed and \(512 \times 512\) resolution
Time diagram showing the difference between real-time (lower part) and non real-time (upper part) signal processing in advanced signal processing during surface scanning with the AFM
The distribution of the time periods for performing a single signal processing cycle for a single pixel, for two solutions: non real-time—“WIN” (Windows 7 based) and real-time—“RT” and various levels of the algorithm performance (1-raw algorithm, 2-optimized algorithm, 3-pipeline processing, 4-multithreading) are also presented
Comparison of the standard deviation and average time of the data processing duration for a single pixel
| Time (\(\upmu \)s) | Performance 1 | Performance 2 | Performance 3 | Performance 4 |
|---|---|---|---|---|
| Std. dev./average | Std. dev./average | Std. dev./average | Std. dev./average | |
| Real-time | 26/4325 | 28/3848 | 15/2366 | 20/2077 |
| Windows7 | 180/6756 | 125/6949 | 90/3959 | 69/3787 |
| Windows7\(^\mathrm{a}\) | 2493/59157 |
11.2.7 Utilization of High-Order Harmonics of the Cantilever’s Oscillations for the Surface’s Stiffness Mapping
As the bandwidth of the cantilever’s response signal is related to the stiffness of the sample (Fig. 11.3), it can be used for the mapping of this particular property [29, 35, 55, 56]. By measuring the power of certain high-order harmonic frequencies, one can relatively easily perform the imaging processing. Therefore, a lock-in amplifier should be used in order to provide necessary selectivity and sensitivity. Such approach cannot deliver quantitative information about mechanical properties of the surface, nevertheless it is useful in terms of interpretation of the results. It also simpler to implement than the time-resolved tapping mode technique.
The diagram showing the concept of the implementation of the eight-channel software-based lock-in amplifier with the signal imaging feature
The results of the comparison of two spectra obtained on the test sample containing materials of different stiffness: 2 GPa (surrounding) and 0.1 GPa (round object)
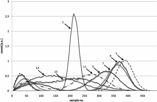
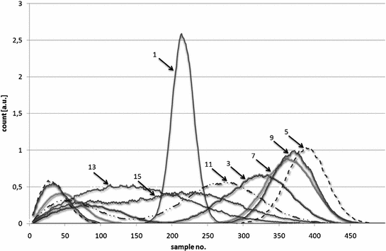
Obtained results are presented in Fig. 11.24. Also the topography and phase imaging maps are shown in order to allow correlating all available data. It can be noted that the first harmonic does not provide sufficient contrast, however, the maps of higher harmonics show very clearly a good relation between theoretical consideration and the obtained data. The softer area is presented by darker colors, as the values of certain harmonics are lower in a such case. It should be underlined, that higher frequencies (13, 15) are not as distinct as the lower ones, as they would reach higher values in case of mapping stiffer surfaces. In order to compare the effectiveness of the stiffness imaging, the distributions of acquired maps are presented in Fig. 11.25. The height of the peaks as well as the distance between them indicates how legible a certain map is. Therefore, it can be considered as an estimation of the detection sensitivity. The comparison of the distances between peaks is additionally shown in Fig. 11.26. It shows clearly that the largest values were obtained in the case of the 5, 7 and 9th harmonics. Concerning the height of the peaks, the 5 and 9th harmonics provided the higher values. This factor plays very important role as a derivative of the steepness of the tip-sample force curve. Therefore, it can be considered as the indicator of the stiffness detection resolution.
The scanning results of the test structure. From left to right: topography (a), phase imaging (b), and following harmonics: 1, 3, 5, 7, 9, 11, 13, 15 (c–j, respectively) for the base frequency 49, 24 kHz
The comparison of the distributions of the harmonics acquired with the 8-channel lock-in amplifier
The comparison of the peak–peak distances for acquired histograms of the harmonic changes distribution
It should be noted, that also flexural high-order oscillations were analyzed in terms of mapping of the mechanical properties of the surface.
In numerical analysis based on equivalent electrical circuits to model and simulate the higher harmonics generation in tapping mode, Sahin et al. concluded, that third harmonics is highly sensitive to the tip-sample interaction [58]. Experimental work showing the mapping of mechanical properties of the etched silicon wafer using 13th harmonic was presented by Hillenbrand et al. [59]. The utilization of such solution was more effective than phase imaging technique. In this work, the idea of reconstruction of the tip-sample interaction curve was also proposed. Also Sahin et al. used 10th harmonic to generate maps of the local stiffness changes while the temperature of PS-PMMA polymer film increased [29].
11.3 Application Examples
Changes in the mechanical properties of a polymer blend near the glass transition. Topography, phase, and tenth-harmonic images of a thin polymer film composed of PS and PMMA recorded at different temperatures. The circular features are PMMA, and the matrix is PS. Brighter color represents larger height, phase, or harmonic amplitude. The scan area is \(2.5 \times 5\) \(\upmu \)m. The color bar represents different height and phase ranges at each temperature (the range is given in the top left corner of each panel). For the harmonic images, the color bar represents a 10 V lock-in output signal at all temperatures. Note that height and phase contrast increases with temperature, whereas the harmonic contrast is first increasing and then decreasing [29]
Observation of dynamically changing properties of the material due to temperature increase was presented by Sahin et al. [29]. In this case, however, the mapping was performed using the 10th harmonic of the flexural cantilever’s base signal instead of recovering the force-distance curve. With this method, the behavior of the polymer film composed of the PS and PMMA near the glass transition was imaged (Fig. 11.27). It was possible to observe that near the 190 \(^{\circ }\)C, the grain boundaries become unclear and the material gained mobility, starting rearrangements of the formerly stable forms.
The mapping of the mechanical properties of pigment-latex coated paper samples was performed by Ihalainen et al. [52]. It was noted, that although being the minor component in the coating color formulation, the latex was appeared to be one of the major components on the surface. Additionally, the tip-sample thermodynamic work of adhesion of the composite materials on the coated surface correlated with the surface energy values obtained by contact angle measurements, showing a higher tip-sample work of adhesion as a function of a higher surface energy.
Lanniel et al. [53] observed the increase of the Young modulus of the hydrogen silsesquioxane, as it was exposed to the electron beam. As the map of the stiffness was acquired, its uniform distribution was observed. Since the Young modulus was determined with nanoindentation method, one could confirm, that locally measured properties were representative.
DMT modulus images of SBR/EPDM blends filled with 20 phr Ultrasil VN3; a 30/70 SBR/EPDM; b 50/50 SBR/EPDM [59]
Another experiment focused on quantitative mapping of elastic moduli at the nanoscale in phase separated polyurethanes was also performed by Schön et al. [61]. As observed morphology as well as elastic modulus strongly depends on stoichiometric ratio, it was possible to identify the sample. Additionally, the comparison of two commercially available mechanical mapping techniques was performed: torsional oscillations-based time-resolved tapping mode, and based on peak-force detection and feedback next generation imaging technique.
The results of scanning of the exfoliated graphene: topography (a), phase imaging (b), adhesion (c), stiffness (d), and peak force (e)
Also newly developed materials can be investigated in order to determine their properties. I particular, very promising nanomaterial as the graphene, still requires a number of investigations, as its values can enable new technologies and applications. In present example the exfoliated graphene flakes were placed on silicon wafer covered with 300 nm thick silicon dioxide layer [63]. As we expected, the stiffness of graphene is higher than the stiffness of the silicon dioxide (Fig. 11.29). Moreover, we could observe that the change of the thickness: monolayer and multilayers (from 4 up to over 40) does not affect the stiffness significantly. Additionally, we could observe slightly smaller adhesion on the graphene surface in relation to the substrate. Moreover, the peak force map revealed almost homogenous value, except the right side of the image, which can be related to very thick layer as well as the graphene detaching. One can note, that the phase image could not provide such valuable information. It should be emphasized, that the quantitative measurement in such case would not provide accurate data, as the Young modulus of graphene is far beyond the range of linear response of the system. Nevertheless obtained information can be useful in terms of technology of development of particular devices.
The utilization of time-resolved tapping mode in biological and medical sciences was also significant. Dague et al. observed interaction forces between the pig gastric mucin (PGM) and Lactococcus lactis as the model for lactic acid bacteria [64]. As the L. lactis cells were immobilized on the AFM tip, it was possible to observe the interaction forces between bacteria (lacto probe) and PGM-coated polystyrene.
Cross-correlational research comparing time-resolved tapping mode and conventional nanoindentation technique was performed, concerning investigation of the elasticity of bacterial nanowires from Shewanella oneidensis MR-1 cultured under electron-acceptor limiting [65]. Leung et al. demonstrated good consistency of the results obtained with both methods. Mapping of the elasticity of the bacteria wires did not reveal significant variations, therefore its mechanical homogeneity was verified.
Husale et al. presented utilization of time-varying tip-sample forces analysis in determination of the unique mechanical signatures of the DNA and RNA molecules [66]. Presented solution enabled direct quantification and counting hybridized molecules attached to the surface. The advantage of the method is relatively low cost, high speed, and attomolar-level detection sensitivity while it eliminates the biochemical processes.
11.4 Outlook and Conclusions
In this chapter we have presented the principles, specific issues of the implementation, and example results of the time-resolved intermittent contact technique based on the detection of the torsional cantilever oscillation. In particular, we showed a successful implementation of the NanoSwing solution based on this method. As this technique allows to perform high-speed and high-resolution mapping of the mechanical properties of the surface in intermittent contact mode regime, its range of application is very wide. The obtained maps of: topography, stiffness, adhesion, peak force, and energy dissipation enables the study of the structure of non-homogenous materials, where ingredients can be identified. Although the use of such a technique is much more complex than typical intermittent contact mode and the experience of the operator in setting the scanning parameters determines the effectiveness of its utilization, the advantages of the achieved measurement results are unquestionable as they provide much more detailed insight into the structure and properties of the investigated object.
We have also presented the possible methods of implementation of two measurement techniques utilizing the torsional bending of the cantilever. The presented solutions can be implemented on many AFM systems, where one is able to obtain access to the high-bandwidth unprocessed signals of all sections of the quadrant photodetector.
It should be underlined, that by enabling an access to information about certain tip-sample interaction phenomena, the experiments are performed in order to utilize available information to improve the topography imaging process, as the scanning tip can cause significant deformation of the surface. Such drawback can be reduced by developing new idea of the Z-axis feedback solution [67, 68].
Notes
Acknowledgments
The authors would like to thank Roman Szeloch (Wrocław University of Technology, Wrocław, Poland), Hans-Ulrich Danzebrink, Miriam Friedemann and Mirosław Woszczyna (Physikalisch-Technische Bundesanstalt, Braunschweig, Germany) and other colleagues and coworkers for support and collaboration. This work was supported financially by the Polish Ministry of Science and Higher Education (MNiSW) within the framework of the research project no. N N505 466338.
References
- 1.G. Binnig, C.F. Quate, C.H. Gerber, Atomic force microscope. Phys. Rev. Lett. 56(9), 930–933 (1986)ADSCrossRefGoogle Scholar
- 2.Y. Martin, C.C. Williams, H.K. Wickramasinghe, Atomic force microscope-force mapping and profiling on a sub 100-Å scale. J. Appl. Phys. 61(10), 4723–4729 (1987)ADSCrossRefGoogle Scholar
- 3.F.J. Giessibl, AFM’s path to atomic resolution. Mater. Today 8(5), 32–41 (2005)CrossRefGoogle Scholar
- 4.S. Morita (ed.), Roadmap of Scanning Probe Microscopy (Springer, Berlin, 2006)Google Scholar
- 5.B. Bhushan (ed.), Springer Handbook of Nanotechnology (Springer, Berlin, 2010)Google Scholar
- 6.P. Maivald, H.J. Butt, S.A.C. Gould, C.B. Prater, B. Drake, J.A. Gurley, V.B. Elings, P.K. Hansma, Using force modulation to image surface elasticities with the atomic force microscope. Nanotechnology 2, 103 (1991)ADSCrossRefGoogle Scholar
- 7.W.F. Heinz, J.H. Hoh, Spatially resolved force spectroscopy of biological surfaces using the atomic force microscope. Trends Biotechnol. 17(4), 143–150 (1999)CrossRefGoogle Scholar
- 8.C. Reynaud, F. Sommer, C. Quet, N. El Bounia, T.M. Duc, Quantitative determination of Young’s modulus on a biphase polymer system using atomic force microscopy. Surf. Interface Anal. 30, 185–189 (2000)CrossRefGoogle Scholar
- 9.P.J. de Pablo, J. Colchero, J. Gomez-Herrero, A.M. Baro, Jumping mode scanning force microscopy. Appl. Phys. Lett. 73(22), 3300–3302 (1998)ADSCrossRefGoogle Scholar
- 10.F. Moreno-Herrero, J. Colchero, J. Gómez-Herrero, A.M. Baró, J. Ávila, Jumping mode atomic force microscopy obtains reproducible images of Alzheimer paired helical filaments in liquids. Eur. Polym. J. 40(5), 927–932 (2004)CrossRefGoogle Scholar
- 11.A. Gigler, C. Gnahm, O. Marti, T. Schimmel, S. Walheim, Towards quantitative materials characterization with digital pulsed force mode imaging. J. Phys. Conf. Ser. 61, 346–351 (2007)ADSCrossRefGoogle Scholar
- 12.A. Rosa-Zeiser, E. Weilandt, S. Hild, O. Marti, The simultaneous measurement of elastic, electrostatic and adhesive properties by scanning force microscopy: pulsed-force mode operation. Meas. Sci. Technol. 8, 1333–1338 (1997)ADSCrossRefGoogle Scholar
- 13.M. Grandbois, H. Clausen-Schaumann, H.E. Gaub, Atomic force microscope imaging of phospholipid bilayer degradation by phospholipase A\(_{2}\). Biophys. J. 74, 2398–2404 (1998)CrossRefGoogle Scholar
- 14.C. Su, L. Huang, K. Kjoller, K. Babcock, Studies of tip wear processes in tapping mode™ atomic force microscopy. Ultramicroscopy 97(1–4), 135–144 (2003)CrossRefGoogle Scholar
- 15.A.G. Khurshudov, K. Kato, H. Koide, Wear of the AFM diamond tip sliding against silicon. Wear 203(204), 22–27 (1997)CrossRefGoogle Scholar
- 16.B. Anczykowski, D. Krueger, H. Fuchs, Cantilever dynamics in quasinoncontact force microscopy: spectroscopic aspects. Phys. Rev. B 53, 15485 (1996)ADSCrossRefGoogle Scholar
- 17.R. Garcia, R. Perez, Dynamic atomic force microscopy methods. Surf. Sci. Rep. 47, 197–301 (2002)ADSCrossRefzbMATHGoogle Scholar
- 18.U. Rabe, K. Janser, Vibrations of free and surface-coupled atomic force microscope cantilevers: theory and experiment. Rev. Sci. Instrum. 67, 3281–3293 (1996)ADSCrossRefGoogle Scholar
- 19.R. Garcia, A. San Palo, Attractive and repulsive tip-sample interaction regimes in tapping-mode atomic force microscopy. Phys. Rev. B 60, 4961–4967 (1999)ADSCrossRefGoogle Scholar
- 20.P.J. de Pablo, J. Colchero, M. Luna, J. Gomez-Herrero, A.M. Baro, Tip-sample interaction in tapping-mode scanning force microscopy. Phys. Rev. B 61(20), 14179–14183 (2000)ADSCrossRefGoogle Scholar
- 21.B. Anczykowski, B. Gotsmann, H. Fuchs, J.P. Cleveland, V.B. Elings, How to measure energy dissipation in dynamic mode atomic force microscopy. Appl. Surf. Sci. 140, 376–382 (1999)ADSCrossRefGoogle Scholar
- 22.A. San Palo, R. Garcia, Tip-surface forces, amplitude and energy dissipation in amplitude modulation (tapping mode) force microscopy. Phys. Rev. B 64, 193411 (2001)ADSCrossRefGoogle Scholar
- 23.J. Melchera, C. Carrascob, Xua 11, J.L. Carrascosad, J. Gómez-Herrerob, P.J. de Pablob, A. Ramana, Origins of phase contrast in the atomic force microscope in liquids. PNAS 106(33), 13655–13660 (2009)ADSCrossRefGoogle Scholar
- 24.R.W. Stark, Bistability, higher harmonics, and chaos in AFM. Mater. Today 13, 24–32 (2010)CrossRefGoogle Scholar
- 25.A. Sikora, L. Bednarz, Mapping of mechanical properties of the surface by utilization of torsional oscillation of the cantilever in atomic force microscopy. Cent. Eur. J. Phys. 9(2), 372–379 (2011)CrossRefGoogle Scholar
- 26.B.V. Derjaguin, V.M. Muller, Y.U.P. Toporov, Effect of contact deformations on the adhesion of particles. J. Colloid Interface Sci. 53, 314–326 (1975)CrossRefGoogle Scholar
- 27.L.D. Landau, E.M. Lifshitz, Theory of Elasticity (Pergamon, New York, 1986)Google Scholar
- 28.L. Zitzler, S. Herminghaus, F. Mugele, Capillary forces in tapping mode atomic force microscopy. Phys. Rev. B 66, 155436 (2002)ADSCrossRefGoogle Scholar
- 29.O. Sahin, C. Su, S. Magonov, C.F. Quate, O. Solgaard, An atomic force microscope tip designed to measure time varying nanomechanical forces. Nature Nanotechnol. 2, 507–514 (2007)CrossRefGoogle Scholar
- 30.O. Sahin, C.F. Quate, O. Solgaard, A. Atalar, Resonant harmonic response in tapping-mode atomic force microscopy. Phys. Rev. B 69, 165416 (2004)ADSCrossRefGoogle Scholar
- 31.O. Sahin, Time-varying tip-sample force measurements and steady-state dynamics in tapping-mode atomic force microscopy. Phys. Rev. B 77, 115405 (2008)ADSCrossRefGoogle Scholar
- 32.O. Sahin, Harmonic force microscope: a new tool for biomolecular identification and chara- cterization based on nanomechanical measurements (Stanford University, Ph.D. Dissertation, 2005)Google Scholar
- 33.Sahin O., Atalar A., Quate C.F., Solgaard O., (2005) Harmonic cantilevers and imaging methods for atomic force microscopy, US Patent No. US6935167.Google Scholar
- 34.Sahin O., Quate C.F., Solgaard O., (2006) Torsional harmonic cantilevers for detection of high frequency force components in atomic force microscopy, US Patent No. US7089787.Google Scholar
- 35.Sahin O., Quate C.F., Solgaard O., (2008) Atomic force microscope using a torsional harmonic cantilever, US Patent No. US7404314.Google Scholar
- 36.A.F. Sarioglu, O. Solgaard, Cantilevers with integrated sensor for time-resolved force measurement in tapping-mode atomic force microscopy. Appl. Phys. Lett. 93, 023114 (2008)ADSCrossRefGoogle Scholar
- 37.Bharat Bhushan (ed.), Scanning Probe Microscopy in Nanoscience and Nanotechnology, , vol. 2 (Springer, Berlin, 2011)Google Scholar
- 38.G. Meyer, N.M. Amer, Simultaneous measurement of lateral and normal forces with an optical-beam-deflection atomic force microscope. Appl. Phys. Lett. 57, 2089 (1990)ADSCrossRefGoogle Scholar
- 39.M. Stark, R.W. Stark, W.M. Heckl, R. Guckenberger, Inverting dynamic force microscopy: from signals to time-resolved interaction forces. Proc. Natl. Acad. Sci. U. S. A. 99, 8473–8478 (2002)ADSCrossRefGoogle Scholar
- 40.J. Legleiter, M. Park, B. Cusick, T. Kowalewski, Scanning probe acceleration microscopy (SPAM) in fluids: mapping mechanical properties of surfaces at the nanoscale. Proc. Natl. Acad. Sci. U. S. A. 103, 4813–4818 (2006)ADSCrossRefGoogle Scholar
- 41.E. Evans, K. Ritchie, Strength of a weak bond connecting flexible polymer chains. Biophys. J. 72, 1541 (1997)CrossRefGoogle Scholar
- 42.G.I. Bell, Models for the specific adhesion of cells to cells. Science 200, 618 (1978)ADSCrossRefGoogle Scholar
- 43.A. Ptak, M. Kappl, H.-J. Butt, Modified atomic force microscope for high-rate dynamic force spectroscopy. Appl. Phys. Lett. 88, 263109–263111 (2006)ADSCrossRefGoogle Scholar
- 44.HarmoniX User Guide, doc. no 004–1024-000, Veeco Instruments Inc. Santa Barbara USA, 2008.Google Scholar
- 45.S.D. Solares, H. Holscher, Numerical analysis of dynamic force spectroscopy using a dual-oscillator sensor. J. Vac. Sci. Technol. B 28, 3305338 (2010)CrossRefGoogle Scholar
- 46.S.D. Solares, H. Holscher, Numerical analysis of dynamic force spectroscopy using the torsional harmonic cantilever. Nanotechnology 21, 075702 (2010)ADSCrossRefGoogle Scholar
- 47.J. Legleiter, The effect of drive frequency and set point amplitude on tapping forces in atomic force microscopy: simulation and experiment. Nanotechnology 20, 245703 (2009)ADSCrossRefGoogle Scholar
- 48.N. Mullin, C. Vasilev, J.D. Tucker, C.N. Hunter, C.H.M. Weber, J.K. Hobbs, “Torsional tapping” atomic force microscopy using T-shaped cantilevers. Appl. Phys. Lett. 94, 173109 (2009)ADSCrossRefGoogle Scholar
- 49.O. Sahin, Harnessing bifurcations in tapping-mode atomic force microscopy to calibrate time-varying tip-sample force measurements, Rev. Sci. Instrum. 78, 103707–1-1103707-4 (2007).Google Scholar
- 50.J.S. Villarrubia, Scanned probe microscope tip characterization without calibrated tip characterizers. J. Vac. Sci. Technol. B 14(2), 1518 (1996)CrossRefGoogle Scholar
- 51.P.M. Williams, K.M. Shakesheff, M.C. Davies, D.E. Jackson, C.J. Roberts, S.J.B. Tendler, Blind reconstruction of scanning probe image data. J. Vac. Sci. Technol. B 14(2), 1557 (1996)CrossRefGoogle Scholar
- 52.P. Ihalainen, J. Järnström, A. Määttänen, J. Peltonen, Nano-scale mapping of mechanical and chemical surface properties of pigment coated surfaces by torsional harmonic atomic force microscopy. Colloids Surf. Physicochem. Eng. Aspects 373, 138–144 (2011)CrossRefGoogle Scholar
- 53.M. Lanniel, B. Lu, Y. Chen, S. Allen, S. Buttery, P. Williams, E. Huq, M. Alexander, Patterning the mechanical properties of hydrogen silsesquioxane films using electron beam irradiation for application in mechano cell guidance. Thin Solid Films 519, 2003–2010 (2011)ADSCrossRefGoogle Scholar
- 54.O. Sahin, N. Erina, High resolution and large dynamic range nanomechanical mapping in tapping-mode atomic force microscopy. Nanotechnology 19, 445717 (2008)ADSCrossRefGoogle Scholar
- 55.R.W. Stark, W.M. Heckl, Higher harmonics imaging in tapping-mode atomic-force microscopy. Rev. Sci. Instr. 74(12), 5111–5114 (2003)ADSCrossRefGoogle Scholar
- 56.M. Balantekin, A. Atalar, Enhanced higher-harmonic imaging in tapping-mode atomic force microscopy. Apl. Phys. Lett. 87, 243513 (2005)ADSCrossRefGoogle Scholar
- 57.A. Sikora, L. Bednarz, The implementation and the performance analysis of the multi-channel software-based lock-in amplifier for the stiffness mapping with atomic force microscope (AFM). Bull. Pol. Acad. Sci: Tech. Sci. 60(1), 83–88 (2012)Google Scholar
- 58.O. Sahin, A. Atalar, Simulation of higher harmonics generation in tapping-mode atomic force microscopy. Appl. Phys. Lett. 79(26), 4455 (2001)ADSCrossRefGoogle Scholar
- 59.R. Hillenbrand, M. Stark, R. Guckenberger, Higher-harmonics generation in tapping-mode atomic-force microscopy: insights into the tip-sample interaction. Appl. Phys. Lett. 76(23), 3478 (2000)ADSCrossRefGoogle Scholar
- 60.P. Schön, S. Dutta, M. Shirazi, J. Noordermeer, G.J. Vancso, Quantitative mapping of surface elastic moduli in silica-reinforced rubbers and rubber blends across the length scales by AFM. J. Mater. Sci. 46, 3507–3516 (2011)ADSCrossRefGoogle Scholar
- 61.P. Schön, K. Bagdi, K. Molnár, P. Markus, B. Pukánszky, Quantitative mapping of elastic moduli at the nanoscale in phase separated polyurethanes by AFM. Eur. Polym. J. 47, 692–698 (2011)CrossRefGoogle Scholar
- 62.M. Qu, F. Deng, S.M. Kalkhoran, A. Gouldstone, A. Robisson, K.J. Van Vliet, Nanoscale visualization and multiscale mechanical implications of bound rubber interphases in rubber-carbon black nanocomposites. Soft Matter. 7, 1066–1070 (2011)ADSCrossRefGoogle Scholar
- 63.A. Sikora, M. Woszczyna, M. Friedemann, M. Kalbac, F.-J. Ahlers, AFM diagnostics of the graphene-based quantum Hall devices. Micron 43, 479–486 (2012)CrossRefGoogle Scholar
- 64.E. Dague, D.T. Le, S. Zanna, P. Marcus, P. Loubière, M. Mercier-Bonin, Probing in vitro interactions between Lactococcus lactis and mucins using AFM. Langmuir 26(13), 11010–7 (2010)CrossRefGoogle Scholar
- 65.K.M. Leung, G. Wanger, Q. Guo, Y. Gorby, G. Southam, W.M. Lau et al., Bacterial nanowires: conductive as silicon, soft as polymer. Soft Matter. 7, 6617 (2011)ADSCrossRefGoogle Scholar
- 66.S. Husale, H.J. Persson, O. Sahin, DNA nanomechanics allows direct digital detection of complementary DNA and microRNA targets. Nature 462, 1075–U1138 (2009)ADSCrossRefGoogle Scholar
- 67.Z. Parlak, R. Hadizadeh, M. Balantekin, F.L. Degertekin, Controlling tip-sample interaction forces during a single tap for improved topography and mechanical property imaging of soft materials by AFM. Ultramicroscopy 109, 1121–1125 (2009)CrossRefGoogle Scholar
- 68.A. Sikora, L. Bednarz, Direct measurement and control of peak tapping forces in atomic force microscopy for improved height measurements. Meas. Sci. Technol. 22, 094005 (2011)ADSCrossRefGoogle Scholar




























