Skip to main content

The Chinese pharmaceutical market at the crossroads

Pro-competition solutions to improve access, quality and affordability

Abstract

The Chinese pharmaceutical market is large in absolute size (the second largest in Asia), but it faces similar problems to those that plague other developing countries, such as a lack of adequate patent protection, low pharmaceutical spending per capita, but high pharmaceutical expenditure as a proportion of total medical spending, and a lack of health insurance coverage. In this article, the pros and cons of two pro-competition policy proposals for China are explored. The first proposal is to follow the E5 guideline of the International Conference on Harmonisation and waive unnecessary local clinical trials for global new drugs that have been approved by the US Food and Drug Administration or the European Medicines Agency (except for drugs for which there is a real possibility of there being ethnic differences in patient responses). The second proposal is to tighten the standards for generic drugs and approve only bioequivalent ones. While the first proposal encourages price competition between similar compounds in the same therapeutic class, the second proposal enhances generic competition for off-patent drugs. Working together, these two proposals would improve access to and the quality and affordability of pharmaceuticals in China.

This is a preview of subscription content, access via your institution.

Table I
Table II
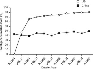
Fig. 1
Fig. 2
Table III

Notes

  1. 1The use of trade names is for product identification purposes only and does not imply endorsement.

References

  1. IMS Health. IMS market prognosis, Asia 2004–2008. London: IMS Health, 2004 May

    Google Scholar 

  2. Kremer M. Pharmaceuticals and the developing world. J Econ Perspect 2002 Fall; 16(4): 67–90

    PubMed  Article  Google Scholar 

  3. Wang YR, Ji L, Lin YA. Intellectual property right protection for pharmaceuticals in developing countries: a case study of administrative protection in China. Pharm Dev Regul 2003; 1(4): 277–82

    Google Scholar 

  4. Danzon PM, Wang YR, Wang L. The impact of price regulation on the launch delay of new drugs: evidence from twenty-five major markets in the 1990s. Health Econ 2005 Mar; 14(3): 269–92

    PubMed  Article  Google Scholar 

  5. International Conference on Harmonisation (ICH). ICH harmonised tripartite guideline. E5: Ethnic factors in the acceptability of foreign clinical data. Feb 1998. Geneva: ICH [online]. Available at URL: http://www.ich.org [Accessed 2005 Sep 2005]

    Google Scholar 

  6. IMS Health. MIDAS database 1998–2003. Fairfield (CT): IMS Health, 2003. (Data on file)

    Google Scholar 

Download references

Acknowledgements

The author is an employee of AstraZeneca Pharmaceuticals and is responsible for all views expressed in this article. These views do not represent those of AstraZeneca Pharmaceuticals. The author wishes to thank Sha Ling for assisting with the research for the article.

The author has provided no information on sources of funding for this article.

Author information

Affiliations

Authors

Corresponding author

Correspondence to Y. Richard Wang.

Rights and permissions

Reprints and Permissions

About this article

Cite this article

Wang, Y.R. The Chinese pharmaceutical market at the crossroads. Appl Health Econ Health Policy 4, 147–151 (2005). https://doi.org/10.2165/00148365-200504030-00002

Download citation

  • Published:

  • Issue Date:

  • DOI: https://doi.org/10.2165/00148365-200504030-00002

Keywords

  • Prozac
  • Patent Protection
  • Local Company
  • Pharmaceutical Expenditure
  • Generic Competition