Abstract
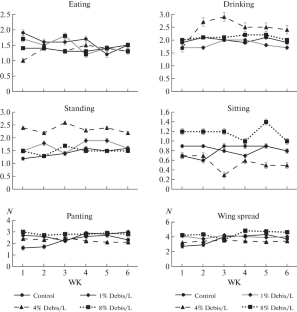
Several research studies and extensive reviews have been published during the previous 50 yr on the physiological consequence of thermal stress. During this time, a great deal of data has clarified how normal physiologic processes in the body are altered by stress and how these processes influence other life strategies such as reproduction, immune function, and growth. Nevertheless, much still requires determining how to distinguish between stress, regular physiologic alterations from homeostasis, distress, physiologic, and behavioural changes that may prove adverse effects to animals. We hypothesise that supplementation of Date syrup in drinking water is a novel alternative for preventing oxidative stress and stress-induced adverse effects on chickens exposed to heat stress. A total of 120 one-day-old chicks of mixed sex (Ross 308) were weighed and randomly assigned to each of the four watering treatment groups. The water treatment had added date syrup (Debis) in the following concentrations 0, 1, 4, and 8%/L of drinking water in control (0%) and treated groups (1, 4, and 8%/L), respectively. Bodyweight, feed intake, rectal temperature and live observations were measured. The number of birds in each cage performed drinking, feeding, standing, sitting, running, peering, and wing spreading. Our investigation showed that Debis improved chicken performance, and body weight significantly increased from week 4. Feed intake data did not show any significant differences. Lowered rectal temperature measurements were observed when Debis was added with 4% in drinking water starting from the fourth week. Data obtained from chicken behaviour did not show any significant differences between chickens that offered either Debis with 1 and 8%/L in their feed intake visiting during the experiment period. We can conclude by adding date syrup (Debis) with 1% of the drinking water during the first three weeks, then increasing adding level to be 4% after the third week to get heavier bodyweight.

Similar content being viewed by others
REFERENCES
Lara, L.J. and Rostagno, M.H., Impact of heat stress on poultry production, Animals, 2013, vol. 3, no. 2, pp. 356–369. https://doi.org/10.3390/ani3020356
Abioja, M.O., Osinowo, O.A., Smith, O.F., Eruvbetine, D., and Abiona, J.A., Evaluation of cold water and vitamin c on broiler growth during the hot-dry season in SW Nigeria, Arch. Zootec., 2011, vol. 60, pp. 1095–1103. https://doi.org/10.4321/S0004-05922011000400025
Liu, S., Willett, W.C., Stampfer, M.J., Hu, F.B., Franz, M., Sampson, L., Hennekens, C.H., and Manson, J.A., A prospective study of dietary glycemic load, carbohydrate intake, and risk of coronary heart disease in US women, Am. J. Clin. Nutr., 2000, vol. 71, no. 6, pp. 1455–1461. https://doi.org/10.1093/ajcn/71.6.1455
Al-Farsi, M.A. and Lee, C.Y., Nutritional and functional properties of dates: a review, Crit. Rev. Food Sci. Nutr., 2008, vol. 48, pp. 877–887. https://doi/abs/https://doi.org/10.1080/10408390701724264
Tinggi, U., Selenium: its role as an antioxidant in human health, Environ. Health Prev. Med., 2008, vol. 13, no. 2, pp. 102–108. https://doi.org/10.1007/s12199-007-0019-4
Wargovich, M.J., Anticancer properties of fruits and vegetables, HortSci., 2000, vol. 35, no. 4, pp. 573–575. https://doi.org/10.21273/HORTSCI.35.4.573
Fuhrman, B., Lavy, A., and Aviram, M., Consumption of red wine with meals reduces the susceptibility of human plasma and low-density lipoprotein to lipid peroxidation, Am. J. Clin. Nutr., 1995, vol. 61, no. 3, pp. 549–554. https://doi.org/10.1093/ajcn/61.3.549
Al-Ramamneh, D., Reduce heat stress in broiler by adding onion, Russ. Agric. Sci., 2018, vol. 44, no. 1, pp. 92–96. https://doi.org/10.3103/S1068367418010160
AL-Ramamneh, D., Effect of using liquid onion on broiler physiology, production, and behavior, Bull. Env. Pharmacol. Life Sci., 2017, vol. 6, no. 8, pp. 87–92. https://doi=ijps.2018.147.153
Michelle, T.F., James, P.W., Abigail, B.G., Hart, F.H., Norman, C.P., Susan, F.A., and Mary, F.D., Palatable foods, stress, and energy stores sculpt corticotrophin-releasing factor, adrenocorticotropin, and corticosterone concentrations after restraint, Endocrinology, 2009, vol. 150, no. 5, pp. 2325–2333. https://doi.org/10.1210/en.2008-1426
Norman, R.L., Corticotrophin-releasing hormone affects luteinizing hormone and cortisol secretion in intact female rhesus macaques, Biol. Reprod., 1994, vol. 50, no. 4, pp. 949–955. https://doi.org/10.1095/biolreprod50.4.949
Zhou, W.T., Fujita, M.I., and Yamamoto, S.V., Thermoregulatory responses and blood viscosity in dehydrate heat exposed broils (Gallus Domesticus), J. Therm. Biol., 1999, vol. 24, pp. 185–192. https://doi.org/10.13140/RG.2.2.24361.85601
Takahashi, L.K., and Akiba, Y., Effect of oral administration of Diakur™ (a glucose and electrolytes additive) on growth and some physiological responses in broilers reared in a high-temperature environment, Asian-Australas. J. Anim. Sci., 2002, vol. 15, no. 9, pp. 1341–1347. https://doi.org/10.5713/AJAS.2002.1341
Puvado, L.S. and Thaxton, J.P., Model of physiological stress in chickens 1. Response parameters, Poult. Sci., 2000, vol. 79, pp. 363–369. https://doi.org/10.1093/ps/79.3.391
Balnave, D., and Gorman, I.T., A role for sodium bicarbonate supplements for growing broilers at high temperatures, World’s Poult. Sci. J., 1993, vol. 49, no. 3, pp. 236–241. https://doi.org/10.1079/WPS19930021
Bottje, W.G. and Harrison, P.C., The effects of tap water, carbonated water, sodium bicarbonate, and calcium chloride on blood acid-base balance in cockerels subjected to heat stress, Poult. Sci., 1985, vol. 64, no. 1, pp. 107–113. https://doi.org/10.3382/ps.0640107
Teeter, R.G., Smith, M.O., Owens, F.N., Arp, S.S., and Breazile, J.E., Chronic heat stress and respiratory alkalosis: Occurrence and treatment in broiler chicks, Poult. Sci., 1985, vol. 64, no. 6, pp. 1060–1064. https://doi.org/10.3382/ps.0641060
Wolfenson, D.F., Snapir, Y.F.N., and Berman, A.F., Effect of diurnal or nocturnal heat stress on egg formation, Br. Poult. Sci., 1979, vol. 20, pp. 167–174. https://doi.org/10.1080/00071667908416565
El-Deek, A.A., Attia, Y.A., and Al-Harthi, M.A., Including whole inedible date in grower–finisher broiler diets and the impact on productive performance, nutrient digestibility and meat quality, Animal, 2010, vol. 4, no. 10, pp. 1647–1652. https://doi.org/10.1017/S1751731110000820
Batal, A.B. and Parsons, C.M., Utilization of various carbohydrate sources as affected by age in the chick, Poult. Sci., 2004, vol. 83, no. 7, pp. 1140–1147. https://doi.org/10.1093/ps/83.7.1140
Guo, C., Yang, J., Wei, J., Li, Y., Xu, J., and Jiang, Y., Antioxidant activities of peel, pulp and seed fractions of common fruits as determined by FRAP assay, Nutr. Res., 2003, vol. 23, no. 12, pp. 1719–1726. https://doi.org/10.1016/J.NUTRES.2003.08.005
ACKNOWLEDGMENTS
The authors highly appreciate all of Mr. Bander Alanzi, Khaled Alanis, and Abdelaziz Alanis for their contribution to this work. I want to thank Tabuk University for the monetary fund of this project and Dr. Abdelrahman Alakali and his staff for hosting this project on his farm.
Funding
This work was supported by the Deanship of Scientific Research, Tabuk University (grant no. S-1441-0031, 2020).
Author information
Authors and Affiliations
Contributions
All co-authors substantially contributed to the conception or design of the work; or the acquisition, analysis or interpretation of data for the work and drafted or critically revised the work for important intellectual content and approved the final version to be published and agreed to be accountable for all aspects of the work.
Corresponding author
Ethics declarations
The authors declare that they have no conflicts of interest.
About this article
Cite this article
Al-Ramamneh, D., Alanzi, B. Effect of Date Syrup “Dibs” on Some Performance, Behavioural Indicators in Broiler Chickens Raised under Saudi Arabia Conditions. Russ. Agricult. Sci. 48, 309–315 (2022). https://doi.org/10.3103/S1068367422040024
Received:
Revised:
Accepted:
Published:
Issue Date:
DOI: https://doi.org/10.3103/S1068367422040024

