Skip to main content

Pharmacokinetics and Therapeutics of Acute Intramuscular Ziprasidone

Abstract

Patients with acute psychosis often exhibit agitation, which can be distressing and hazardous to others as well as to the patient. In such psychiatric emergencies, intramuscular antipsychotic agents can be easier to administer than oral formulations, and they have the added advantage of more rapid absorption and a faster onset of action. However, intramuscular formulations of conventional antipsychotics, which have been the standard treatment, are associated with acute dystonia and other movement disorder-related adverse events. Ziprasidone is the first atypical antipsychotic to be clinically available in both intramuscular and oral formulations in the US. The intramuscular formulation of ziprasidone, ziprasidone mesylate, uses sulfobutylether β-cyclodextrin to solubilise the drug by complexation. The pharmacokinetics of intramuscular ziprasidone include rapid attainment of therapeutic drug level (time to reach peak serum concentration [tmax] ≤60 minutes postdose), a mean terminal elimination half-life ranging from 2 to 5 hours, bioavailability of approximately 100%, exposure to drug that increases in a dose-related manner and little drug accumulation even after 3 days of repeated intramuscular administration.

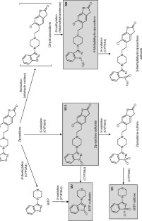
The metabolism and elimination of intramuscular ziprasidone have not been extensively evaluated. The principal difference between any oral versus intramuscular formulations of a drug is in first-pass metabolism. Oral ziprasidone is eliminated mainly via the hepatic route and <1 % is eliminated in urine and <4% in faeces as unchanged drug. That would not be expected to change with the intramuscular route of administration. Low concentrations of ziprasidone are seen 12–18 hours after the last intramuscular injection. The rapid clearance of ziprasidone from plasma after an intramuscular administration results in little to no persistence of plasma drug level when switching from intramuscular to oral drug administration. No clinically significant age-, sex- or race-related effects on the pharmacokinetics of intramuscular or oral ziprasidone have been noted, and the tolerability and cardiovascular safety profiles of intramuscular ziprasidone have been well characterised in clinical trials.

This is a preview of subscription content, access via your institution.

Fig. 1
Table I
Table II
Fig. 2
Table III
Fig. 3
Fig. 4
Table IV

References

  1. Remington GJ, Bezchlibnyk-Butler K. Current concepts in the pharmacotherapy of acute psychosis. CNS Drugs 1998; 9: 191–202

    Article  CAS  Google Scholar 

  2. Dubin WR, Weiss KJ, Dorn JM. Pharmacotherapy of psychiatric emergencies. J Clin Psychopharmacol 1986; 6: 210–22

    PubMed  Article  CAS  Google Scholar 

  3. Geodon (ziprasidone) package insert, 2002 [online]. Available from URL: http://www.pfizer.com/download/uspi_geodon.pdf [Accessed 2005 Aug 3]

  4. American Psychiatric Association. Diagnostic and statistical manual of mental disorders. 4th ed. Washington, DC. American Psychiatric Publishing Inc., 1994

    Google Scholar 

  5. Daniel D, Potkin SG, Reeves KR, et al. Intramuscular (IM) ziprasidone 20mg is effective in reducing acute agitation associated with psychosis: a double-blind, randomized trial. Psychopharmacology 2001; 155: 128–34

    PubMed  Article  CAS  Google Scholar 

  6. Lesem MD, Zajecka JM, Swift RH, et al. Intramuscular ziprasidone 2mg vs 10mg in the short-term management of agitated psychotic patients. J Clin Psychiatry 2001; 62: 12–8

    PubMed  Article  CAS  Google Scholar 

  7. Gunasekara NS, Spencer CM, Keating GM. Ziprasidone: a review of its use in schizophrenia and schizoaffective disorder. Drugs 2002; 62(8): 1217–51

    PubMed  Article  CAS  Google Scholar 

  8. Kim Y, Oksanen DA, Massefski Jr W, et al. Inclusion complexation of ziprasidone mesylate with β-cyclodextrin sulfobutyl ether. J Pharm Sci 1998; 87: 1560–7

    PubMed  Article  CAS  Google Scholar 

  9. Submitted to FDA Psychopharmacological Drugs Advisory Committee. Briefing document for ziprasidone mesylate for intramuscular injection [online]. Available from URL: http://www.fda.gov/ohrms/dockets/ac/01/briefing/3685b2_01_pfizer.pdf [Accessed 2005 Aug 3]

  10. Tensfeldt T, Miceli J, Kuye O, et al. The population pharmacokinetics of intramuscular ziprasidone in healthy volunteers and schizophrenic patients [poster]. 11th European College of Neuropsychopharmacology Congress; 1998 Oct 31–Nov 4; Paris

    Google Scholar 

  11. Brook S, Waiden J, Benattia I, et al. Ziprasidone and haloperidol in the treatment of acute exacerbation of schizophrenia and schizoaffective disorder: comparison of intramuscular and oral formulations in a 6-week, randomized, blinded-assessment study. Psychopharmacol 2005; 178(4): 514–23

    Article  CAS  Google Scholar 

  12. Swift RH, Harrigan EP, van Kamen DP. A comparison of fixeddose intramuscular (IM) ziprasidone with flexible-dose IM haloperidol [poster]. 151st Annual Meeting of the American Psychiatric Association; 1998 May 30–June 4; Toronto (ON)

    Google Scholar 

  13. Brook S, Lucey JV, Gunn KP, for the Ziprasidone IM Study Group. Intramuscular ziprasidone compared with intramuscular haloperidol in the treatment of acute psychosis. J Clin Psychiatry 2000; 61: 933–41

    PubMed  Article  CAS  Google Scholar 

  14. Aweeka F, Jayesekara D, Morton M, et al. The pharmacokinetics of ziprasidone in subjects with normal and impaired renal function. Br J Clin Pharmacol 2000; 49 (1 Suppl.): 27–33S

    Article  Google Scholar 

  15. Everson G, Lasseter KC, Anderson KE, et al. The pharmacokinetics of ziprasidone in subjects with normal and impaired hepatic function. Br J Clin Pharmacol 2000; 49 (1 Suppl.): 21–6S

    Article  Google Scholar 

  16. Miceli JJ, Wilner KD, Swan SK, et al. Pharmacokinetics, safety and tolerability of intramuscular ziprasidone in healthy volunteers. J Clin Pharmacol 2005; 45(6): 620–30

    PubMed  Article  CAS  Google Scholar 

  17. Miceli JJ, Wilner K, Folger C, et al. Pharmacokinetics of intramuscular ziprasidone in schizophrenic patients: population pharmacokinetic modeling [poster]. 11th European College of Neuropsychopharmacology Congress; 1998 Oct 31–Nov 4; Paris

    Google Scholar 

  18. Beedham C, Miceli JJ, Orbach SR. Ziprasidone metabolism, aldehyde oxidase, and clinical implications. J Clin Psychopharmacol 2003; 23: 229–32

    PubMed  CAS  Google Scholar 

  19. Prakash C, Kamel A, Gummerus J, et al. Metabolism and excretion of a new antipsychotic drug, ziprasidone, in humans. Drug Metab Dispos 1997; 25: 863–72

    PubMed  CAS  Google Scholar 

  20. Tandon R, Harrigan E, Zorn SH. Ziprasidone: a novel antipsychotic with unique pharmacology and therapeutic potential. J Serotonin Res 1997; 4: 159–77

    Google Scholar 

  21. Tandon R. Introduction. Br J Clin Pharmacol. 2000; 49 (1 Suppl.): 1–3S

    Article  Google Scholar 

  22. Schmidt AW, Lebel LA, Howard Jr HR, et al. Ziprasidone: a novel antipsychotic agent with a unique human receptor binding profile. Eur J Pharmacol 2001; 425: 197–201

    PubMed  Article  CAS  Google Scholar 

  23. Zorn SH, Seeger TF, Seymour PA. Ziprasidone (CP-88, 059): preclinical pharmacology review [abstract]. Jpn J Neuropsychopharmacol 1995; 17: 701

    CAS  Google Scholar 

  24. Zorn SH, Lebel LA, Schmidt AW, et al. Phamacological and neurochemical studies with the new antipsychotic ziprasidone. In: Palomo T, Beninger RJ, Archer T, editors. Interactive monaminergic brain disorders. Madrid: Editorial Sintesis, 1999: 377–93

    Google Scholar 

  25. Seeger TF, Seymour PA, Schmidt AW, et al. Ziprasidone (CP88,059): a new antipsychotic with combined dopamine and serotonin receptor antagonist activity. J Pharmacol Exp Ther 1995; 275: 101–13

    PubMed  CAS  Google Scholar 

  26. Meltzer HY, Shigehiro M, Lee J-C. The ratios of serotonin2 and dopamine2 affinities differentiate atypical and typical antipsychotic drugs. Psychopharmacol Bull 1989; 25: 390–2

    PubMed  CAS  Google Scholar 

  27. Meltzer HY. The mechanism of action of novel antipsychotic drugs. Schizophr Bull 1991; 17: 263–87

    PubMed  Article  CAS  Google Scholar 

  28. Keck Jr PE, McElroy SL. The new antipsychotics and their therapeutic potential. Psychiatr Ann 1997; 27: 320–1

    Google Scholar 

  29. Rickeis K, Schweizer R. The treatment of generalized anxiety disorder in patients with depressive symptomatology. J Clin Psychiatry 1993 Jan; 54 Suppl.: 20–2

    Google Scholar 

  30. Stahl SM. Mixed depression and anxiety: serotonin 1A receptors as a common pharmacologic link. J Clin Psychiatry 1997; 58 Suppl. 8: 20–6

    PubMed  Article  CAS  Google Scholar 

  31. Swift RH, Harrigan EP, Cappelleri JC, et al. Validation of the behavioural activity rating scale (BARS): a novel measure of activity in agitated patients. J Psychiatr Res 2002 Mar-Apr; 36(2): 87–95

    PubMed  Article  CAS  Google Scholar 

  32. Daniel D, Brook S, Benettia I. Transition from IM to oral ziprasidone: clinical efficacy and safety data [poster]. 155th Annual Meeting of the American Psychiatric Association; 2002 May 18–23; Philadelphia (PA)

    Google Scholar 

  33. Zimbroff DL, Brook S, Benattia I. Safety and tolerability of IM ziprasidone: review of clinical trial data [poster]. 155th Annual Meeting of the American Psychiatric Association; 2002 May 18–23; Philadelphia (PA)

    Google Scholar 

  34. Daniel DG. Tolerability of ziprasidone: an expanding perspective. J Clin Psychiatry 2003; 64 Suppl. 19: 40–9

    PubMed  CAS  Google Scholar 

  35. Daniel DG, Zimbroff DL, Swift RH, et al. The tolerability of intramuscular ziprasidone and haloperidol treatment and the transition to oral therapy. Int Clin Psychopharmacol 2004; 19: 9–15

    PubMed  Article  Google Scholar 

  36. Brook S. Intramuscular ziprasidone: moving beyond the conventional in the treatment of acute agitation in schizophrenia. J Clin Psychiatry 2003; 64 Suppl. 19: 13–8

    PubMed  CAS  Google Scholar 

  37. Miceli JJ, Anziano RJ, Swift SH, et al. IM ziprasidone and IM haloperidol have comparable effects on QTc at Cmax [poster]. 155th Annual Meeting of the American Psychiatric Association; 2002 May 18–23; Philadelphia (PA)

    Google Scholar 

  38. Glassman AH, Bigger JY. Antipsychotic drugs: prolonged QTc interval, torsade de pointes, and sudden death. Am J Psychiatry 2001; 158: 1774–82

    PubMed  Article  CAS  Google Scholar 

  39. FDA Psychopharmacological Drugs Advisory. Briefing document for zeldox capsules (ziprasidone HC1) for intramuscular injection [online]. Available from URL: http://www.fda.gov/ohrms/dockets/ac/00/backgrd/3619b1.htm [Accessed 2005 Aug 3]

  40. Miceli JJ, Smith M, Robarge L, et al. The effects of ketoconazole on ziprasidone pharmacokinetics: a placebo-controlled crossover study in healthy volunteers. Br J Clin Pharmacol 2000; 49 Suppl. 1: 71–6S

    Article  Google Scholar 

  41. Miceli JJ, Anziano RJ, Robarge L, et al. The effect of carbamazepine on the steady-state pharmacokinetics of ziprasidone in healthy volunteers. Br J Clin Pharmacol 2000; 49 Suppl. 1:65–70S

    Article  Google Scholar 

  42. Grygiel JJ, Birkett DJ. Cigarette smoking and theophylline clearance and metabolism. Clin Pharmacol Ther 1981; 30: 491–6

    PubMed  Article  CAS  Google Scholar 

  43. Hardman JG, Limbird LE, Molinoff PB, et al., editors. Goodman and Gilman’s the pharmacological basis of therapeutics. 9th ed. New York: McGraw-Hill, 1996

    Google Scholar 

Download references

Acknowledgements

A fellow of the American Psychiatric Association and the American Psychopathological Association, Sheldon H. Preskorn, MD, has served on advisory and review committees for the US FDA, the Veterans Administration, the National Institutes of Health and the National Science Foundation, and was a psychopharmacology consultant to the Menninger Foundation.

Dr Preskorn personally owns no stock in any pharmaceutical company other than what might have been purchased in externally managed accounts.

His activities with the pharmaceutical industry have included serving as a consultant and researcher at all phases of drug development (preclinical through to registration) and as a sponsored speaker at a wide variety of educational programmes. He has served, or is serving in one or more of the following capacities: as a principal investigator, on the Speakers’ Bureau, and/or as a consultant for the following companies: Abbott Laboratories, AstraZeneca, Aventis, Bayer, Biovail, Boehringer-Ingelheim, Bristol-Myers Squibb, E. Merck, Eisai, Eli Lilly, GlaxoSmithKline, Forest, Hoffman-LaRoche, Innapharma, Janssen, Johnson & Johnson, Lundbeck, Merck, Neurosearch, Novartis, Organon, Otsuka, Pfizer Inc., Sention, Solvay, Sommerset, Sumitomo, Wyeth, and Yamanouchi.

Dr Preskorn was the principal investigator on a number of phase I studies with both intravenous and intramuscular formulations of ziprasidone, as well as phase II and III efficacy trials of the intramuscular formulation.

Research assistance, editorial assistance and an honorarium for the preparation of this article was provided by Pfizer Inc.

Author information

Affiliations

Authors

Rights and permissions

Reprints and Permissions

About this article

Cite this article

Preskorn, S.H. Pharmacokinetics and Therapeutics of Acute Intramuscular Ziprasidone. Clin Pharmacokinet 44, 1117–1133 (2005). https://doi.org/10.2165/00003088-200544110-00002

Download citation

  • Published:

  • Issue Date:

  • DOI: https://doi.org/10.2165/00003088-200544110-00002

Keywords

  • Haloperidol
  • Ziprasidone
  • Brief Psychiatric Rate Scale
  • Peak Serum Concentration
  • Aldehyde Oxidase