Skip to main content

Distinguishing state variability from trait change in longitudinal data: The role of measurement (non)invariance in latent state-trait analyses

Abstract

Researchers analyzing longitudinal data often want to find out whether the process they study is characterized by (1) short-term state variability, (2) long-term trait change, or (3) a combination of state variability and trait change. Classical latent state-trait (LST) models are designed to measure reversible state variability around a fixed set-point or trait, whereas latent growth curve (LGC) models focus on long-lasting and often irreversible trait changes. In the present article, we contrast LST and LGC models from the perspective of measurement invariance testing. We show that establishing a pure state-variability process requires (1) the inclusion of a mean structure and (2) establishing strong factorial invariance in LST analyses. Analytical derivations and simulations demonstrate that LST models with noninvariant parameters can mask the fact that a trait-change or hybrid process has generated the data. Furthermore, the inappropriate application of LST models to trait change or hybrid data can lead to bias in the estimates of consistency and occasion specificity, which are typically of key interest in LST analyses. Four tips for the proper application of LST models are provided.

This is a preview of subscription content, access via your institution.

Fig. 1
Fig. 2
Fig. 3
Fig. 4
Fig. 5
Fig. 6
Fig. 7

Notes

  1. Extensions of LST models that also account for trait changes have been presented in the literature (e.g., Eid, Courvoisier, & Lischetzke, 2012; Eid & Hoffmann, 1998; Geiser, Keller, & Lockhart, 2013; Steyer, Krambeer, & Hannöver, 2004; Tisak & Tisak, 2000). However, our focus in this article is on classical LST models as state-variability models that do not allow for trait changes, since these models are the most frequently used LST models in the applied literature.

  2. For simplicity, we assume in this article that all indicators are homogeneous in the sense that they share the same trait within scaling differences. Geiser and Lockhart (2012) discuss LST models that allow for indicator heterogeneity (unique trait components) and/or method effects. The MI issues discussed in the present article are general in nature and apply to both LST models for homogeneous and heterogeneous indicators.

  3. Note that some of these restrictions follow by definition of the theoretical concepts in LST theory, whereas others require additional assumptions. For the issues discussed in the present article, a distinction between restrictions that follow by definition and restrictions that require additional assumptions is not essential. We refer readers interested in the specific details to Steyer et al. (1992) or Steyer et al. (2012).

  4. It should be noted that the STMS model is often specified as a higher order factor model, in which the observed variables load onto common latent state factors τ t , which themselves load onto a second-order latent trait factor ξ (see, e.g., Steyer et al., 1992). In this type of specification, not only the first-order factor loadings and intercepts should be tested for time invariance, but also the second-order factor loadings and intercepts that relate the latent state factors to the latent trait factor.

  5. Note that this model could be extended to include additional latent change variables (ξ3 − ξ1) and (ξ4 − ξ1) to measure specific components of change. For simplicity, such more complex latent change score models are not considered in the present article.

  6. We realize that cutoff criteria for approximate fit indices are to some extent arbitrary and that they should not be taken as “golden rules,” as has been pointed out in the literature (Chen, Curran, Bollen, Kirby, & Paxton, 2008; Marsh, Hau, & Wen, 2004). In the present article, we are using a summary fit criterion mostly to simplify the presentation.

  7. Of the 52 LST articles identified in our review of the applied LST literature, only 6 explicitly included a mean structure and tested the equality of the intercepts as part of establishing MI (e.g., Alessandri et al., 2012; Baumgartner & Steenkamp, 2006).

References

  • Alessandri, G., Caprara, G. V., & Tisak, J. (2012). A unified latent curve, latent state-trait analysis of the developmental trajectories and correlates of positive orientation. Multivariate Behavioral Research, 47, 341–368.

    Article  Google Scholar 

  • Anastasi, A. (1983). Traits, states, and situations: A comprehensive view. In H. Wainer & S. Messick (Eds.), Principals of modern psychological measurement (pp. 345–356). Hillsdale, NJ: Erlbaum.

    Google Scholar 

  • Baumgartner, H., & Steenkamp, J.-B. E. M. (2006). An extended paradigm for measurement analysis of marketing constructs applicable to panel data. Journal of Marketing Research, 43, 431–442.

    Article  Google Scholar 

  • Bentler, P. M. (1990). Comparative fit indexes in structural models. Psychological Bulletin, 107, 238–246.

    Article  PubMed  Google Scholar 

  • Bishop, J., Geiser, C., & Cole, D. A. (2013). Modeling growth with multiple indicators: A comparison of three approaches. Manuscript submitted for publication.

  • Boll, T., Michels, T., Ferring, D., & Filipp, S.-H. (2010). Trait and state components of perceived parental differential treatment in middle adulthood: A longitudinal study. Journal of Individual Differences, 31, 158–165.

    Article  Google Scholar 

  • Bollen, K. A., & Curran, P. J. (2006). Latent curve models: A structural equation approach. Hoboken, NJ: Wiley.

    Google Scholar 

  • Borsboom, D. (2006). The attack of the psychometricians. Psychometrika, 71, 425–440.

    Article  PubMed  PubMed Central  Google Scholar 

  • Byrne, B. M., Shavelson, R. J., & Muthén, B. (1989). Testing for the equivalence of factor covariance and mean structures: The issue of partial measurement invariance. Psychological Bulletin, 105, 456–466.

    Article  Google Scholar 

  • Chan, D. (1998). The conceptualization and analysis of change over time: An integrative approach incorporating longitudinal mean and covariance structures analysis (LMACS) and multiple indicator latent growth modeling (MLGM). Organizational Research Methods, 1, 421–483.

    Article  Google Scholar 

  • Chen, F., Curran, P. J., Bollen, K. A., Kirby, J., & Paxton, P. (2008). An empirical evaluation of the use of fixed cutoff points in RMSEA test statistic in structural equation models. Sociological Methods & Research, 36, 462–494.

    Article  Google Scholar 

  • Cheung, G. W., & Rensvold, R. B. (2002). Evaluating goodness-of-fit indexes for testing measurement invariance. Structural Equation Modeling, 9, 233–255.

    Article  Google Scholar 

  • Cheung, G. W., & Rensvold, R. B. (1999). Testing factorial invariance across groups: A reconceptualization and proposed new method. Journal of Management, 25, 1–27.

    Article  Google Scholar 

  • Ciesla, J. A., Cole, D. A., & Steiger, J. H. (2007). Extending the trait-state-occasion model: How important is within-wave measurement equivalence? Structural Equation Modeling, 14, 77–97.

    Google Scholar 

  • Cohen, J. (1988). Statistical power analysis for the behavioral sciences (2nd ed.). Hillsdale, NJ: Erlbaum.

    Google Scholar 

  • Cole, D. A. (2012). Latent trait-state models. In R. H. Hoyle (Ed.), Handbook of structural equation modeling (pp. 585–600). New York: Guilford.

    Google Scholar 

  • Collins, L. M., & Sayer, A. G. (2001). New methods for the analysis of change. Washington, D.C.: American Psychological Association.

    Book  Google Scholar 

  • Deinzer, R., Steyer, R., Eid, M., Notz, P., Schwenkmezger, P., Ostendorf, F., & Neubauer, A. (1995). Situational effects in trait assessment: The FPI, NEOFFI and EPI questionnaires. European Journal of Personality, 9, 1–23.

    Article  Google Scholar 

  • Duncan, T. E., Duncan, S. C., & Strycker, L. A. (2006). An introduction to latent variable growth curve modeling: Concepts, issues, and applications (2nd ed.). Mahwah, NJ: Lawrence Erlbaum.

    Google Scholar 

  • Eid, M. (1996). Longitudinal confirmatory factor analysis for polytomous item responses: Model definition and model selection on the basis of stochastic measurement theory. Methods of Psychological Research - Online, 1, 65–85.

    Google Scholar 

  • Eid, M. (2007). Latent class models for analyzing variability and change. In A. Ong & M. van Dulmen (Eds.), Handbook of methods in positive psychology (pp. 591–607). Oxford: Oxford University Press.

    Google Scholar 

  • Eid, M., Courvoisier, D. S., & Lischetzke, T. (2012). Structural equation modeling of ambulatory assessment data. In M. R. Mehl & T. S. Connor (Eds.), Handbook of research methods for studying daily life (pp. 384–406). New York: Guilford.

    Google Scholar 

  • Eid, M., & Diener, E. (2004). Global judgments of subjective well-being: Situational variability and long-term stability. Social Indicators Research, 65, 245–277.

    Article  Google Scholar 

  • Eid, M., & Hoffmann, L. (1998). Measuring variability and change with an item response model for polytomous variables. Journal of Educational and Behavioral Statistics, 23, 193–215.

    Article  Google Scholar 

  • Eid, M., Schneider, C., & Schwenkmezger, P. (1999). Do you feel better or worse? The validity of perceived deviations of mood states from mood traits. European Journal of Personality, 13, 283–306.

    Article  Google Scholar 

  • Ferrer, E., Balluerka, N., & Widaman, K. F. (2008). Factorial invariance and the specification of second-order growth models. Methodology, 4, 22–36.

    PubMed  PubMed Central  Google Scholar 

  • Geiser, C., & Lockhart, G. (2012). A comparison of four approaches to account for method effects in latent state trait analyses. Psychological Methods, 17, 255–283.

    Article  PubMed  PubMed Central  Google Scholar 

  • Geiser, C., Keller, B. T., & Lockhart, G. (2013). First- versus second-order latent growth curve models: Some insights from latent state-trait theory. Structural Equation Modeling, 20, 479–503.

    Google Scholar 

  • Hermes, M., Hagemann, D., Britz, P., Lieser, S., Bertsch, K., Naumann, E., & Walter, C. (2009). Latent state-trait structure of cerebral blood flow in a resting state. Biological Psychology, 80, 196–202.

    Article  PubMed  Google Scholar 

  • Hertzog, C., & Nesselroade, J. R. (1987). Beyond autoregressive models: Some implications of the trait-state distinction for the structural modeling of developmental change. Child Development, 58, 93–109.

    Article  PubMed  Google Scholar 

  • Hu, L., & Bentler, P. M. (1999). Cutoff criteria for fit indexes in covariance structure analysis: Conventional criteria versus new alternatives. Structural Equation Modeling, 6, 1–55.

    Article  Google Scholar 

  • Jagodzinski, W., Kühnel, S. M., & Schmidt, P. (1987). Is there a ‘Socratic Effect’ in non-experimental panel studies? Consistency of an attitude toward guestworkers. Sociological Methods & Research, 15, 259–302.

    Article  Google Scholar 

  • Kenny, D. A. (2001). Trait-state models for longitudinal data. In L. M. Collins & A. G. Sayer (Eds.), New methods for the analysis of change (pp. 243–263). Washington, D.C.: American Psychological Association.

    Chapter  Google Scholar 

  • Kertes, D. A., & van Dulmen, M. (2012). Latent state trait modeling of children's cortisol at two points of the diurnal cycle. Psychoneuroendocrinology, 37, 249–255. doi:10.1016/j.psyneuen.2011.06.009

    Article  PubMed  PubMed Central  Google Scholar 

  • Lorber, M. F., & O'Leary, K. D. (2011). Stability, change, and informant variance in newlywed's physical aggression: Individual and dyadic processes. Aggressive Behavior, 37, 1–15.

    Article  Google Scholar 

  • Luhmann, M., Schimmack, U., & Eid, M. (2011). Stability and variability in the relationship between subjective well-being and income. Journal of Research in Personality, 45, 186–197.

    Article  Google Scholar 

  • Marsh, H. W., Hau, K.-T., & Wen, Z. (2004). In search of golden rules: Comment on hypothesis-testing approaches to setting cutoff values for fit indexes and dangers in overgeneralizing Hu and Bentler's (1999) findings. Structural Equation Modeling, 11, 320–341.

    Article  Google Scholar 

  • McArdle, J. J. (2009). Latent variable modeling of differences and changes with longitudinal data. Annual Review of Psychology, 60, 577–605.

    Article  PubMed  Google Scholar 

  • McArdle, J. J. (1988). Dynamic but structural equation modeling of repeated measures data. In R. B. Cattell & J. Nesselroade (Eds.), Handbook of multivariate experimental psychology (2nd ed., pp. 561–614). New York: Plenum Press.

    Chapter  Google Scholar 

  • McArdle, J. J., & Hamagami, F. (2001). Latent difference score structural models for linear dynamic analyses with incomplete longitudinal data. In L. M. Collins & A. G. Sayer (Eds.), New methods for the analysis of change (pp. 139–175). Washington, DC: American Psychological Association.

    Chapter  Google Scholar 

  • Meredith, W. (1993). Measurement invariance, factor analysis, and factorial invariance. Psychometrika, 58, 525–543.

    Article  Google Scholar 

  • Meredith, W., & Tisak, J. (1990). Latent curve analysis. Psychometrika, 55, 107–122.

    Article  Google Scholar 

  • Millsap, R. E. (2011). Statistical approaches to measurement invariance. New York: Routledge.

    Google Scholar 

  • Millsap, R. E., & Meredith, W. (2007). Factorial invariance: Historical perspectives and new problems. In R. Cudeck & R. MacCallum (Eds.), Factor analysis at 100: Historical developments and future directions (pp. 130–152). Mahwah, NJ: Erlbaum.

    Google Scholar 

  • Muthén, L. K., & Muthén, B. O. (1998–2012). Mplus user’s guide (7th ed.). Los Angeles, CA: Muthén & Muthén.

    Google Scholar 

  • Nesselroade, J. R. (1991). Interindividual differences in intraindividual change. In L. M. Collins & J. L. Horn (Eds.), Best methods for the analysis of change. Recent advances, unanswered questions, future directions (pp. 92–105). Washington, DC: American Psychological Association.

    Chapter  Google Scholar 

  • Ploubidis, G. B., & Frangou, S. (2011). Neuroticism and psychological distress: To what extent is their association due to the person-environment correlation? European Psychiatry, 26, 1–5.

    Article  PubMed  Google Scholar 

  • Raykov, T. (1993). On estimating true change interrelationships with other variables. Quality and Quantity, 27, 353–370.

    Article  Google Scholar 

  • Schermelleh-Engel, K., Moosbrugger, H., & Müller, H. (2003). Evaluating the fit of structural equation models: Test of significance and descriptive goodness-of-fit measures. Methods of Psychological Research - Online, 8, 23–74.

    Google Scholar 

  • Schermelleh-Engel, K., Keith, N., Moosbrugger, H., & Hodapp, V. (2004). Decomposing person and occasion-specific effects: An extension of latent state-trait theory to hierarchical LST models. Psychological Methods, 9, 198–219.

    Article  PubMed  Google Scholar 

  • Schmitt, M. J., & Steyer, R. (1993). A latent state-trait model (not only) for social desirability. Personality and Individual Differences, 14, 519–529.

    Article  Google Scholar 

  • Steiger, J. H. (1990). Structural model evaluation and modification: An interval estimation approach. Multivariate Behavioral Research, 25, 173–180.

    Article  Google Scholar 

  • Steyer, R. (1989). Models of classical psychometric test theory as stochastic measurement models: Representation, uniqueness, meaningfulness, identifiability, and testability. Methodika, 3, 25–60.

    Google Scholar 

  • Steyer, R., Eid, M., & Schwenkmezger, P. (1997). Modeling true intraindividual change: True change as a latent variable. Methods of Psychological Research Online, 2, 21–33.

    Google Scholar 

  • Steyer, R., Ferring, D., & Schmitt, M. J. (1992). States and traits in psychological assessment. European Journal of Psychological Assessment, 8, 79–98.

    Google Scholar 

  • Steyer, R., Geiser, C., & Fiege, C. (2012). Latent state-trait models. In H. Cooper (Ed.), Handbook of research methods in psychology (pp. 291–308). Washington, DC: American Psychological Association.

  • Steyer, R., Krambeer, S., & Hannöver, W. (2004). Modeling latent trait-change. In K. Van Montfort, H. Oud, & A. Satorra (Eds.), Recent developments on structural equation modeling: Theory and applications (pp. 337–357). Amsterdam: Kluwer Academic Press.

    Chapter  Google Scholar 

  • Steyer, R., Majcen, A.-M., Schwenkmezger, P., & Buchner, A. (1989). A latent state-trait anxiety model and its application to determine consistency and specificity coefficients. Anxiety Research, 1, 281–299.

    Article  Google Scholar 

  • Steyer, R., Schmitt, M., & Eid, M. (1999). Latent state-trait theory and research in personality and individual differences. European Journal of Personality, 13, 389–408.

    Article  Google Scholar 

  • Tisak, J., & Tisak, M. S. (2000). Permanency and ephemerality of psychological measures with application to organizational commitment. Psychological Methods, 5, 175–198.

    Article  PubMed  Google Scholar 

  • Vandenberg, R. J., & Lance, C. E. (2000). A review and synthesis of the measurement invariance literature: Suggestions, practices, and recommendations for organizational research. Organizational Research Methods, 3, 4–70.

    Article  Google Scholar 

  • von Oerzen, T., Hertzog, C., Lindenberger, U., & Ghisletta, P. (2010). The effect of multiple indicators on the power to detect inter-individual differences in change. British Journal of Mathematical and Statistical Psychology, 63, 627–646.

    Article  Google Scholar 

  • Widaman, K. F., & Reise, S. P. (1997). Exploring the measurement invariance of psychological instruments: Applications in the substance use domain. In K. J. Bryant, M. Windle, & S. G. West (Eds.), The science of prevention: Methodological advances from alcohol and substance abuse research (pp. 281–324). Washington, DC: American Psychological Association.

    Chapter  Google Scholar 

  • Windle, M., & Dumenci, L. (1998). An investigation of maternal and adolescent depressed mood using a latent trait-state model. Journal of Research on Adolescence, 8, 461–484.

    Article  Google Scholar 

Download references

Author Note

The authors would like to thank Jacob Bishop for creating the path diagrams for this article.

Author information

Affiliations

Authors

Corresponding author

Correspondence to Christian Geiser.

Appendices

Appendix 1 Formal definition of the multiple-indicator LGC model used in the simulation study

The multiple-indicator linear LGC model used in the simulation study (see Fig. 3) was first presented by Eid et al. (2012). Here, we show how this model can be formally defined on the basis of concepts of LST theory to illustrate its mathematical relationship to the STMS model. For more details, see Bishop et al. (2013). In the first step, we assume that all latent trait variables measured at the same time point t are congeneric:

$$ {\upxi}_{it}={\alpha}_{it}+{\lambda}_{it}{\upxi}_t. $$
(20)

This is different from the assumption stated in Equation 3 for the STMS model in that we no longer postulate homogeneity of all latent trait variables ξ it but only of those that are measured on the same time point t. In the second step, we define an intercept factor to be equal to the common latent trait factor measured at time 1 (ξ1) and a slope factor to be equal to the latent difference variable (ξ2 − ξ1):

$$ Intercept\equiv {\upxi}_1 $$
(21)
$$ Slope\equiv \left({\upxi}_2-{\upxi}_1\right). $$
(22)

In the third step, we make the assumption that change over time is linear by postulating the following relation:

$$ \begin{array}{c}\kern-2em {\upxi}_t={\upxi}_1+\left(t-1\right)\left({\upxi}_2-{\upxi}_1\right)\\ {}= Intercept+\left(t-1\right) Slope.\end{array} $$
(23)

In the fourth step, we assume, as in the STMS model, that occasion-specific effects are homogeneous for all indicators measured at the same time point, so that they can be represented by common state residual factors (compare Equation 4):

$$ {\zeta}_{it}={\delta}_{it}{\zeta}_t. $$
(24)

Inserting Equation 23 into Equation 20, we obtain

$$ \begin{array}{c}\kern-9.7em {\upxi}_{it}={\alpha}_{it}+{\lambda}_{it}{\upxi}_t\\ {}\kern-1em ={\alpha}_{it}+{\lambda}_{it}\left[{\upxi}_1+\left(t-1\right)\left({\upxi}_2-{\upxi}_1\right)\right]\\ {}\kern-1em ={\alpha}_{it}+{\lambda}_{it}{\upxi}_1+{\lambda}_{it}\left(t-1\right)\left({\upxi}_2-{\upxi}_1\right)\\ {}={\alpha}_{it}+{\lambda}_{it} Intercept+{\lambda}_{it}\left(t-1\right) Slope.\end{array} $$
(25)

Inserting Equations 24 and 25 into the basic LST measurement equation (Equation 5) yields

$$ \begin{array}{c}\kern-13.5em {Y}_{it}={\upxi}_{it}+{\upzeta}_{it}+{\upvarepsilon}_{it}\\ {}\kern-.7em ={\alpha}_{it}+{\lambda}_{it}{\upxi}_1+{\lambda}_{it}\left(t-1\right)\left({\upxi}_2-{\upxi}_1\right)+{\delta}_{it}{\zeta}_t+{\upvarepsilon}_{it}\\ {}\kern1em ={\alpha}_{it}+{\lambda}_{it} Intercept+{\lambda}_{it}\left(t-1\right) Slope+{\delta}_{it}{\zeta}_t+{\upvarepsilon}_{it}.\end{array} $$
(26)

The STMS model is a special case of the model in Equation 26 that results if Var2 − ξ1) = E2 − ξ1) = 0.

Appendix 2 Parameter specification in the simulation study

In this appendix, we describe the parameter specification of the population model used in the simulation study.

Parameter Value
Indicator intercepts, α it Fixed to 0 for all indicators
Loadings on the latent intercept factor, λξ1 Fixed to 1 for all indicators
Loadings on the linear slope factor, λ(ξ2 – ξ1) Fixed to 0 (time 1), 1 (time 2), 2 (time 3), 3 (time 4)
Loadings on the latent state residual factors, δ it Fixed to 1 for all indicators
Indicator residual variances, Var it ) Varied depending on the slope factor variance so that reliability would equal .8 for all indicators at all time points in all conditions
Variance of the intercept factor, Var1) 0.5
Mean of the intercept factor, E1) 0
Variance of the linear slope factor, Var2 – ξ1) Three conditions: 0.005 (1 % of the intercept factor variance), 0.025 (5 % of the intercept factor variance), and 0.05 (10 % of the intercept factor variance)
Mean of the linear slope factor, E2 – ξ1) Varied depending on the slope factor variance condition to obtain small (0.2), medium (0.5), and large (0.8) mean differences in terms of Cohen’s d measure, respectively; Cohen’s d was defined as E2 – ξ1)/[Var2 – ξ1)0.5]
Covariance between intercept and linear slope factor, Cov1,(ξ2 – ξ1)] Fixed to 0
Latent state residual factor variances, Var t ) Always 0.3 at time 1. Remaining values were varied depending on the slope factor variance condition, so that occasion specificity would equal .3 for all indicators at all time points in all conditions
Covariances among latent state residual factors and between latent state residual factors and all other factors Fixed to 0

Appendix 3 Mplus scripts for the proper specification of the STMS and linear growth models with time-invariant factor loadings and intercepts

STMS model with time-invariant parameters

Linear LGC model with time-invariant parameters

MTMS model with time-invariant parameters

Multiple-indicator linear LGC model with indicator-specific intercept and slope factors

Appendix 4 Simulation results for individual fit statistics

Table 1 Mean χ 2 and SD for each cell of the simulation design

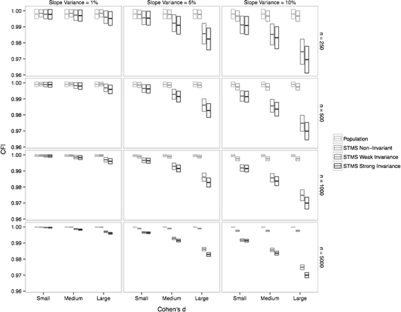
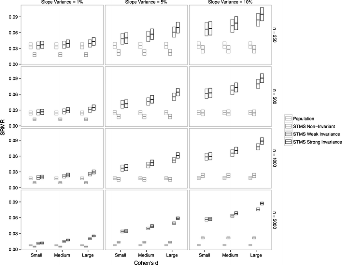
In Figs. 8, 9, and 10, we summarize the results for RMSEA, CFI, and SRMR.

Fig. 8
figure 8

Mean root mean square error of approximation (RMSEA; middle of the box) and 90 % confidence limits (upper and lower limits of the box) across the simulation conditions. STMS, singletrait–multistate

Fig. 9
figure 9

Mean comparative fit index (CFI; middle of the box) and SD (upper and lower limits of the box) across the simulation conditions. STMS, singletrait–multistate

Fig. 10
figure 10

Mean standardized root mean square residual (SRMR; middle of the box) and SD (upper and lower limits of the box) across the simulation conditions

Rights and permissions

Reprints and Permissions

About this article

Cite this article

Geiser, C., Keller, B.T., Lockhart, G. et al. Distinguishing state variability from trait change in longitudinal data: The role of measurement (non)invariance in latent state-trait analyses. Behav Res 47, 172–203 (2015). https://doi.org/10.3758/s13428-014-0457-z

Download citation

  • Published:

  • Issue Date:

  • DOI: https://doi.org/10.3758/s13428-014-0457-z

Keywords

  • State variability versus trait change
  • Latent state-trait analysis
  • Measurement invariance
  • Latent growth curve models
  • Model misspecification