ACNS 2015: Applied Cryptography and Network Security pp 655-674 | Cite as
Leakage-Resilient Cryptography over Large Finite Fields: Theory and Practice
Abstract
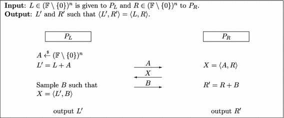
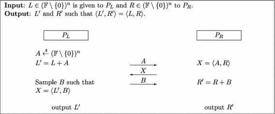
Information leakage is a major concern in modern day IT-security. In fact, a malicious user is often able to extract information about private values from the computation performed on the devices. In specific settings, such as RFID, where a low computational complexity is required, it is hard to apply standard techniques to achieve resilience against this kind of attacks. In this paper, we present a framework to make cryptographic primitives based on large finite fields robust against information leakage with a bounded computational cost. The approach makes use of the inner product extractor and guarantees security in the presence of leakage in a widely accepted model. Furthermore, we show how to apply the proposed techniques to the authentication protocol Lapin, and we compare it to existing solutions.
Keywords
Statistical Distance Product Extractor Field Element Protocol Execution Graceful DegradationNotes
Acknowledgements
The authors would like to thank Krzysztof Pietrzak and Eike Kiltz for the helpful discussions on the leakage resilience of LPN and Tim Güneysu, Thomas Pöppelmann and Ingo von Maurich for helping with the implementation on the avr microcontroller.
Supplementary material
References
- [And12]Andrychowicz, M.: Efficient refreshing protocol for leakage-resilient storage based on the inner-product extractor. CoRR, abs/1209.4820 (2012)Google Scholar
- [BFGV12]Balasch, J., Faust, S., Gierlichs, B., Verbauwhede, I.: Theory and practice of a leakage resilient masking scheme. In: Wang, X., Sako, K. (eds.) ASIACRYPT 2012. LNCS, vol. 7658, pp. 758–775. Springer, Heidelberg (2012)CrossRefGoogle Scholar
- [BKKV10]Brakerski, Z., Kalai, Y.T., Katz, J., Vaikuntanathan, V.: Overcoming the hole in the bucket: public-key cryptography resilient to continual memory leakage. In: FOCS, pp. 501–510. IEEE Computer Society (2010)Google Scholar
- [CG88]Chor, B., Goldreich, O.: Unbiased bits from sources of weak randomness and probabilistic communication complexity. SIAM J. Comput. 17(2), 230–261 (1988)MathSciNetCrossRefMATHGoogle Scholar
- [DBL12]53rd Annual IEEE Symposium on Foundations of Computer Science, FOCS 2012, New Brunswick, NJ, USA, 20–23 October 2012. IEEE Computer Society (2012)Google Scholar
- [DDV10]Davì, F., Dziembowski, S., Venturi, D.: Leakage-resilient storage. In: Garay, J.A., De Prisco, R. (eds.) SCN 2010. LNCS, vol. 6280, pp. 121–137. Springer, Heidelberg (2010)CrossRefGoogle Scholar
- [DF11]Dziembowski, S., Faust, S.: Leakage-resilient cryptography from the inner-product extractor. In: Lee, D.H., Wang, X. (eds.) ASIACRYPT 2011. LNCS, vol. 7073, pp. 702–721. Springer, Heidelberg (2011)CrossRefGoogle Scholar
- [DF12]Dziembowski, S., Faust, S.: Leakage-resilient circuits without computational assumptions. In: Cramer, R. (ed.) TCC 2012. LNCS, vol. 7194, pp. 230–247. Springer, Heidelberg (2012)CrossRefGoogle Scholar
- [DHLAW10]Dodis, Y., Haralambiev, K., López-Alt, A., Wichs, D.: Cryptography against continuous memory attacks. In: FOCS, pp. 511–520. IEEE Computer Society (2010)Google Scholar
- [DP08]Dziembowski, S., Pietrzak, K.: Leakage-resilient cryptography. In: FOCS 2008: Proceedings of the 49th Annual IEEE Symposium on Foundations of Computer Science, Washington, DC, USA. IEEE Computer Society (2008)Google Scholar
- [FKPR10]Faust, S., Kiltz, E., Pietrzak, K., Rothblum, G.N.: Leakage-resilient signatures. In: Micciancio, D. (ed.) TCC 2010. LNCS, vol. 5978, pp. 343–360. Springer, Heidelberg (2010)CrossRefGoogle Scholar
- [FRR+10]Faust, S., Rabin, T., Reyzin, L., Tromer, E., Vaikuntanathan, V.: Protecting circuits from leakage: the computationally-bounded and noisy cases. In: Gilbert, H. (ed.) EUROCRYPT 2010. LNCS, vol. 6110, pp. 135–156. Springer, Heidelberg (2010)CrossRefGoogle Scholar
- [GLS14]Gaspar, L., Leurent, G., Standaert, F.-X.: Hardware implementation and side-channel analysis of lapin. In: Benaloh, J. (ed.) CT-RSA 2014. LNCS, vol. 8366, pp. 206–226. Springer, Heidelberg (2014)CrossRefGoogle Scholar
- [GR10]Goldwasser, S., Rothblum, G.N.: Securing computation against continuous leakage. In: Rabin, T. (ed.) CRYPTO 2010. LNCS, vol. 6223, pp. 59–79. Springer, Heidelberg (2010)CrossRefGoogle Scholar
- [GR12]Goldwasser, S., Rothblum, G.N.: How to compute in the presence of leakage. In: 53rd Annual IEEE Symposium on Foundations of Computer Science, FOCS 2012, New Brunswick, NJ, USA, 20–23 October 2012. IEEE Computer Society, pp. 31–40 (2012)Google Scholar
- [GST13]Genkin, D., Shamir, A., Tromer, E.: Rsa key extraction via low-bandwidth acoustic cryptanalysis. Cryptology ePrint Archive, Report 2013/857 (2013). http://eprint.iacr.org/
- [HKL+12]Heyse, S., Kiltz, E., Lyubashevsky, V., Paar, C., Pietrzak, K.: Lapin: an efficient authentication protocol based on ring-LPN. In: Canteaut, A. (ed.) FSE 2012. LNCS, vol. 7549, pp. 346–365. Springer, Heidelberg (2012)CrossRefGoogle Scholar
- [HVM04]Hankerson, D., Vanstone, S., Menezes, A.J.: Guide to Elliptic Curve Cryptography. Springer, New York (2004)MATHGoogle Scholar
- [ISW03]Ishai, Y., Sahai, A., Wagner, D.: Private circuits: securing hardware against probing attacks. In: Boneh, D. (ed.) CRYPTO 2003. LNCS, vol. 2729, pp. 463–481. Springer, Heidelberg (2003)CrossRefGoogle Scholar
- [JV10]Juma, A., Vahlis, Y.: Protecting cryptographic keys against continual leakage. In: Rabin, T. (ed.) CRYPTO 2010. LNCS, vol. 6223, pp. 116–137. Springer, Heidelberg (2010)Google Scholar
- [LM13]Lyubashevsky, V., Masny, D.: Man-in-the-middle secure authentication schemes from LPN and weak PRFs. In: Canetti, R., Garay, J.A. (eds.) CRYPTO 2013, Part II. LNCS, vol. 8043, pp. 308–325. Springer, Heidelberg (2013)CrossRefGoogle Scholar
- [MR04]Micali, S., Reyzin, L.: Physically observable cryptography. In: Naor, M. (ed.) TCC 2004. LNCS, vol. 2951, pp. 278–296. Springer, Heidelberg (2004)CrossRefGoogle Scholar
- [PR11]Prouff, E., Roche, T.: Higher-order glitches free implementation of the AES using secure multi-party computation protocols. In: Preneel, B., Takagi, T. (eds.) CHES 2011. LNCS, vol. 6917, pp. 63–78. Springer, Heidelberg (2011)CrossRefGoogle Scholar
- [PRR14]Prouff, E., Rivain, M., Roche, T.: On the practical security of a leakage resilient masking scheme. In: Benaloh, J. (ed.) CT-RSA 2014. LNCS, vol. 8366, pp. 169–182. Springer, Heidelberg (2014)CrossRefGoogle Scholar
- [Rab10]Rabin, Tal (ed.) CRYPTO 2010. LNCS, vol. 6223, pp. 116–137. Springer, Heidelberg (2010)Google Scholar
- [Rao07]Rao, A.: An exposition of bourgains 2-source extractor. In: Electronic Colloquium on Computational Complexity (ECCC), vol. 14 (2007)Google Scholar
- [RP10]Rivain, M., Prouff, E.: Provably secure higher-order masking of AES. In: Mangard, S., Standaert, F.-X. (eds.) CHES 2010. LNCS, vol. 6225, pp. 413–427. Springer, Heidelberg (2010)CrossRefGoogle Scholar
- [Vaz85]Vazirani, U.V.: Towards a strong communication complexity theory or generating quasi-random sequences from two communicating slightly-random sources. In: Proceedings of the Seventeenth Annual ACM Symposium on Theory of Computing, pp. 366–378. ACM (1985)Google Scholar




