Skip to main content

Pharmacokinetics of Subcutaneous IgPro20 in Patients with Primary Immunodeficiency

Abstract

Background and Objectives: Immunoglobulin replacement is a standard therapy for patients with primary immunodeficiencies. Subcutaneous administration of immunoglobulin offers more constant IgG levels than intravenous administration and simplifies administration for some patients. Use of L-proline as an excipient contributes to the stability of highly concentrated IgG preparations. The aims of the present study were to evaluate the pharmacokinetics of IgPro20 (Hizentra®), a new 20% subcutaneous IgG solution, and compare the area under the serum concentration-time curve (AUC) with that of a similar intravenous 10% IgG solution (IgPro10; Privigen®). At the request of the US FDA, an algorithm for determining IgG trough level ratios (TLRs) was developed in order to provide physicians with a practical tool for monitoring doses during steady-state IgPro20 therapy.

Methods: This was a prospective, open-label, multicentre, single-arm, phase III clinical trial conducted in the US. The study was performed in a primary-care setting. Eligible patients were males or females aged 6–75 years with a primary immunodeficiency (common variable immunodeficiency or X-linked agamma-globulinaemia) who had received regular treatment with IgPro10 for at least 3 months prior to entering this study and had achieved serum trough concentration (Ctrough) values ≥5 g/L.

IgPro20 was administered subcutaneously once weekly at initial doses equivalent to 130% of patients’ previous doses, based on the results obtained in a Vivaglobin® study and due to an FDA request. After run-in, each patient’s dose was adjusted to achieve an AUC comparable to that achieved with IgPro10 administered intravenously.

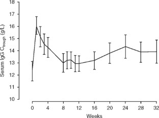
Results: Eighteen patients completed the study. Mean IgPro20 : IgPro10 dose ratio (dose adjustment coefficient) was 1.53 (range 1.26–1.87). The resulting mean AUCs were 105.6g · day/L for IgPro20 versus 103.2g · day/L for IgPro10 (geometric mean ratio 1.002; lower one-sided 95% confidence limit [CL] 0.951). Thus, the primary endpoint of the study was met, as this result exceeded the pre-specified criterion of the lower one-sided 95% CL of ≥0.8 for non-inferiority. At these AUCs, which were considered equivalent, the mean IgPro20 : IgPro10 TLR, determined by the developed algorithm, was 1.29 (range 1.18–1.73). Titres of specific antibodies tested were well above respective product specifications, suggesting that protection against infection would be effective.

Conclusion: Steady-state AUCs with subcutaneous IgPro20 and intravenous IgPro10 were equivalent. Mean dose adjustment coefficient and mean TLR can be used for initial dose conversion without risk of under-protection but vary too widely to be considered measures of equivalence.

Trial registration number (clinicaltrials.gov): NCT00419341

This is a preview of subscription content, access via your institution.

Fig. 1
Fig. 2
Table I
Fig. 3
Fig. 4
Table II
Fig. 5

References

  1. Berger M. Clinical focus on primary immune deficiencies: subcutaneous IgG therapy in immune deficiency diseases. Towson (MD): Immune Deficiency Foundation, 2008 [online]. Available from URL: http://www.primaryimmune.org/publications/clinic_focus/cf_feb08.pdf [Accessed 2011 Mar 29]

  2. Abrahamsen TG, Sandersen H, Bustnes A. Home therapy with subcutaneous immunoglobulin infusions in children with congenital immunodeficiencies. Pediatrics 1996 Dec; 98(6 Pt 1): 1127–31

    PubMed  CAS  Google Scholar 

  3. Roord JJ, van der Meer JW, Kuis W, et al. Home treatment in patients with antibody deficiency by slow subcutaneous infusion of gammaglobulin. Lancet 1982 Mar 20; 1(8273): 689–90

    PubMed  CAS  Google Scholar 

  4. Ugazio AG, Duse M, Re R, et al. Subcutaneous infusion of gammaglobulins in management of agammaglobulinaemia. Lancet 1982 Jan 23; 1(8265): 226–7

    PubMed  Article  CAS  Google Scholar 

  5. Berger M. Subcutaneous administration of IgG. Immunol Allergy Clin North Am 2008 Nov;28(4): 779–802, viii

    PubMed  Article  Google Scholar 

  6. Hagan JB, Fasano MB, Spector S, et al. Efficacy and safety of a new 20% immunoglobulin preparation for subcutaneous administration, IgPro20, in patients with primary immunodeficiency. J Clin Immunol 2010 May 8; 30(5): 734–45

    PubMed  Article  CAS  Google Scholar 

  7. Cramer M, Frei R, Sebald A, et al. Stability over 36 months of a new liquid 10% polyclonal immunoglobulin product (IgPro10, Privigen) stabilized with L-proline. Vox Sang 2009 Jan 7; 96(3): 219–25

    PubMed  Article  CAS  Google Scholar 

  8. Ochs HD, Gupta S, Kiessling P, et al. Safety and efficacy of self-administered subcutaneous immunoglobulin in patients with primary immunodeficiency diseases. J Clin Immunol 2006 May;26(3): 265–73

    PubMed  Article  CAS  Google Scholar 

  9. Departments of Clinical Research & Development and Biometrics. Retrospective collection of clinical data from patients with hypo- or agammaglo-bulinemia treated by subcutaneous infusions of Beriglobin. Marburg: Aventis Behring GmbH, 2000.(Data on file)

    Google Scholar 

  10. Wasserman RL, Church JA, Peter HH, et al. Pharmacokinetics of a new 10% intravenous immunoglobulin in patients receiving replacement therapy for primary immunodeficiency. Eur J Pharm Sci 2009 Jun 28; 37(3-4): 272–8

    PubMed  Article  CAS  Google Scholar 

  11. Stiehm ER. Human intravenous immunoglobulin in primary and secondary antibody deficiencies. Pediatr Infect Dis J 1997 Jul;16(7): 696–707

    PubMed  Article  CAS  Google Scholar 

  12. Gardulf A, Nicolay U, Asensio O, et al. Rapid subcutaneous IgG replacement therapy is effective and safe in children and adults with primary immunodeficiencies: a prospective, multi-national study. J Clin Immunol 2006 Mar;26(2): 177–85

    PubMed  Article  CAS  Google Scholar 

  13. Chapel HM, Spickett GP, Ericson D, et al. The comparison of the efficacy and safety of intravenous versus subcutaneous immunoglobulin replacement therapy. J Clin Immunol 2000 Mar;20(2): 94–100

    PubMed  Article  CAS  Google Scholar 

  14. Gardulf A. Immunoglobulin treatment for primary antibody deficiencies: advantages of the subcutaneous route. BioDrugs 2007; 21(2): 105–16

    PubMed  Article  CAS  Google Scholar 

  15. Center for Biologics Evaluation and Research, US FDA. Topic II: measles antibody levels in US immune globulin products [meeting transcript]. Blood Products Advisory Committee Meeting; 2007 Aug 16; Bethesda (MD) [online]. Available from URL: http://www.fda.gov/ohrms/dockets/ac/07/transcripts/2007-4317t1.htm [Accessed 2011 Mar 29]

  16. Ercan TE, Soycan LY, Apak H, et al. Antibody titers and immune response to diphtheria-tetanus-pertussis and measles-mumps-rubella vaccination in children treated for acute lymphoblastic leukemia. J Pediatr Hematol Oncol 2005 May;27(5): 273–7

    PubMed  Article  Google Scholar 

  17. Kamchaisatian W, Wanwatsuntikul W, Sleasman JW, et al. Validation of current joint American Academy of Allergy, Asthma & Immunology and American College of Allergy, Asthma and Immunology guidelines for antibody response to the 23-valent pneumococcal vaccine using a population of HIV-infected children. J Allergy Clin Immunol 2006 Dec;118(6): 1336–41

    PubMed  Article  CAS  Google Scholar 

  18. Gardulf A, Hammarstrom L, Smith CI. Home treatment of hypogammaglo-bulinaemia with subcutaneous gammaglobulin by rapid infusion. Lancet 1991 Jul 20; 338(8760): 162–6

    PubMed  Article  CAS  Google Scholar 

  19. Gardulf A, Andersen V, Bjorkander J, et al. Subcutaneous immunoglobulin replacement in patients with primary antibody deficiencies: safety and costs. Lancet 1995 Feb 11; 345(8946): 365–9

    PubMed  Article  CAS  Google Scholar 

  20. Gustafson R, Gardulf A, Hansen S, et al. Rapid subcutaneous immunoglobulin administration every second week results in high and stable serum immunoglobulin G levels in patients with primary antibody deficiencies. Clin Exp Immunol 2008 May;152(2): 274–9

    PubMed  Article  CAS  Google Scholar 

  21. Jolles S, Cristea V, Wahn V, et al. Efficacy and safety of IgPro20, a 20% immunoglobulin for subcutaneous administration, in patients with primary immunodeficiency switching from intravenous replacement therapy [poster no. F.38]. 10th Annual Meeting, Federation of Clinical Immunology Societies (FOCIS); 2010 Jun 24–27; Boston (MA)

  22. Jolles S, Belohradsky BH, Neufang-Hüber J, et al. Trough levels of 20% subcutaneous immunoglobulin (SCIG) when switching from SCIg [abstract no. 557]. J Allergy Clin Immunol 2010; 125(2 Suppl. 1): AB142 [online]. Available from URL: http://download.journals.elsevierhealth.com/pdfs/journals/0091-6749/PIIS0091674909023549.pdf [Accessed 2011 Mar 29]

  23. Orange JS, Grossman WJ, Navickis RJ, et al. Impact of trough IgG on pneumonia incidence in primary immunodeficiency: a meta-analysis of clinical studies. Clin Immunol 2010 Oct;137(1): 21–30

    PubMed  Article  CAS  Google Scholar 

  24. Data on file, CSL Behring, 2005

  25. Eijkhout HW, van der Meer JW, Kallenberg CG, et al. The effect of two different dosages of intravenous immunoglobulin on the incidence of recurrent infections in patients with primary hypogammaglobulinemia: a randomized, double-blind, multicenter crossover trial. Ann Intern Med 2001 Aug 7; 135(3): 165–74

    PubMed  CAS  Google Scholar 

  26. Kontermann RE. Strategies to extend plasma half-lives of recombinant antibodies. BioDrugs 2009; 23: 93–109

    PubMed  Article  CAS  Google Scholar 

  27. Roopenian DC, Akilesh S. FcRn: the neonatal Fc receptor comes of age. Nat Rev Immunol 2007; 7: 715–25

    PubMed  Article  CAS  Google Scholar 

  28. Porter CJ, Charman SA. Lymphatic transport of proteins after subcutaneous administration. J Pharm Sci 2000 Mar;89(3): 297–310

    PubMed  Article  CAS  Google Scholar 

  29. Aebersold P. Regulatory requirements for subcutaneous Ig for PID [presentation]. FDA Workshop on Intravenous Immunoglobulins in the 21st Century: Progress and Challenges in Efficacy, Safety and Paths to Licensure; 2005 Apr 13; Bethesda (MD) [online]. Available from URL: http://www.fda.gov/downloads/BiologicsBloodVaccines/NewsEvents/WorkshopsMeetingsConferences/TranscriptsMinutes/UCM054437.pdf [Accessed 2011 Mar 29]

  30. Committee for Proprietary Medicinal Products, European Agency for the Evaluation of Medicinal Products (EMEA). Note for guidance on the clinical investigation of human normal immunoglobulin for subcutaneous and intramuscular use [document reference EMEA/CPMP/BPWG/283/00]. London: EMEA, 2002 Jul 25 [online]. Available from URL: http://www.ema.europa.eu/docs/en_GB/document_library/Scientific_guideline/2009/10/WC500004255.pdf [Accessed 2011 Mar 29]

  31. Desai SH, Chouksey A, Poll J, et al. A pilot study of equal doses of 10% IGIV given intravenously or subcutaneously. J Allergy Clin Immunol 2009; 124(4): 854–6

    PubMed  Article  CAS  Google Scholar 

Download references

Acknowledgements

This study was supported by CSL Behring LLC (King of Prussia, PA, USA), including design and conduct of the study, and collection, management, analysis and interpretation of the data. The opinions expressed in this paper are those of the authors.

The authors thank Dr Christian Peters for his help during the conduct of the study, and Dr Andrea Sebald and Dr Martin Bexon for critical review of the manuscript. The assistance of Fritz Schindel, Corinna Miede and Cordula Massion (Accovion GmbH) for the statistical analyses is gratefully appreciated. We also acknowledge the editorial assistance of Phocus Services Ltd, supported by CSL Behring.

Richard L. Wasserman has received clinical trial support from CSL Behring, Baxter Healthcare, NABI and Talecris, and consultant fees from CSL Behring and Baxter Healthcare. Isaac Melamed has received honoraria from Baxter Healthcare. Robert P. Nelson Jr has no potential conflicts of interest that are directly relevant to the content of this study. Alan P. Knutsen has received clinical trial support from Genentech, Novartis and CSL Behring. Mary Beth Fasano has received clinical trial support from CSL Behring, Shire and Lev Pharmaceuticals. Mark R. Stein has received consultant fees from CSL Behring and Baxter and clinical trial support from CSL Behring, Baxter, Talecris, Merck, AstraZeneca, Novartis, Schering Plough and GlaxoSmithKline. Mikhail A. Rojavin is an employee of CSL Behring and has no other potential conflicts of interest that are directly relevant to the content of this study. Joseph A. Church has received research grants from Baxter Healthcare, CSL Behring and Pfizer, and has performed consultation services for Baxter Healthcare.

Author information

Affiliations

Authors

Corresponding author

Correspondence to Richard L. Wasserman.

Rights and permissions

Reprints and Permissions

About this article

Cite this article

Wasserman, R.L., Melamed, I., Nelson, R.P. et al. Pharmacokinetics of Subcutaneous IgPro20 in Patients with Primary Immunodeficiency. Clin Pharmacokinet 50, 405–414 (2011). https://doi.org/10.2165/11587030-000000000-00000

Download citation

  • Published:

  • Issue Date:

  • DOI: https://doi.org/10.2165/11587030-000000000-00000

Keywords

  • Primary Immunodeficiency
  • Common Variable Immunodeficiency
  • Median Tmax
  • SCIG Therapy
  • Privigen