Abstract
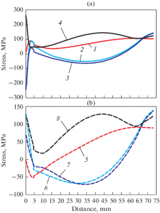
The problem statement and boundary conditions for calculation of axial thermoelastic stresses in backups with unit collars of combined continuous casting and deformation are provided for production of three steel billets. The calculation scheme for determination of thermoelastic stresses in backups with collars in a known temperature field was stated using ANSYS software. The calculation results of thermoelastic stresses in shaped dies were performed in four sections of a backup with collars. In each section, calculation results are given for four typical lines and seven points. Values of axial thermoelastic stresses for seven typical points of each section are given for the contact surface of a backup with collars and the contact layer at a depth of 5 mm from the contact surface. The stress state of a shaped backup in the middle of depression between the middle collars was determined and the distribution regularities of axial and equivalent stresses over the thickness, length and width of a backup were established during slab compression and at idle. The calculation results of thermoelastic stresses in the top of the middle collar of a shaped backup on the contact surface and in the contact layer during slab compression and at idle are presented. Graphs of thermoelastic stress distribution along the line passing through the top of a collar are given, which show the zones of compressive and tensile thermoelastic stresses during slab compression and at idle. The character of the stress state in the base of extreme collar was determined for production of three steel billets in the unit of combined process of continuous casting and deformation.




Similar content being viewed by others
REFERENCES
Lekhov, O.S. and Mikhalev, A.V., Calculation of temperature and thermoelastic stresses in the backups with unit collars of combined continuous casting and deformation during steel billet production. Report 1, Steel Transl., 2020, vol. 50, no. 12, pp. 877–881. https://doi.org/10.3103/S0967091220120086
Lekhov, O.S., Mikhalev, A.V., and Shevelev, M.M., Napryazheniya v sisteme boiki-polosa pri poluchenii listov iz stali na ustanovke nepreryvnogo lit’ya i deformatsii (Stresses in the Backup-Strip System when Making Steel Sheets at Unit of Continuous Casting and Deformation), Yekaterinburg: Ural. Metod. Tsentr, Ural. Politekh. Inst., 2018.
Khloponin, V.N., Kosyreva, M.V., and Kosyak, A.S., Influence of cooling system on thermal conditions of roller surface work, Tr. Mosk. Inst. Stali Splavov, 1977, no. 100, pp. 90–93.
Boley, B.A. and Weiner, J.H., Theory of Thermal Stresses, New York: Wiley, 1960.
Lekhov, O.S., Study of stress-strain state of rolls-band system at rolling of broad-flanged beam in stands of universal beam mill: Report 2, Izv. Vyssh. Uchebn. Zaved., Chern. Metall., 2014, vol. 57, no. 12, pp. 15–19.
Kushner, V.S., Vereshchaka, A.S., Skhirtladze, A.G., and Negrov, D.A., Tekhnologicheskie protsessy v mashinostroenii. Chast’ 2. Obrabotka metallov davleniem i svarochnoe proizvodstvo (Technological Processes in Mechanical Engineering, Part 2: Metal Forming and Welding), Omsk: Omsk. Gos. Tekh. Univ., 2005.
Bulanov, L.V., Karlinskii, S.E., and Volegova, V.E., Durability of CCM rolls at external and internal cooling, in Nadezhnost’ krupnykh mashin (Reliability of Large Machines), Sverdlovsk: Nauchno-Issled. Inst. Tyazh. Mashinostr., 1990, pp. 126–132.
Lykov, A.V., Teoriya teploprovodnosti (Theory of Heat Conduction), Moscow: Vysshaya Shkola, 1967.
Singh, V. and Das, S.K., Thermo-fluid mathematical modeling of steel slab casters: progress in 21st century, ISIJ Int., 2016, vol. 56, no. 9, pp. 1509–1518. https://doi.org/10.2355/isijinternational.ISIJINT-2015-620
ANSYS Mechanical APDL Structural Analysis Guide, Release 15.0, Canonsburg, PA: ANSYS, 2013.
Matsumia, T. and Nakamura, Y., Mathematical model of slab bulging during continuous casting, Proc. 3rd Process Technology Conf. “Applied Mathematical, and Physical Models in Iron and Steel Industry,” Pittsburgh, Pa, March 28–31, 1982, New York, 1982, pp. 264–270.
Takashima, Y. and Yanagimoto, I., Finite element analysis of flange spread behavior in H-beam universal rolling, Steel Res. Int., 2011, vol. 82, no. 10, pp. 1240–1247. https://doi.org/10.1002/srin.201100078
Kobayashi, S., Oh, S.-I., and Altan, T., Metal Forming and Finite Element Method, Oxford: Oxford Univ. Press, 1989.
Karrech, A. and Seibi, A., Analytical model of the expansion in tubes under tension, J. Mater. Process. Technol., 2010, vol. 210, no. 2, pp. 336–362. https://doi.org/10.1016/j.jmatprotec.2009.09.024
Kazakov, A.L. and Spevak, L.F., Numeral and analytical studies of nonlinear parabolic equation with boundary conditions of a special form, Appl. Math. Model., 2013, vol. 37, nos. 10–13, pp. 6918–6928. https://doi.org/10.1016/j.apm.2013.02.026
Jansson, N., Optimized sparse matrix assembly in finite element solvers with one-sided communication, in High Performance Computing for Computational Science–VECPAR 2012, Berlin: Springer-Verlag, 2013, pp. 128–139.
Park, C.Y. and Yang, D.Y., A study of void crushing in large forgings II. Estimation of bonding efficiency by finite-element analysis, J. Mater. Process. Technol., 1997, vol. 72, no. 1, pp. 32–41. https://doi.org/10.1016/S0924-0136(97)00126-X
Sorimachi, K. and Emi, T., Elastoplastic stress analysis of bulging as a major cause of internal cracks in continuously cast slabs, Tetsu-to-Hagane, 1977, vol. 63, no. 8, pp. 1297–1304. https://doi.org/10.2355/tetsutohagane1955.63.8_1297
Author information
Authors and Affiliations
Corresponding author
Additional information
Translated by S. Avodkova
About this article
Cite this article
Lekhov, O.S., Mikhalev, A.V. Calculation of Temperature and Thermoelastic Stresses in the Backups with Collars of the Unit of Combined Continuous Casting and Deformation in Steel Billet Production. Report 2. Steel Transl. 51, 88–92 (2021). https://doi.org/10.3103/S0967091221020042
Received:
Published:
Issue Date:
DOI: https://doi.org/10.3103/S0967091221020042

