Skip to main content

Testing the limits of optimality: the effect of base rates in the Monty Hall dilemma

Abstract

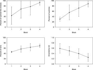
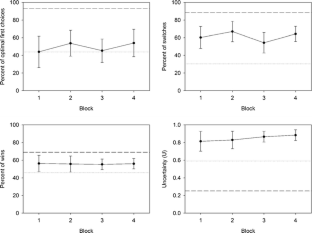
The Monty Hall dilemma is a probability puzzle in which a player tries to guess which of three doors conceals a desirable prize. After an initial selection, one of the nonchosen doors is opened, revealing that it is not a winner, and the player is given the choice of staying with the initial selection or switching to the other remaining door. Pigeons and humans were tested on two variants of the Monty Hall dilemma, in which one of the three doors had either a higher or a lower chance of containing the prize than did the other two options. The optimal strategy in both cases was to initially choose the lowest-probability door available and then switch away from it. Whereas pigeons learned to approximate the optimal strategy, humans failed to do so on both accounts: They did not show a preference for low-probability options, and they did not consistently switch. An analysis of performance over the course of training indicated that pigeons learned to perform a sequence of responses on each trial, and that sequence was one that yielded the highest possible rate of reinforcement. Humans, in contrast, continued to vary their responses throughout the experiment, possibly in search of a more complex strategy that would exceed the maximum possible win rate.

This is a preview of subscription content, access via your institution.

Fig. 1
Fig. 2
Fig. 3
Fig. 4
Fig. 5
Fig. 6
Fig. 7

Notes

  1. All confidence intervals throughout the article are 95 % confidence intervals.

  2. Throughout the article, d is effect size, defined as the difference between the sample mean and the relevant comparison value, expressed in standard deviations.

  3. Theoretical comparison values are based on the unconditional probabilities from Table 1, because they produce a single value that is dependent solely on the birds’ (and not the host’s) behavior. One can still test the viability of other theoretical values by noting whether or not they fall within the specified 95 % confidence intervals.

  4. Although the proportions of sequences varied from bird to bird, each bird produced all of the possible sequences during the initial days of training, and no single sequence strongly predominated in any individual bird’s responses.

References

  • Brown, P. L., & Jenkins, H. J. (1968). Autoshaping of the pigeon’s keypeck. Journal of the Experimental Analysis of Behavior, 11, 1–8.

    PubMed Central  PubMed  Article  Google Scholar 

  • Burns, B. D., & Wieth, M. (2004). The collider principle in causal reasoning: Why the Monty Hall dilemma is so hard. Journal of Experimental Psychology: General, 133, 434–449.

    Article  Google Scholar 

  • De Neys, W. (2007). Developmental trends in decision making: The case of the Monty Hall Dilemma. In J. A. Elsworth (Ed.), Psychology of decision making in education, behavior, and high risk situations (pp. 271–281). Hauppauge, NY: Nova Science.

    Google Scholar 

  • Edwards, W. (1961). Probability learning in 1000 trials. Journal of Experimental Psychology, 62, 385–394.

    PubMed  Article  Google Scholar 

  • Fantino, E., & Esfandiari, A. (2002). Probability matching: Encouraging optimal responding in humans. Canadian Journal of Experimental Psychology, 56, 58–63. doi:10.1037/h0087385

    PubMed  Article  Google Scholar 

  • Gardner, R. A. (1957). Probability-learning with two and three choices. American Journal of Psychology, 70, 174–185.

    PubMed  Article  Google Scholar 

  • Gilovich, T., Medvec, V. H., & Chen, S. (1995). Commission, omission, and dissonance reduction: Coping with regret in the “Monty Hall” problem. Personality and Social Psychology Bulletin, 21, 182–190.

    Article  Google Scholar 

  • Granberg, D. (1999). A new version of the Monty Hall dilemma with unequal probabilities. Behavioural Processes, 48, 25–34.

    Article  Google Scholar 

  • Granberg, D., & Brown, T. A. (1995). The Monty Hall dilemma. Personality and Social Psychology Bulletin, 21, 711–723.

    Article  Google Scholar 

  • Granberg, D., & Dorr, N. (1998). Further exploration of two-stage decision making in the Monty Hall dilemma. American Journal of Psychology, 111, 561–579.

    Article  Google Scholar 

  • Herbranson, W. T. (2012). Pigeons, humans and the Monty Hall dilemma. Current Directions in Psychological Science, 21, 297–301.

    Article  Google Scholar 

  • Herbranson, W. T., & Schroeder, J. (2010). Are birds smarter than mathematicians? Pigeons (Columba livia) perform optimally on a version of the Monty Hall Dilemma. Journal of Comparative Psychology, 124, 1–13.

    PubMed Central  PubMed  Article  Google Scholar 

  • Herbranson, W. T., & Stanton, G. L. (2011). Flexible serial response learning by pigeons (Columba livia) and humans (Homo sapiens). Journal of Comparative Psychology, 125, 328–340.

    PubMed  Article  Google Scholar 

  • Herrnstein, R. J. (1997). The matching law. Cambridge, MA: Harvard University Press.

    Google Scholar 

  • Howard, J. H., Jr., & Howard, D. V. (1997). Age differences in implicit learning of higher-order dependencies in serial patterns. Psychology and Aging, 12, 634–656.

    PubMed  Article  Google Scholar 

  • Kahneman, D., & Tversky, A. (1979). Prospect theory: An analysis of decision under risk. Econometrica, 47, 263–291.

    Article  Google Scholar 

  • Miller, G. A., & Frick, F. C. (1949). Statistical behavioristics and sequences of responses. Psychological Review, 56, 311–324.

    PubMed  Article  Google Scholar 

  • Nissen, M. J., & Bullemer, P. (1987). Attentional requirements of learning: Evidence from performance measures. Cognitive Psychology, 19, 1–32. doi:10.1016/0010-0285(87)90002-8

    Article  Google Scholar 

  • Poling, A., Nickel, M., & Alling, K. (1990). Free birds aren’t fat: Weight gain in captured wild pigeons maintained under laboratory conditions. Journal of the Experimental Analysis of Behavior, 53, 423–424.

    PubMed Central  PubMed  Article  Google Scholar 

  • Stevens, D. W., & Krebs, J. R. (1986). Foraging theory. Princeton, NJ: Princeon University Press.

    Google Scholar 

  • Tubau, E., & Alonso, D. (2003). Overcoming illusory differences in a probabilistic counterintuitive problem: The role of explicit representations. Memory & Cognition, 31, 596–607.

    Article  Google Scholar 

  • von Neumann, J., & Morgenstern, O. (1944). Theory of games and economic behavior. Princeton, NJ: Princeton University Press.

    Google Scholar 

  • Zentall, T. R. (2011). Maladaptive “gambling” by pigeons. Behavioural Processes, 87, 50–56.

    PubMed Central  PubMed  Article  Google Scholar 

Download references

Author information

Affiliations

Authors

Corresponding author

Correspondence to Walter T. Herbranson.

Rights and permissions

Reprints and Permissions

About this article

Cite this article

Herbranson, W.T., Wang, S. Testing the limits of optimality: the effect of base rates in the Monty Hall dilemma. Learn Behav 42, 69–82 (2014). https://doi.org/10.3758/s13420-013-0126-6

Download citation

  • Published:

  • Issue Date:

  • DOI: https://doi.org/10.3758/s13420-013-0126-6

Keywords

  • Choice
  • Monty Hall dilemma
  • Optimality
  • Pigeons
  • Probability learning
  • Sequence learning